WO2005080357A2 - Derives d’oxazole, leur preparation et leur utilisation en therapeutique - Google Patents
Derives d’oxazole, leur preparation et leur utilisation en therapeutique Download PDFInfo
- Publication number
- WO2005080357A2 WO2005080357A2 PCT/FR2005/000321 FR2005000321W WO2005080357A2 WO 2005080357 A2 WO2005080357 A2 WO 2005080357A2 FR 2005000321 W FR2005000321 W FR 2005000321W WO 2005080357 A2 WO2005080357 A2 WO 2005080357A2
- Authority
- WO
- WIPO (PCT)
- Prior art keywords
- group
- radical
- chlorophenyl
- alkyl
- substituted
- Prior art date
- Legal status (The legal status is an assumption and is not a legal conclusion. Google has not performed a legal analysis and makes no representation as to the accuracy of the status listed.)
- Ceased
Links
Classifications
-
- C—CHEMISTRY; METALLURGY
- C07—ORGANIC CHEMISTRY
- C07D—HETEROCYCLIC COMPOUNDS
- C07D263/00—Heterocyclic compounds containing 1,3-oxazole or hydrogenated 1,3-oxazole rings
- C07D263/02—Heterocyclic compounds containing 1,3-oxazole or hydrogenated 1,3-oxazole rings not condensed with other rings
- C07D263/30—Heterocyclic compounds containing 1,3-oxazole or hydrogenated 1,3-oxazole rings not condensed with other rings having two or three double bonds between ring members or between ring members and non-ring members
- C07D263/34—Heterocyclic compounds containing 1,3-oxazole or hydrogenated 1,3-oxazole rings not condensed with other rings having two or three double bonds between ring members or between ring members and non-ring members with hetero atoms or with carbon atoms having three bonds to hetero atoms with at the most one bond to halogen, e.g. ester or nitrile radicals, directly attached to ring carbon atoms
-
- A—HUMAN NECESSITIES
- A61—MEDICAL OR VETERINARY SCIENCE; HYGIENE
- A61P—SPECIFIC THERAPEUTIC ACTIVITY OF CHEMICAL COMPOUNDS OR MEDICINAL PREPARATIONS
- A61P1/00—Drugs for disorders of the alimentary tract or the digestive system
-
- A—HUMAN NECESSITIES
- A61—MEDICAL OR VETERINARY SCIENCE; HYGIENE
- A61P—SPECIFIC THERAPEUTIC ACTIVITY OF CHEMICAL COMPOUNDS OR MEDICINAL PREPARATIONS
- A61P1/00—Drugs for disorders of the alimentary tract or the digestive system
- A61P1/14—Prodigestives, e.g. acids, enzymes, appetite stimulants, antidyspeptics, tonics, antiflatulents
-
- A—HUMAN NECESSITIES
- A61—MEDICAL OR VETERINARY SCIENCE; HYGIENE
- A61P—SPECIFIC THERAPEUTIC ACTIVITY OF CHEMICAL COMPOUNDS OR MEDICINAL PREPARATIONS
- A61P25/00—Drugs for disorders of the nervous system
- A61P25/18—Antipsychotics, i.e. neuroleptics; Drugs for mania or schizophrenia
-
- A—HUMAN NECESSITIES
- A61—MEDICAL OR VETERINARY SCIENCE; HYGIENE
- A61P—SPECIFIC THERAPEUTIC ACTIVITY OF CHEMICAL COMPOUNDS OR MEDICINAL PREPARATIONS
- A61P25/00—Drugs for disorders of the nervous system
- A61P25/30—Drugs for disorders of the nervous system for treating abuse or dependence
-
- A—HUMAN NECESSITIES
- A61—MEDICAL OR VETERINARY SCIENCE; HYGIENE
- A61P—SPECIFIC THERAPEUTIC ACTIVITY OF CHEMICAL COMPOUNDS OR MEDICINAL PREPARATIONS
- A61P25/00—Drugs for disorders of the nervous system
- A61P25/30—Drugs for disorders of the nervous system for treating abuse or dependence
- A61P25/32—Alcohol-abuse
-
- A—HUMAN NECESSITIES
- A61—MEDICAL OR VETERINARY SCIENCE; HYGIENE
- A61P—SPECIFIC THERAPEUTIC ACTIVITY OF CHEMICAL COMPOUNDS OR MEDICINAL PREPARATIONS
- A61P25/00—Drugs for disorders of the nervous system
- A61P25/30—Drugs for disorders of the nervous system for treating abuse or dependence
- A61P25/34—Tobacco-abuse
-
- A—HUMAN NECESSITIES
- A61—MEDICAL OR VETERINARY SCIENCE; HYGIENE
- A61P—SPECIFIC THERAPEUTIC ACTIVITY OF CHEMICAL COMPOUNDS OR MEDICINAL PREPARATIONS
- A61P29/00—Non-central analgesic, antipyretic or antiinflammatory agents, e.g. antirheumatic agents; Non-steroidal antiinflammatory drugs [NSAID]
-
- A—HUMAN NECESSITIES
- A61—MEDICAL OR VETERINARY SCIENCE; HYGIENE
- A61P—SPECIFIC THERAPEUTIC ACTIVITY OF CHEMICAL COMPOUNDS OR MEDICINAL PREPARATIONS
- A61P37/00—Drugs for immunological or allergic disorders
-
- A—HUMAN NECESSITIES
- A61—MEDICAL OR VETERINARY SCIENCE; HYGIENE
- A61P—SPECIFIC THERAPEUTIC ACTIVITY OF CHEMICAL COMPOUNDS OR MEDICINAL PREPARATIONS
- A61P37/00—Drugs for immunological or allergic disorders
- A61P37/02—Immunomodulators
-
- C—CHEMISTRY; METALLURGY
- C07—ORGANIC CHEMISTRY
- C07D—HETEROCYCLIC COMPOUNDS
- C07D413/00—Heterocyclic compounds containing two or more hetero rings, at least one ring having nitrogen and oxygen atoms as the only ring hetero atoms
- C07D413/02—Heterocyclic compounds containing two or more hetero rings, at least one ring having nitrogen and oxygen atoms as the only ring hetero atoms containing two hetero rings
- C07D413/06—Heterocyclic compounds containing two or more hetero rings, at least one ring having nitrogen and oxygen atoms as the only ring hetero atoms containing two hetero rings linked by a carbon chain containing only aliphatic carbon atoms
-
- C—CHEMISTRY; METALLURGY
- C07—ORGANIC CHEMISTRY
- C07D—HETEROCYCLIC COMPOUNDS
- C07D491/00—Heterocyclic compounds containing in the condensed ring system both one or more rings having oxygen atoms as the only ring hetero atoms and one or more rings having nitrogen atoms as the only ring hetero atoms, not provided for by groups C07D451/00 - C07D459/00, C07D463/00, C07D477/00 or C07D489/00
- C07D491/02—Heterocyclic compounds containing in the condensed ring system both one or more rings having oxygen atoms as the only ring hetero atoms and one or more rings having nitrogen atoms as the only ring hetero atoms, not provided for by groups C07D451/00 - C07D459/00, C07D463/00, C07D477/00 or C07D489/00 in which the condensed system contains two hetero rings
- C07D491/10—Spiro-condensed systems
Definitions
- the present invention relates to derivatives of 4,5-diaryl-1,3-oxazole-2-carboxamide, to their preparation and to their therapeutic application.
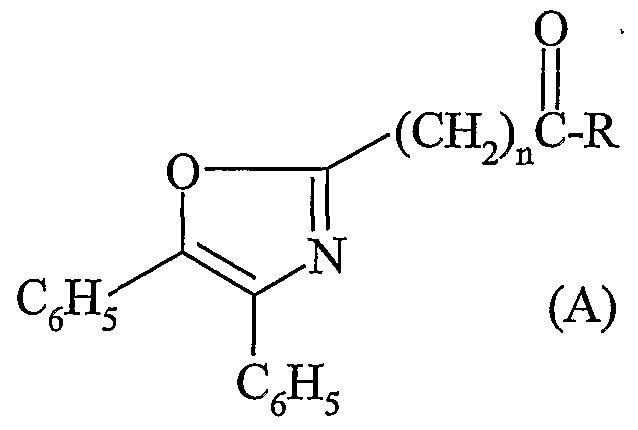
- French patent application FR 2 085 675 describes compounds of formula:
- the therapeutic indications described for these compounds are: inflammations of the respiratory system, traumas of the musculoskeletal system and edemas of all kinds.
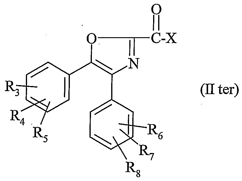
- the subject of the present invention is compounds corresponding to the formula:
- - Ri represents hydrogen or a (Cj-C ⁇ alkyl
- R2 represents:. a (C4-C1 o) alkyl group; . a non-aromatic carbocyclic radical, C3-Ci2 5 unsubstituted or substituted one or more times with a (C ⁇ -C_ ⁇ ) alkyl; . 1,2,3,4-tetrahydronaphthalenyl -1 or -2; . a heterocyclic radical monooxygenated or monosulfur, saturated, of 5 to 7 atoms, unsubstituted or substituted one or more times by a group (C ⁇ ⁇ C4) alkyl; .
- R3, R4, R5, R, R7, Rg each independently of one another represent a hydrogen or halogen atom, a (C -C6) alkyl, (C ⁇ -C6 ") alkoxy, trifluoromethyl or an S (O) n Alk group; provided that R3, R4, R5, R ⁇ , R7, Rg are not simultaneously a hydrogen atom; R9 represents a hydrogen atom or a methyl group; RlO represents a group (C3-C6) alkyl, phenyl or C3-C10 cycloalkyl, said phenyl and cycloalkyl groups being unsubstituted or substituted by one or more substituents chosen from a halogen atom or a (
- the compounds of formula (I) may contain one or more asymmetric carbon atoms. They can therefore exist in the form of enantiomers or diastereoisomers. These enantiomers, diastereoisomers, as well as their mixtures, including racemic mixtures are part of the invention.
- the compounds of formula (I) can exist in the form of bases or of addition salts with acids.
- salts are advantageously prepared with pharmaceutically acceptable salts but the salts of other acids useful, for example, for the purification or the isolation of the compounds of formula (I) also form part of the invention.
- the compounds of formula (I) can also exist in the form of hydrates or of solvates, namely in the form of associations or combinations with one or more molecules of water or with a solvent. Such hydrates and solvates are also part of the invention.
- alkyl group means a linear or branched radical, such as in particular: methyl, ethyl, propyl, isopropyl, butyl, isobutyl, tert-butyl, n-pentyl, isopentyl, n-hexyl, isohexyl, the methyl group being preferred.
- a (C 1 -C 4) alkyl the tert-butyl, 2-methylbutyl-2, 3,3-dimethylbutyl-2 groups being preferred for a (C3-C6) al yl.
- alkylene group means a linear or branched bivalent radical, methylene, 1-methyl methylene, ethylene being preferred.
- alkoxy group is meant a linear or branched radical, the methoxy group being preferred.
- halogen atom is meant a fluorine, chlorine, bromine or iodine atom; fluorine, chlorine or bromine atoms being preferred.
- Non-aromatic C3-C12 carbocyclic radicals include mono or polycyclic, condensed or bridged radicals.
- Monocyclic radicals include cycloalkyls, for example cyclopropyl, cycloburyl, cyclopentyl, cyclohexyl, cycloheptyl, cyclooctyl; cyclohexyl and cyclopentyl being preferred.
- the condensed, bridged or spiranic di- or tricyclic radicals include, for example, the norbornyl, bornyl, isobornyl, noradamantyl, adamantyl, spiro [5.5] undecyl, bicyclo [2.2.1] heptyle, bicyclo [3.2.1] octyl radicals; bicyclo [3.1.1] heptyl.
- heterocyclic radical saturated or unsaturated, of 3 to 11 atoms, containing or not a second heteroatom such as O or N
- radicals such as aziridinyl, azetidinyl, morpholin-4-yl, piperidin-1-yl, piperazin- 1-yl, pyrrolidin-1-yl, octahydrocyclopenta [c] pyrrol-2-yl, the radicals piperidin-1-yl and morpholin-4-yl being preferred.
- saturated monoazotated heterocyclic radical of 5 to 7 atoms is meant a radical such as piperidin-4-yl or pyrrolidin-3yle, the piperidin-4-yl radical being preferred.
- mono-oxygenated heterocyclic radical saturated with 5 to 7 atoms, is meant a radical such as tetrahy querofuranyl, tetrahydro-2H-pyranyl, oxepanyl: tetrahydrofuranyl being preferred.
- saturated monosulfated heterocycle of 5 to 7 atoms is meant a radical such as tetrahydrothienyl, tetrahydro-2H-thiopyranyl or thiepanyl.
- a piperidin-1-yl radical mono or disubstituted by a phenyl or benzyl group (C ⁇ -C4) alkyl, hydroxyl, cyano, (C -C3) alkanoyl, (C ⁇ ⁇ C4) alkoxycarbonyl, (C ⁇ -C4) alkoxycarbonylamino, or by a group CONR11R12 0U NR 1R12; the substituent phenyl or benzyl groups, said radicals being unsubstituted or substituted by one or more substituents chosen from a halogen atom, a methyl, methoxy, cyano, acetyl, methoxycarbonyl group; .
- spiro radical [1H-inden-1,4'-piperidine] or a 3H-spiro radical [2-benzofuran-1,4'-piperidine], said radical being unsubstituted or substituted, by an oxo group
- - Ru and R 2 each independently of one another represent a hydrogen atom or a group (C ⁇ -C4) al yl or Ru and R 2 together with the nitrogen atom to which they are attached constitute a radical saturated heterocyclic of 3 to 7 atoms containing or not containing a second heteroatom chosen from O or N, said heterocyclic radical being unsubstituted or substituted one or more times by methyl;
- R3, R4, R5, Rg, R7, Rg each independently of one another represent a hydrogen or halogen atom; provided that R3, R4, R5, Rg, R7, Rg are not simultaneously a hydrogen atom; preferably R3 represents a 4-chloro or 4-bromo, and Rg represents a 2-chloro, R7 represents a 4-chloro or a hydrogen atom and R4, R5, Rg represent a hydrogen atom; as well as their salts, their solvates and their hydrates.
- formula (I) a very particular distinction is made between the compounds of formula (I) in which:
- - Ri and R2 together with the nitrogen atom to which they are linked constitute:. or a piperazin-1 -yl radical substituted at 4- with a phenyl group; . either an unsubstituted or gemdisubstituted piperidin-1-yl radical with a phenyl or piperidin-1-yl group, and with a cyano, acetyl, aminocarbonyl or pyrrolidin-1-ylcarbonyl group; the phenyl group substituting said radicals being unsubstituted or substituted by a chlorine, bromine or fluorine atom, or by a methyl, methoxy, hydroxyl, cyano or acetyl group; .
- - R3 is a 4-bromo or a 4-chloro
- - Rg is a 2-chloro
- - R7 is a 4-chloro or a hydrogen atom
- - R4, R5, Rg represent a hydrogen atom; as well as their salts, their solvates or their hydrates.
- R3, R4, R5, Rg, R7 and Rg are as defined for (I) with an amine of formula HNR1R2 (III) in which Ri and R2 are as defined for (I).
- the compound thus obtained is transformed into one of its salts or solvates.
- an activated ester for example, can be used as functional derivative of acid (II), acid chloride, anhydride, a mixed anhydride, a C1-C4 alkyl ester in which the alkyl is straight or branched.
- -nitrophenyl ester, or free acid suitably activated, for example, with N, N-dicyclohexylcarbodiimide or with benzotriazol-1-yloxyl (dimethylamino) -phosphonium hexafluorophosphate
- a variant consists in preparing the mixed anhydride of the acid of formula (II) by reaction of ethyl chloroformate with the acid of formula (II), in the presence of a base such as triethylamine, and in doing so react with an amine HNR1R2, in a solvent such as dichloromethane, under an inert atmosphere, at room temperature, in the presence of a base such as triethylamine.
- the compounds of formula (II) can be prepared according to the Scheme below:
- the compound of formula (III) can be prepared by known methods such as that described in patent application WO 03/07887, by the action of a phenylacetic acid derivative on a benzoic acid ester in the presence of NaHMDS ( sodium hexamethyldisilazane).
- the oxime of formula (IN) is obtained by the action of hydroxylamine hydrochloride on the compound of formula (III).
- the cyclization is then carried out by the action of an alkyl oxalate halide.
- Methyl and ethyl esters of 4,5-diphenyl-1,3-oxazole-2-carboxylic acid are described in US Pat. No.
- - X represents a halogen atom, a hydroxyl group, (C ⁇ -C4) alkyl or benzyl;
- R3, R4, R5, Rg, R7, Rg each independently of one another represent a hydrogen or halogen atom, a (C ⁇ -Cg) alkyl, (C ⁇ -Cg) alkoxy, trifluoromethyl or an S (O) n Alk group;
- Alk represents a (C 1 -C4) alkyl
- UN detection is carried out between 210 nm and 400 nm and mass detection in chemical ionization mode at atmospheric pressure.
- EXAMPLE 1 Compound ⁇ ° 1 5- (4-Chlorophenyl) -4- (2,4-dichlorophenyl) -N-piperidin- 1 -yl- 1, 3-oxazole-2-carboxamide.
- 1.1 Ethyl ester of 5- (4-chlorophenyl) -4- (2,4-dichlorophenyl) -1, 3-oxazole-2-carboxylic acid.
- the compounds of formula (I) have a very good in vitro affinity (IC50 6 -9 between 10 " M and 10 M) for the cannabinoid receptors CBi, under the experimental conditions described by M. Rinaldi-Carmona et al. ( FEBS Letters, 1994, 350, 240-244)
- the antagonistic nature of the compounds of formula (I) has been demonstrated by the results obtained in the models of the inhibition of adenylate cyclase as described in M. Bouaboula et al. ., J. Biol. Chem., 1995, 270, 13973-13980; M. Rinaldi-Carmona et al., J. Pharmacol. Exp. Ther., 1996, 278, 871-878 and M.
- the present invention relates to the use of a compound of formula (I), or one of its pharmaceutically acceptable salts, solvates or hydrates, for the preparation of medicaments intended to treat or to pr preventing diseases involving the cannabinoid receptors CB 1.
- the compounds of formula (I) are useful as psychotropic drugs, in particular for the treatment of psychiatric disorders including anxiety, depression, mood, insomnia, delusional disorders, obsessive-compulsive disorder, general psychosis, schizophrenia, attention deficit hyperactivity disorder (ADHD) in hyperkinetic children and for the treatment of related disorders the use of psychotropic substances, in particular in the case of substance abuse and / or dependence on a substance, including alcohol dependence and nicotine dependence.
- the compounds of formula (I) according to the invention can be used as medicaments for the treatment of migraine, stress, diseases of psychosomatic origin, attacks of panic attacks, epilepsy, movement disorders , especially dyskinesia or Parkinson's disease, tremors and dystonia.
- the compounds of formula (I) according to the invention can also be used as medicaments in the treatment of memory deficits, cognitive disorders, in particular in the treatment of senile dementias, of Alzheimer's disease, as well as in the treatment of attention or alertness disturbances.
- the compounds of formula (I) can be useful as neuroprotectors, in the treatment of ischemia, head injuries and the treatment of diseases neurodegenerative: including chorea, Huntington's chorea, Tourrette syndrome.
- the compounds of formula (I) according to the invention can be used as medicaments in the treatment of pain: neuropathic pain, acute peripheral pain, chronic pain of inflammatory origin.
- the compounds of formula (I) according to the invention can be used as medicaments in the treatment of appetite disorders, appetite (for sugars, carbohydrates, drugs, alcohols or any appetizing substance) and / or conduct food, especially as appetite suppressants or for the treatment of obesity or bulimia as well as for the treatment of type II diabetes or non-insulin dependent diabetes and for the treatment of dyslipidemia, metabolic syndrome.
- appetite for sugars, carbohydrates, drugs, alcohols or any appetizing substance
- the compounds of formula (I) according to the invention are useful in the treatment of obesity and of the risks associated with obesity, in particular the cardiovascular risks.
- the compounds of formula (I) according to the invention can be used as medicaments in the treatment of gastrointestinal disorders, diarrheal disorders, ulcers, vomiting, bladder and urinary disorders, disorders of endocrine origin, cardiovascular disorders, hypotension, hemorrhagic shock, septic shock, chronic cirrhosis of the liver, fatty liver, steatohepatitis, asthma, chronic bronchitis, chronic obstructive pulmonary disease,
- the compounds of formula (I) are very particularly useful for the treatment of psychotic disorders, in particular schizophrenia; attention and activity disorders (ADHD) in hyperkinetic children (MBD); for the treatment of appetite disorders and obesity for the treatment of memory and cognitive deficits; for the treatment of alcohol dependence, nicotine dependence, that is to say for alcohol withdrawal and for smoking cessation.
- the present invention relates to the use of a compound of formula (I), its pharmaceutically acceptable salts and their solvates or hydrates for the treatment of the disorders and diseases indicated above.
- the compound according to the invention is generally administered in dosage unit.
- Said dosage units are preferably formulated in pharmaceutical compositions in which the active principle is mixed with a pharmaceutical excipient.
- the present invention relates to pharmaceutical compositions containing, as active principle, a compound of formula (I), one of its pharmaceutically acceptable salts or one of their solvates or hydrates.
- the compound of formula (I) above and its pharmaceutically acceptable salts or solvates can be used in daily doses of 0.01 to 100 mg per kg of body weight of the mammal to be treated, preferably in daily doses of 0, 02 to 50 mg / kg.
- the dose may preferably vary from 0.05 to 4000 mg per day, more particularly from 0.1 to 1000 mg per day depending on the age of the subject to be treated or the type of treatment, namely prophylactic or curative. Although these dosages are examples of average situations, there may be special cases where higher or lower dosages are appropriate, such dosages also belong to the invention.
- the appropriate dosage for each patient is determined by the doctor according to the method of administration, the age, the weight and the response of said patient.
- the active principle can be administered in unit administration form, in admixture with carriers conventional pharmaceuticals, animals and humans.
- suitable unit administration forms include oral forms such as tablets, capsules, powders, granules and oral solutions or suspensions, sublingual and oral administration forms, aerosols, administration forms topical, implants, forms of subcutaneous, intramuscular, intravenous, intranasal or intraocular administration and forms of rectal administration.
- the active ingredient is generally formulated in dosage units containing from 0.05 to 1000 mg, advantageously from 0.1 to 500 mg, preferably from 1 to 200 mg of said active ingredient per unit of dosage for daily administrations.
- a unit form of administration of a compound according to the invention in tablet form can comprise the following components:
Landscapes
- Health & Medical Sciences (AREA)
- Chemical & Material Sciences (AREA)
- Organic Chemistry (AREA)
- Public Health (AREA)
- Veterinary Medicine (AREA)
- Chemical Kinetics & Catalysis (AREA)
- General Chemical & Material Sciences (AREA)
- Medicinal Chemistry (AREA)
- Nuclear Medicine, Radiotherapy & Molecular Imaging (AREA)
- Bioinformatics & Cheminformatics (AREA)
- Pharmacology & Pharmacy (AREA)
- Life Sciences & Earth Sciences (AREA)
- Animal Behavior & Ethology (AREA)
- General Health & Medical Sciences (AREA)
- Engineering & Computer Science (AREA)
- Addiction (AREA)
- Psychiatry (AREA)
- Biomedical Technology (AREA)
- Neurology (AREA)
- Neurosurgery (AREA)
- Immunology (AREA)
- Rheumatology (AREA)
- Pain & Pain Management (AREA)
- Nutrition Science (AREA)
- Pharmaceuticals Containing Other Organic And Inorganic Compounds (AREA)
- Plural Heterocyclic Compounds (AREA)
- Nitrogen Condensed Heterocyclic Rings (AREA)
- Heterocyclic Carbon Compounds Containing A Hetero Ring Having Nitrogen And Oxygen As The Only Ring Hetero Atoms (AREA)
- Hydrogenated Pyridines (AREA)
Abstract
Description
Claims
Priority Applications (4)
| Application Number | Priority Date | Filing Date | Title |
|---|---|---|---|
| JP2006552665A JP2007522191A (ja) | 2004-02-13 | 2005-02-11 | オキサゾール誘導体、その調製及びその治療上の使用 |
| EP05717611A EP1716142A2 (fr) | 2004-02-13 | 2005-02-11 | Derives d'oxazole, leur preparation et leur utilisation en therapeutique |
| IL177047A IL177047A0 (en) | 2004-02-13 | 2006-07-24 | Oxazole derivatives, preparation and therapeutic use thereof |
| US11/461,629 US7320978B2 (en) | 2004-02-13 | 2006-08-01 | Oxazole derivatives, preparation and therapeutic use thereof |
Applications Claiming Priority (2)
| Application Number | Priority Date | Filing Date | Title |
|---|---|---|---|
| FR0401507A FR2866340B1 (fr) | 2004-02-13 | 2004-02-13 | Derives d'oxazole, leur preparation et leur utilisation en therapeutique. |
| FR0401507 | 2004-02-13 |
Related Child Applications (1)
| Application Number | Title | Priority Date | Filing Date |
|---|---|---|---|
| US11/461,629 Continuation US7320978B2 (en) | 2004-02-13 | 2006-08-01 | Oxazole derivatives, preparation and therapeutic use thereof |
Publications (2)
| Publication Number | Publication Date |
|---|---|
| WO2005080357A2 true WO2005080357A2 (fr) | 2005-09-01 |
| WO2005080357A3 WO2005080357A3 (fr) | 2005-12-15 |
Family
ID=34803381
Family Applications (1)
| Application Number | Title | Priority Date | Filing Date |
|---|---|---|---|
| PCT/FR2005/000321 Ceased WO2005080357A2 (fr) | 2004-02-13 | 2005-02-11 | Derives d’oxazole, leur preparation et leur utilisation en therapeutique |
Country Status (9)
| Country | Link |
|---|---|
| US (1) | US7320978B2 (fr) |
| EP (1) | EP1716142A2 (fr) |
| JP (1) | JP2007522191A (fr) |
| CN (1) | CN1918153A (fr) |
| AR (1) | AR047668A1 (fr) |
| FR (1) | FR2866340B1 (fr) |
| IL (1) | IL177047A0 (fr) |
| TW (1) | TW200536838A (fr) |
| WO (1) | WO2005080357A2 (fr) |
Cited By (17)
| Publication number | Priority date | Publication date | Assignee | Title |
|---|---|---|---|---|
| FR2894578A1 (fr) * | 2005-12-12 | 2007-06-15 | Sanofi Aventis Sa | Derives heterocycliques, leur preparation et leur application en therapeutique. |
| WO2008017381A1 (fr) | 2006-08-08 | 2008-02-14 | Sanofi-Aventis | Imidazolidin-2,4-dione arylaminoaryl-alkyl-substituée, son procédé de fabrication, médicament contenant ce composé et son utilisation |
| EP1621537A4 (fr) * | 2003-04-21 | 2008-12-31 | Daiichi Seiyaku Co | Derive heterocyclique a cinq chainons |
| WO2009021740A2 (fr) | 2007-08-15 | 2009-02-19 | Sanofis-Aventis | Nouvelles tétrahydronaphtalines substituées, leurs procédés de préparation et leur utilisation comme médicaments |
| WO2010003624A2 (fr) | 2008-07-09 | 2010-01-14 | Sanofi-Aventis | Composés hétérocycliques, leurs procédés de préparation, médicaments comprenant lesdits composés et leur utilisation |
| WO2010068601A1 (fr) | 2008-12-08 | 2010-06-17 | Sanofi-Aventis | Hydrate de fluoroglycoside hétéroaromatique cristallin, ses procédés de fabrication, ses procédés d'utilisation et compositions pharmaceutiques le contenant |
| WO2011023754A1 (fr) | 2009-08-26 | 2011-03-03 | Sanofi-Aventis | Nouveaux hydrates de fluoroglycoside hétéroaromatiques cristallins, substances pharmaceutiques comprenant ces composés et leur utilisation |
| WO2011157827A1 (fr) | 2010-06-18 | 2011-12-22 | Sanofi | Dérivés d'azolopyridin-3-one en tant qu'inhibiteurs de lipases et de phospholipases |
| WO2012120052A1 (fr) | 2011-03-08 | 2012-09-13 | Sanofi | Dérivés d'oxathiazine substitués par des carbocycles ou des hétérocycles, leur procédé de préparation, médicaments contenant ces composés et leur utilisation |
| WO2012120056A1 (fr) | 2011-03-08 | 2012-09-13 | Sanofi | Dérivés oxathiazine tétra-substitués, procédé pour leur préparation, utilisation en tant que médicament, agent pharmaceutique contenant ces dérivés et utilisation |
| WO2012120050A1 (fr) | 2011-03-08 | 2012-09-13 | Sanofi | Nouveaux dérivés phényl-oxathiazine substitués, procédé pour leur préparation, médicaments contenant ces composés et leur utilisation |
| WO2012120053A1 (fr) | 2011-03-08 | 2012-09-13 | Sanofi | Dérivés oxathiazine ramifiés, procédé pour leur préparation, utilisation en tant que médicament, agents pharmaceutiques contenant ces dérivés et leur utilisation |
| WO2012120051A1 (fr) | 2011-03-08 | 2012-09-13 | Sanofi | Dérivés benzyl-oxathiazine substitués avec adamantane ou noradamantane, médicaments contenant ces composés et leur utilisation |
| WO2012120057A1 (fr) | 2011-03-08 | 2012-09-13 | Sanofi | Nouveaux dérivés phényl-oxathiazine substitués, procédé pour leur préparation, agent pharmaceutique contenant ces composés et leur utilisation |
| WO2012120054A1 (fr) | 2011-03-08 | 2012-09-13 | Sanofi | Dérivés oxathiazine di- et tri-substitués, procédé pour leur préparation, utilisation en tant que médicament, agent pharmaceutique contenant ces dérivés et utilisation |
| WO2012120055A1 (fr) | 2011-03-08 | 2012-09-13 | Sanofi | Dérivés oxathiazine di- et tri-substitués, procédé pour leur préparation, utilisation en tant que médicament, agent pharmaceutique contenant ces dérivés et utilisation |
| WO2012120058A1 (fr) | 2011-03-08 | 2012-09-13 | Sanofi | Dérivés d'oxathiazine substitués par des groupes benzyle ou hétérométhylène, leur procédé de production, leur utilisation comme médicament ainsi que produits pharmaceutiques les contenant et leur utilisation |
Families Citing this family (1)
| Publication number | Priority date | Publication date | Assignee | Title |
|---|---|---|---|---|
| WO2010111059A1 (fr) * | 2009-03-23 | 2010-09-30 | Merck Sharp & Dohme Corp. | Antagonistes du récepteur p2x3 pour le traitement de la douleur |
Family Cites Families (13)
| Publication number | Priority date | Publication date | Assignee | Title |
|---|---|---|---|---|
| IT1053674B (it) * | 1968-01-31 | 1981-10-10 | Istituto Farmacobiologico Sero | N amidino carbossiamidi ossazoliche ad azione natriuretica |
| US3925404A (en) * | 1970-03-05 | 1975-12-09 | Serono Ist Farm | Carboxylic acid amide and hydrazide derivatives of 4,5-diphenyloxazole and process for preparing them |
| IT1043805B (it) * | 1970-03-05 | 1980-02-29 | Serono Ist Farm | Ammidi e idrazidi di acidi carbos silici derivanti dal 4,5,difenilossazolo e processo per la loro preparazione |
| US5380738A (en) * | 1993-05-21 | 1995-01-10 | Monsanto Company | 2-substituted oxazoles further substituted by 4-fluorophenyl and 4-methylsulfonylphenyl as antiinflammatory agents |
| CA2221692A1 (fr) * | 1995-05-19 | 1996-11-21 | G.D. Searle & Co. | Oxazoles substitues utilises dans le traitement d'inflammations |
| FR2789079B3 (fr) * | 1999-02-01 | 2001-03-02 | Sanofi Synthelabo | Derive d'acide pyrazolecarboxylique, sa preparation, les compositions pharmaceutiques en contenant |
| AU2002319627A1 (en) * | 2001-07-20 | 2003-03-03 | Merck And Co., Inc. | Substituted imidazoles as cannabinoid receptor modulators |
| US6518340B1 (en) * | 2001-08-07 | 2003-02-11 | General Electric Company | Polycarbonate resin compositions and articles therefrom |
| TWI231757B (en) * | 2001-09-21 | 2005-05-01 | Solvay Pharm Bv | 1H-Imidazole derivatives having CB1 agonistic, CB1 partial agonistic or CB1-antagonistic activity |
| US20040248956A1 (en) * | 2002-01-29 | 2004-12-09 | Hagmann William K | Substituted imidazoles as cannabinoid receptor modulators |
| AR038966A1 (es) * | 2002-03-18 | 2005-02-02 | Solvay Pharm Bv | Derivados de tiazol que tienen actividad antagonista, agonista o agonista parcial de cb1 |
| CA2479744A1 (fr) * | 2002-03-28 | 2003-10-09 | Paul E. Finke | 2,3-diphenyl-pyridines substituees |
| TW200505446A (en) * | 2003-01-17 | 2005-02-16 | Fuj Isawa Pharmaceutical Co Ltd | Inhibitor of cox |
-
2004
- 2004-02-13 FR FR0401507A patent/FR2866340B1/fr not_active Expired - Fee Related
-
2005
- 2005-02-11 CN CNA2005800047312A patent/CN1918153A/zh active Pending
- 2005-02-11 AR ARP050100503A patent/AR047668A1/es not_active Application Discontinuation
- 2005-02-11 JP JP2006552665A patent/JP2007522191A/ja not_active Ceased
- 2005-02-11 EP EP05717611A patent/EP1716142A2/fr not_active Withdrawn
- 2005-02-11 WO PCT/FR2005/000321 patent/WO2005080357A2/fr not_active Ceased
- 2005-02-14 TW TW094104218A patent/TW200536838A/zh unknown
-
2006
- 2006-07-24 IL IL177047A patent/IL177047A0/en unknown
- 2006-08-01 US US11/461,629 patent/US7320978B2/en not_active Expired - Fee Related
Cited By (21)
| Publication number | Priority date | Publication date | Assignee | Title |
|---|---|---|---|---|
| EP1621537A4 (fr) * | 2003-04-21 | 2008-12-31 | Daiichi Seiyaku Co | Derive heterocyclique a cinq chainons |
| FR2894578A1 (fr) * | 2005-12-12 | 2007-06-15 | Sanofi Aventis Sa | Derives heterocycliques, leur preparation et leur application en therapeutique. |
| WO2007068815A2 (fr) | 2005-12-12 | 2007-06-21 | Sanofi-Aventis | Derives heterocycliques, leur preparation et leur application en therapeutique. |
| WO2007068815A3 (fr) * | 2005-12-12 | 2007-11-01 | Sanofi Aventis | Derives heterocycliques, leur preparation et leur application en therapeutique. |
| JP2009518453A (ja) * | 2005-12-12 | 2009-05-07 | サノフイ−アベンテイス | 複素環式誘導体、その調製および治療上の使用 |
| US7618991B2 (en) | 2005-12-12 | 2009-11-17 | Sanofi-Aventis | Heterocyclic derivatives, preparation and therapeutic use thereof |
| WO2008017381A1 (fr) | 2006-08-08 | 2008-02-14 | Sanofi-Aventis | Imidazolidin-2,4-dione arylaminoaryl-alkyl-substituée, son procédé de fabrication, médicament contenant ce composé et son utilisation |
| WO2009021740A2 (fr) | 2007-08-15 | 2009-02-19 | Sanofis-Aventis | Nouvelles tétrahydronaphtalines substituées, leurs procédés de préparation et leur utilisation comme médicaments |
| WO2010003624A2 (fr) | 2008-07-09 | 2010-01-14 | Sanofi-Aventis | Composés hétérocycliques, leurs procédés de préparation, médicaments comprenant lesdits composés et leur utilisation |
| WO2010068601A1 (fr) | 2008-12-08 | 2010-06-17 | Sanofi-Aventis | Hydrate de fluoroglycoside hétéroaromatique cristallin, ses procédés de fabrication, ses procédés d'utilisation et compositions pharmaceutiques le contenant |
| WO2011023754A1 (fr) | 2009-08-26 | 2011-03-03 | Sanofi-Aventis | Nouveaux hydrates de fluoroglycoside hétéroaromatiques cristallins, substances pharmaceutiques comprenant ces composés et leur utilisation |
| WO2011157827A1 (fr) | 2010-06-18 | 2011-12-22 | Sanofi | Dérivés d'azolopyridin-3-one en tant qu'inhibiteurs de lipases et de phospholipases |
| WO2012120052A1 (fr) | 2011-03-08 | 2012-09-13 | Sanofi | Dérivés d'oxathiazine substitués par des carbocycles ou des hétérocycles, leur procédé de préparation, médicaments contenant ces composés et leur utilisation |
| WO2012120056A1 (fr) | 2011-03-08 | 2012-09-13 | Sanofi | Dérivés oxathiazine tétra-substitués, procédé pour leur préparation, utilisation en tant que médicament, agent pharmaceutique contenant ces dérivés et utilisation |
| WO2012120050A1 (fr) | 2011-03-08 | 2012-09-13 | Sanofi | Nouveaux dérivés phényl-oxathiazine substitués, procédé pour leur préparation, médicaments contenant ces composés et leur utilisation |
| WO2012120053A1 (fr) | 2011-03-08 | 2012-09-13 | Sanofi | Dérivés oxathiazine ramifiés, procédé pour leur préparation, utilisation en tant que médicament, agents pharmaceutiques contenant ces dérivés et leur utilisation |
| WO2012120051A1 (fr) | 2011-03-08 | 2012-09-13 | Sanofi | Dérivés benzyl-oxathiazine substitués avec adamantane ou noradamantane, médicaments contenant ces composés et leur utilisation |
| WO2012120057A1 (fr) | 2011-03-08 | 2012-09-13 | Sanofi | Nouveaux dérivés phényl-oxathiazine substitués, procédé pour leur préparation, agent pharmaceutique contenant ces composés et leur utilisation |
| WO2012120054A1 (fr) | 2011-03-08 | 2012-09-13 | Sanofi | Dérivés oxathiazine di- et tri-substitués, procédé pour leur préparation, utilisation en tant que médicament, agent pharmaceutique contenant ces dérivés et utilisation |
| WO2012120055A1 (fr) | 2011-03-08 | 2012-09-13 | Sanofi | Dérivés oxathiazine di- et tri-substitués, procédé pour leur préparation, utilisation en tant que médicament, agent pharmaceutique contenant ces dérivés et utilisation |
| WO2012120058A1 (fr) | 2011-03-08 | 2012-09-13 | Sanofi | Dérivés d'oxathiazine substitués par des groupes benzyle ou hétérométhylène, leur procédé de production, leur utilisation comme médicament ainsi que produits pharmaceutiques les contenant et leur utilisation |
Also Published As
| Publication number | Publication date |
|---|---|
| JP2007522191A (ja) | 2007-08-09 |
| AR047668A1 (es) | 2006-02-01 |
| EP1716142A2 (fr) | 2006-11-02 |
| CN1918153A (zh) | 2007-02-21 |
| WO2005080357A3 (fr) | 2005-12-15 |
| FR2866340B1 (fr) | 2006-11-24 |
| US20070043060A1 (en) | 2007-02-22 |
| TW200536838A (en) | 2005-11-16 |
| FR2866340A1 (fr) | 2005-08-19 |
| US7320978B2 (en) | 2008-01-22 |
| IL177047A0 (en) | 2006-12-10 |
Similar Documents
| Publication | Publication Date | Title |
|---|---|---|
| EP1641763B1 (fr) | Derives de 4-cyanopyrazole-3-carboxamide, leur preparation et leur application comme antagonistes des recepteurs aux cannabinoides cb1 | |
| EP1497274B1 (fr) | Derives de terphenyle, leur preparation, les compositions pharmaceutiques en contenant | |
| EP1716142A2 (fr) | Derives d'oxazole, leur preparation et leur utilisation en therapeutique | |
| WO2003084930A1 (fr) | Derives de diphenylpyridine, leur preparation, les compositions pharmaceutiques en contenant | |
| FR2882054A1 (fr) | Derives de 1,5-diarylpyrrole, leur preparation et leur application en therapeutique | |
| EP1641758B1 (fr) | Derives de diphenylpyridine, leur preparation et leur application therapeutique | |
| FR2849032A1 (fr) | Derive de 5-(4-bromophenyl)-1-(2,4-dichlorophenyl)-4-ethyl-n -(piperidin-1-yl)-1h-pyrazole-3-carboxamide, sa preparation, son application en therapeuthique | |
| FR2882365A1 (fr) | Derives de 2-(1,5-diphenyl-1h-pyrazol-3-yl)-1,3,4-oxadiazole leur preparation et leur application en therapeutique | |
| EP2094656B1 (fr) | Derives de pyrrole, leur preparation et leur utilisation en therapeutique. | |
| EP1678159A2 (fr) | Derives de thiophene-2-carboxamide et leurs utilisation comme antagonistes des recepteurs cb1 des cannabinoides | |
| WO2006070106A1 (fr) | DERIVES DE N- [ (4 , 5-DIPHENYL-3-ALKYL-2-THIENYL) METHYL] AMINE (AMIDE, SULFONAMIDE, CARBAMATE ET UREE) COMME ANTAGONISTS DES RECEPTEURS CBl DES | |
| FR2899899A1 (fr) | Derives d'aminomethyl pyridine, leur preparation et leur application en therapeutique | |
| EP1966173B1 (fr) | Derives heterocycliques, leur preparation et leur application en therapeutique. | |
| FR2874012A1 (fr) | Derives de pyrrole, leur preparation et leur utlisation en therapeutique | |
| FR2876691A1 (fr) | Derives de pyridine, leur preparation, leur application en therapeutique | |
| FR2887548A1 (fr) | Derives de 4,5-diarylpyrrole, leur preparation et leur application en therapeutique | |
| EP1966167B1 (fr) | Derives diaryltriazolmethylamine, leur preparation et leur application en therapeutique. | |
| FR2888237A1 (fr) | Derives de n-[(4,5-diphenylpyrimidin-2-yl)methyl] amine, leur preparation et leur application en therapeutique | |
| FR2943672A1 (fr) | Derives de 3-alcoxy-4,5-diarylthiophene-2-carboxamide,leur preparation et leur application en therapeutique. |
Legal Events
| Date | Code | Title | Description |
|---|---|---|---|
| AK | Designated states |
Kind code of ref document: A2 Designated state(s): AE AG AL AM AT AU AZ BA BB BG BR BW BY BZ CA CH CN CO CR CU CZ DE DK DM DZ EC EE EG ES FI GB GD GE GH GM HR HU ID IL IN IS JP KE KG KP KR KZ LC LK LR LS LT LU LV MA MD MG MK MN MW MX MZ NA NI NO NZ OM PG PH PL PT RO RU SC SD SE SG SK SL SY TJ TM TN TR TT TZ UA UG US UZ VC VN YU ZA ZM ZW |
|
| AL | Designated countries for regional patents |
Kind code of ref document: A2 Designated state(s): GM KE LS MW MZ NA SD SL SZ TZ UG ZM ZW AM AZ BY KG KZ MD RU TJ TM AT BE BG CH CY CZ DE DK EE ES FI FR GB GR HU IE IS IT LT LU MC NL PL PT RO SE SI SK TR BF BJ CF CG CI CM GA GN GQ GW ML MR NE SN TD TG |
|
| 121 | Ep: the epo has been informed by wipo that ep was designated in this application | ||
| WWE | Wipo information: entry into national phase |
Ref document number: 177047 Country of ref document: IL |
|
| WWE | Wipo information: entry into national phase |
Ref document number: 2005717611 Country of ref document: EP |
|
| WWE | Wipo information: entry into national phase |
Ref document number: 11461629 Country of ref document: US |
|
| WWE | Wipo information: entry into national phase |
Ref document number: 2006552665 Country of ref document: JP Ref document number: 200580004731.2 Country of ref document: CN |
|
| WWE | Wipo information: entry into national phase |
Ref document number: 2314/KOLNP/2006 Country of ref document: IN |
|
| NENP | Non-entry into the national phase |
Ref country code: DE |
|
| WWW | Wipo information: withdrawn in national office |
Ref document number: DE |
|
| WWP | Wipo information: published in national office |
Ref document number: 2005717611 Country of ref document: EP |
|
| WWP | Wipo information: published in national office |
Ref document number: 11461629 Country of ref document: US |

















