WO2005066189A1 - Phosphonates, monophosphonamidates, bisphosphonamidates for the treatment of viral diseases - Google Patents
Phosphonates, monophosphonamidates, bisphosphonamidates for the treatment of viral diseases Download PDFInfo
- Publication number
- WO2005066189A1 WO2005066189A1 PCT/US2004/043969 US2004043969W WO2005066189A1 WO 2005066189 A1 WO2005066189 A1 WO 2005066189A1 US 2004043969 W US2004043969 W US 2004043969W WO 2005066189 A1 WO2005066189 A1 WO 2005066189A1
- Authority
- WO
- WIPO (PCT)
- Prior art keywords
- compound
- mmol
- substituted
- pyridine
- mixture
- Prior art date
- Legal status (The legal status is an assumption and is not a legal conclusion. Google has not performed a legal analysis and makes no representation as to the accuracy of the status listed.)
- Ceased
Links
- 0 *P(*)(COCC[n]1c2nc(N)nc(NC3CC3)c2nc1)=O Chemical compound *P(*)(COCC[n]1c2nc(N)nc(NC3CC3)c2nc1)=O 0.000 description 7
- IURYOJHINOJAMM-UHFFFAOYSA-N C=CN(CCOCP(NC1(CC1)C(OC1CCC1)=O)(Oc1ccccc1)=O)c1nc(N)nc(NC2CC2)c1N Chemical compound C=CN(CCOCP(NC1(CC1)C(OC1CCC1)=O)(Oc1ccccc1)=O)c1nc(N)nc(NC2CC2)c1N IURYOJHINOJAMM-UHFFFAOYSA-N 0.000 description 1
- VNNNROWBDPPCFG-UHFFFAOYSA-N CC(C)COC(C(Cc1ccccc1)NP(COCC[n]1c2nc(N)nc(NC3CC3)c2nc1)(NC(C)C(OC(C)C)=O)=O)O Chemical compound CC(C)COC(C(Cc1ccccc1)NP(COCC[n]1c2nc(N)nc(NC3CC3)c2nc1)(NC(C)C(OC(C)C)=O)=O)O VNNNROWBDPPCFG-UHFFFAOYSA-N 0.000 description 1
- VNNNROWBDPPCFG-YRJWIRDVSA-N CC(C)COC(C(Cc1ccccc1)NP(COCC[n]1c2nc(N)nc(NC3CC3)c2nc1)(N[C@@H](C)C(OC(C)C)=O)=O)O Chemical compound CC(C)COC(C(Cc1ccccc1)NP(COCC[n]1c2nc(N)nc(NC3CC3)c2nc1)(N[C@@H](C)C(OC(C)C)=O)=O)O VNNNROWBDPPCFG-YRJWIRDVSA-N 0.000 description 1
- DFRRNGMVSUAEKT-UHFFFAOYSA-N CCC(Cc1ccccc1)C(OCC(C)C)=O Chemical compound CCC(Cc1ccccc1)C(OCC(C)C)=O DFRRNGMVSUAEKT-UHFFFAOYSA-N 0.000 description 1
- SVRKNBYKDGVNPM-UHFFFAOYSA-O CCCCOC(C(CC)NP(COCC[n]1c2nc(N)nc(NC3CC3)c2nc1)(NC(CC)C(O)[OH+]CCCC)=O)=O Chemical compound CCCCOC(C(CC)NP(COCC[n]1c2nc(N)nc(NC3CC3)c2nc1)(NC(CC)C(O)[OH+]CCCC)=O)=O SVRKNBYKDGVNPM-UHFFFAOYSA-O 0.000 description 1
- BTMORGBZMIIVJR-BWFPZVSSSA-N C[C@H](NP(COCC[n]1c(nc(N)nc2NC3CC3)c2nc1)(Oc1ccccc1)=O)O Chemical compound C[C@H](NP(COCC[n]1c(nc(N)nc2NC3CC3)c2nc1)(Oc1ccccc1)=O)O BTMORGBZMIIVJR-BWFPZVSSSA-N 0.000 description 1
Classifications
-
- C—CHEMISTRY; METALLURGY
- C07—ORGANIC CHEMISTRY
- C07F—ACYCLIC, CARBOCYCLIC OR HETEROCYCLIC COMPOUNDS CONTAINING ELEMENTS OTHER THAN CARBON, HYDROGEN, HALOGEN, OXYGEN, NITROGEN, SULFUR, SELENIUM OR TELLURIUM
- C07F9/00—Compounds containing elements of Groups 5 or 15 of the Periodic Table
- C07F9/02—Phosphorus compounds
- C07F9/28—Phosphorus compounds with one or more P—C bonds
- C07F9/38—Phosphonic acids [RP(=O)(OH)2]; Thiophosphonic acids ; [RP(=X1)(X2H)2(X1, X2 are each independently O, S or Se)]
- C07F9/44—Amides thereof
-
- C—CHEMISTRY; METALLURGY
- C07—ORGANIC CHEMISTRY
- C07F—ACYCLIC, CARBOCYCLIC OR HETEROCYCLIC COMPOUNDS CONTAINING ELEMENTS OTHER THAN CARBON, HYDROGEN, HALOGEN, OXYGEN, NITROGEN, SULFUR, SELENIUM OR TELLURIUM
- C07F9/00—Compounds containing elements of Groups 5 or 15 of the Periodic Table
- C07F9/02—Phosphorus compounds
- C07F9/547—Heterocyclic compounds, e.g. containing phosphorus as a ring hetero atom
- C07F9/6561—Heterocyclic compounds, e.g. containing phosphorus as a ring hetero atom containing systems of two or more relevant hetero rings condensed among themselves or condensed with a common carbocyclic ring or ring system, with or without other non-condensed hetero rings
- C07F9/65616—Heterocyclic compounds, e.g. containing phosphorus as a ring hetero atom containing systems of two or more relevant hetero rings condensed among themselves or condensed with a common carbocyclic ring or ring system, with or without other non-condensed hetero rings containing the ring system having three or more than three double bonds between ring members or between ring members and non-ring members, e.g. purine or analogs
-
- A—HUMAN NECESSITIES
- A61—MEDICAL OR VETERINARY SCIENCE; HYGIENE
- A61K—PREPARATIONS FOR MEDICAL, DENTAL OR TOILETRY PURPOSES
- A61K31/00—Medicinal preparations containing organic active ingredients
- A61K31/66—Phosphorus compounds
- A61K31/664—Amides of phosphorus acids
-
- A—HUMAN NECESSITIES
- A61—MEDICAL OR VETERINARY SCIENCE; HYGIENE
- A61P—SPECIFIC THERAPEUTIC ACTIVITY OF CHEMICAL COMPOUNDS OR MEDICINAL PREPARATIONS
- A61P31/00—Antiinfectives, i.e. antibiotics, antiseptics, chemotherapeutics
-
- A—HUMAN NECESSITIES
- A61—MEDICAL OR VETERINARY SCIENCE; HYGIENE
- A61P—SPECIFIC THERAPEUTIC ACTIVITY OF CHEMICAL COMPOUNDS OR MEDICINAL PREPARATIONS
- A61P31/00—Antiinfectives, i.e. antibiotics, antiseptics, chemotherapeutics
- A61P31/12—Antivirals
-
- A—HUMAN NECESSITIES
- A61—MEDICAL OR VETERINARY SCIENCE; HYGIENE
- A61P—SPECIFIC THERAPEUTIC ACTIVITY OF CHEMICAL COMPOUNDS OR MEDICINAL PREPARATIONS
- A61P31/00—Antiinfectives, i.e. antibiotics, antiseptics, chemotherapeutics
- A61P31/12—Antivirals
- A61P31/14—Antivirals for RNA viruses
- A61P31/18—Antivirals for RNA viruses for HIV
-
- A—HUMAN NECESSITIES
- A61—MEDICAL OR VETERINARY SCIENCE; HYGIENE
- A61P—SPECIFIC THERAPEUTIC ACTIVITY OF CHEMICAL COMPOUNDS OR MEDICINAL PREPARATIONS
- A61P31/00—Antiinfectives, i.e. antibiotics, antiseptics, chemotherapeutics
- A61P31/12—Antivirals
- A61P31/20—Antivirals for DNA viruses
-
- A—HUMAN NECESSITIES
- A61—MEDICAL OR VETERINARY SCIENCE; HYGIENE
- A61P—SPECIFIC THERAPEUTIC ACTIVITY OF CHEMICAL COMPOUNDS OR MEDICINAL PREPARATIONS
- A61P35/00—Antineoplastic agents
-
- A—HUMAN NECESSITIES
- A61—MEDICAL OR VETERINARY SCIENCE; HYGIENE
- A61P—SPECIFIC THERAPEUTIC ACTIVITY OF CHEMICAL COMPOUNDS OR MEDICINAL PREPARATIONS
- A61P43/00—Drugs for specific purposes, not provided for in groups A61P1/00-A61P41/00
-
- C—CHEMISTRY; METALLURGY
- C07—ORGANIC CHEMISTRY
- C07F—ACYCLIC, CARBOCYCLIC OR HETEROCYCLIC COMPOUNDS CONTAINING ELEMENTS OTHER THAN CARBON, HYDROGEN, HALOGEN, OXYGEN, NITROGEN, SULFUR, SELENIUM OR TELLURIUM
- C07F9/00—Compounds containing elements of Groups 5 or 15 of the Periodic Table
- C07F9/02—Phosphorus compounds
- C07F9/547—Heterocyclic compounds, e.g. containing phosphorus as a ring hetero atom
- C07F9/6558—Heterocyclic compounds, e.g. containing phosphorus as a ring hetero atom containing at least two different or differently substituted hetero rings neither condensed among themselves nor condensed with a common carbocyclic ring or ring system
-
- Y—GENERAL TAGGING OF NEW TECHNOLOGICAL DEVELOPMENTS; GENERAL TAGGING OF CROSS-SECTIONAL TECHNOLOGIES SPANNING OVER SEVERAL SECTIONS OF THE IPC; TECHNICAL SUBJECTS COVERED BY FORMER USPC CROSS-REFERENCE ART COLLECTIONS [XRACs] AND DIGESTS
- Y02—TECHNOLOGIES OR APPLICATIONS FOR MITIGATION OR ADAPTATION AGAINST CLIMATE CHANGE
- Y02P—CLIMATE CHANGE MITIGATION TECHNOLOGIES IN THE PRODUCTION OR PROCESSING OF GOODS
- Y02P20/00—Technologies relating to chemical industry
- Y02P20/50—Improvements relating to the production of bulk chemicals
- Y02P20/55—Design of synthesis routes, e.g. reducing the use of auxiliary or protecting groups
Definitions
- the present invention relates to compounds and compositions and methods of use thereof, useful for treating viral infections, in particular human papillomavirus.5 Background Human papillomavirus (HPV) is one of the most prevalent sexually transmitted infections in the world. There are more than 100 different types of HPV, the majority of which are harmless. However, there are about 30 types that0 are spread through sexual contact. Some types of HPV cause genital warts, which appear as single or multiple bumps in the genital areas of men and women including the vagina, cervix, vulva (area outside of the vagina), penis, and rectum. Although many people infected with HPV have no symptoms.
- HPV-16 and HPV-18 are most often associated with precancerous lesions in cervical and anal tissues called dysplasias. Patients with dysplasias are often asymptomatic and may only discover their lesion after screening. High-grade dysplasias, if left untreated, may transform into cancerous0 tissues. Low-grade lesions may spontaneously regress, while others may progress to high-grade lesions. HPV-16 and HPV-18 are most often associated with dysplasias, though several other transforming HPV subtypes are also associated with dysplasias.
- Genital warts usually produce painless-itchy bumps located on or near the genitalia, but without treatment, may progress to larger more pronounced cauliflower-like growths. Roughly two-thirds of people who have sexual contact with a person infected with genital warts will develop warts within three months of contact. Spontaneous regression of genital warts occurs in 10-20% of genital wart cases. However, even if a lesion regresses, recurrence of genital warts is common with 50% recurrence after one year. As a result of the unsightly lesions, treatment of genital warts is common.
- HPV infection is necessary, though not sufficient, for the development of cervical cancer.
- the presence of HPV in cervical cancer is estimated at 99.7%.
- Anal cancer is thought to have a similar association between HPV infection and the development of anal dysplasia and anal cancer as is the case with cervical cancer.
- HPV infection was found in 88% of anal cancers.
- 12,200 new cases of cervical cancer and 4,100 cervical-cancer deaths are predicted along with 4,000 new cases of anal cancer and 500 anal-cancer deaths. While the incidence of cervical cancer has decreased in the last four decades due to widespread screening, the incidence of anal cancer is increasing.
- the increase in anal cancer incidence may be attributed in part to HIV infection since HIV positive patients have a higher incidence of anal cancer than the general population. While anal cancer has an incidence of 0.9 cases per 100,000 in the general population, anal cancer has an incidence of 35 cases per 100,000 in the homosexual male population and 70-100 cases per 100,000 in the HIV positive homosexual male population.
- the 2003 USPHA / IDSA Guidelines for the Treatment of Opportunistic Infections in HIV Positive Patients will include treatment guidelines for patients diagnosed with anal dysplasia. There is no known cure for HPN. There are treatments for genital warts, though they often disappear even without treatment.
- the method of treatment depends on factors such as the size and location of the genital warts.
- the treatments used are, Imiquimod cream, 20 percent podophyllin antimitotic solution, 0.5 percent podofilox solution, 5 percent 5-fluorouraciI cream, and Trichloroacetic acid.
- the use of podophyllin or podofilox is not recommended for pregnant women because they are absorbed by the skin and may cause birth defects.
- the use of 5-fluorouracil cream is also not recommended for pregnant women.
- Small genital warts can be physically removed by freezing (cryosurgery), burning (electrocautery) or laser treatment. Large warts that do not responded to other treatment may have to be removed by surgery.
- Y 1A and Y 1B are independently Y 1 ;
- R X1 and 2 are independently R x ;
- R x is independently R 1 , R 2 , R 4 , W 3 , or a protecting group;
- R 1 is independently -H or alkyl of 1 to 18 carbon atoms;
- R 2 is independently R 3 or R 4 wherein each R 4 is independently substituted with 0 to 3 R 3 groups or taken together at a carbon atom, two R 2 groups form a ring of 3 to 8 carbons and the ring may be substituted with 0 to 3 R 3 groups;
- R 3 is R 3a , R 3b , R 3c or R 3d , provided that when R 3 is bound to a heteroatom, then R 3 is R 3c or R 3d ;
- R 3a is -H, -F, -CI, -Br, -I, -CF 3 , -CN, Ns, -N0 2 , or -OR 4 ;
- R 3c is -R 4 , -N(R 4 )(R 4 ), -SR 4 , -S(0)R 4 , -S(0) 2 R 4 , -S(0)(OR 4 ), -S(0) 2 (OR 4 ), -OC(R 3b )R 4 , -OC(R 3b )OR 4 , -OC(R 3b )(N(R )(R 4 )), -SC(R 3b )R 4 , -SC(R 3 )OR 4 , -SC(R 3b )(N(R )(R 4 )), -N(R 4 )C(R 3b )R 4 , -N(R )C(R 3b )OR 4 , -N(R 4 )C(R 3 )(N(R )(R 4 )), W 3 or -R 5 W 3 ; R 3d is -C(R 3b )R 4 ,
- the present invention provides a compound of the formula,
- R x is independently R 1 , R 2 , R 4 , W 3 , or a protecting group;
- R 1 is independently -H or alkyl of 1 to 18 carbon atoms;
- R 2 is independently R 3 or R 4 wherein each R 4 is independently substituted with 0 to 3 R 3 groups or taken together at a carbon atom, two R 2 groups form a ring of 3 to 8 carbons and the ring may be substituted with 0 to 3 R 3 groups;
- R 3 is R 3a , R 3b , R 3c or R 3d , provided that when R 3 is bound to a heteroatom, then R 3 is R 3c or R 3d ;
- R 3a is -H, -F, -CI, -Br, -I, -CFs, -CN, Ns, -NCfa, or -OR 4 ;
- R 4 is -R 4 , ⁇ N(R 4 )(R 4 ), -SR 4 , -S(0)R 4 , -S(0) 2 R 4 , -S(0)(OR 4 ), -S(0) 2 (OR 4 ) -OC(R 3b )R 4 , -OC(R 3b )OR 4 , -OC(R 3 )(N(R 4 )(R 4 )), -SC(R 3b )R 4 , -SC(R 3b )OR 4 , -SC(R 3b )(N(R )(R 4 )), -N(R 4 )C(R 3b )R 4 , -N(R 4 )C(R 3b )OR 4 , -N(R 4 )C(R 3b )(N(R )(R 4 )), W 3 or -R 5 W 3 ; R 3d is -C(R 3b )R 4 , -S
- An embodiment of the present invention provides a compound of Formula I,
- An embodiment of the present invention provides a compound of the formula
- An embodiment of the present invention provides a compound of the formula
- An embodiment of the present invention provides a compound of the formula
- An embodiment of the present invention provides a compound of the formula
- An embodiment of the present invention provides a compound of the formula
- An embodiment of the present invention provides a compound of the formula
- An embodiment of the present invention provides a compound of the formula
- An embodiment of the present invention provides a compound of the formula
- An embodiment of the present invention provides a compound of the formula
- An embodiment of the present invention provides a compound of the formula
- An embodiment of the present invention provides a compound useful as an antiproliferative agent.
- An embodiment of the present invention provides a compound useful as an apoptotic agent.
- An embodiment of the present invention provides a compound useful as an anti-HPV agent.
- An aspect of the present embodiment provides a compound useful as a topical anti-HPV agent.
- An embodiment of the present invention provides a pharmaceutical composition comprising an effective amount of a compound of Formula 1 or a pharmaceutically acceptable salt thereof, and a pharmaceutically acceptable carrier.
- An aspect of the present embodiment provides a pharmaceutical composition, where the composition is a gel composition.
- Another aspect of the present embodiment provides a pharmaceutical composition, where the composition is an ointment composition.
- An embodiment of the present invention provides a pharmaceutical composition comprising an effective amount of a compound of Formula 1 or a pharmaceutically acceptable salt thereof, and an effective amount of at least one antiviral agent, and a pharmaceutically acceptable carrier.
- An aspect of the present embodiment provides a pharmaceutical composition, where the composition is a gel composition.
- Another aspect of the present embodiment provides a pharmaceutical composition, where the composition is an ointment composition.
- PMEG refers to the compound 9-(2- phosphonylmethoxy ethyl) guanine
- PMEDAP refers to the compound 9-(2- phosphonylmethoxyethyl)-2 / 6-diaminopurine
- cprPMEDAP refers to the compound 9-(2- phosphonylmethoxyethyl)-2-amino-6-(cyclopropyl)purine
- Bioavailability is the degree to which the pharmaceutically active agent becomes available to the target tissue after the agent's introduction into the body. Enhancement of the bioavailability of a pharmaceutically active agent can provide a more efficient and effective treatment for patients because, for a given dose, more of the pharmaceutically active agent will be available at the targeted tissue sites.
- phosphonate and phosphonate group include functional groups or moieties within a molecule that comprises a phosphorous that is 1) single-bonded to a carbon, 2) double-bonded to a heteroatom , 3) single-bonded to a heteroatom, and 4) single-bonded to another heteroatom, wherein each heteroatom can be the same or different.
- phosphonate and phosphonate group also include functional groups or moieties that comprise a phosphorous in the same oxidation state as the phosphorous described above, as well as functional groups or moieties that comprise a prodrug moiety that can separate from a compound so that the compound retains a phosphorous having the characteristics described above.
- the terms “phosphonate” and “phosphonate group” include phosphonic acid, phosphonic monoester, phosphonic diester, phosphonamidate, and phosphonthioate functional groups.
- the terms "phosphonate” and “phosphonate group” include functional groups or moieties within a molecule that comprises a phosphorous that is 1) single-bonded to a carbon, 2) double- bonded to an oxygen, 3) single-bonded to an oxygen, and 4) single-bonded to another oxygen, as well as functional groups or moieties that comprise a prodrug moiety that can separate from a compound so that the compound retains a phosphorous having such characteristics.
- the terms "phosphonate” and "phosphonate group” include functional groups or moieties within a molecule that comprises a phosphorous that is 1) single-bonded to a carbon, 2) double-bonded to an oxygen, 3) single-bonded to an oxygen or nitrogen, and 4) single-bonded to another oxygen or nitrogen, as well as functional groups or moieties that comprise a prodrug moiety that can separate from a compound so that the compound retains a phosphorous having such characteristics.
- Compounds are defined herein as stable in the gastrointestinal tract where less than about 50 mole percent of the protected groups are deprotected in surrogate intestinal or gastric juice upon incubation for 1 hour at 37°C. Such compounds are suitable for use in this embodiment. Note that simply because the compounds are stable to the gastrointestinal tract does not mean that they cannot be hydrolyzed in vivo. Prodrugs typically will be stable in the digestive system but are substantially hydrolyzed to the parental drug in the digestive lumen, liver or other metabolic organ, or within cells in general. The compounds of the invention can also exist as tautomeric isomers in certain cases.
- prodrug refers to any compound that when administered to a biological system generates the drug substance, i.e. active ingredient, as a result of spontaneous chemical reaction(s); enzyme catalyzed chemical reaction(s), photolysis, and/or metabolic chemical reaction(s).
- a prodrug is thus a covalently modified analog or latent form of a therapeutically-active compound.
- Prodrug moiety refers to a labile functional group which separates from the active inliibitory compound during metabolism, systemically, inside a cell, by hydrolysis, enzymatic cleavage, or by some other process (Bundgaard, Hans, “Design and Application of Prodrugs” in A Textbook of Drug Design and Development (1991), P. Krogsgaard-Larsen and H. Bundgaard, Eds. Harwood Academic Publishers, pp. 113-191).
- Enzymes which are capable of an enzymatic activation mechanism with the phosphonate prodrug compounds of the invention include, but are not limited to, amidases, esterases, microbial enzymes, phospholipases, cholinesterases, and phosphases.
- Prodrug moieties can serve to enhance solubility, absorption and lipophilicity to optimize drug delivery, bioavailability and efficacy.
- a prodrug moiety may include an active metabolite or drug itself.
- the acyloxyalkyl ester was first used as a prodrug strategy for carboxylic acids and then applied to phosphates and phosphonates by Farquhar et al. (1983) /. Pharm. Sci. 72: 324; also US Patent Nos. 4816570, 4968788, 5663159 and 5792756.
- acyloxyalkyl ester was used to deliver phosphonic acids across cell membranes and to enhance oral bioavailability.
- a close variant of the acyloxyalkyl ester, the alkoxycarbonyloxyalkyl ester (carbonate), may also enhance oral bioavailability as a prodrug moiety in the compounds of the combinations of the invention.
- the phosphonate group may be a phosphonate prodrug moiety.
- the prodrug moiety may be sensitive to hydrolysis, such as, but not limited to a isopropylcarbonyl-oxymethoxy or isopropylcarbonyloxymethyl carbonate group.
- the prodrug moiety may be sensitive to enzymatic potentiated cleavage, such as a lactate ester or a phosphonamidate-ester group.
- Aryl esters of phosphorus groups, especially phenyl esters, are reported to enhance oral bioavailability (De Lombaert et al. (1994) /. Med. Chem. 37:498).
- Phenyl esters containing a carboxylic ester ortho to the phosphate have also been described (Khamnei and Torrence, (1996) /. Med. Chem. 39:4109-4115). Benzyl esters are reported to generate the parent phosphonic acid. In some cases, substituents at the ortho-or para-position may accelerate the hydrolysis. Benzyl analogs with an acylated phenol or an alkylated phenol may generate the phenolic compound through the action of enzymes, e.g., esterases, oxidases, etc., which in turn undergoes cleavage at the benzylic C-O bond to generate the phosphoric acid and the quinone methide intermediate.
- enzymes e.g., esterases, oxidases, etc.
- prodrugs examples include Mitchell et al. (1992) /. Chem. Soc. Perkin Trans. II 2345; Glazier WO 91/19721. Still other benzylic prodrugs have been described containing a carboxylic ester-containing group attached to the benzylic methylene (Glazier WO 91/19721). Thio-containing prodrugs are reported to be useful for the intracellular delivery of phosphonate drugs. These proesters contain an ethylthio group in which the thiol group is either esterif ied with an acyl group or combined with another thiol group to form a disulfide.
- Protecting groups are often utilized to mask the reactivity of certain functional groups, to assist in the efficiency of desired chemical reactions, e.g., making and breaking chemical bonds in an ordered and planned fashion. Protection of functional groups of a compound alters other physical properties besides the reactivity of the protected functional group, such as the polarity, lipophilicity (hydrophobicity), and other properties which can be measured by common analytical tools. Chemically protected intermediates may themselves be biologically active or inactive.
- Protected compounds may also exhibit altered, and in some cases, optimized properties in vitro and in vivo, such as passage through cellular membranes and resistance to enzymatic degradation or sequestration. In this role, protected compounds with intended therapeutic effects may be referred to as prodrugs.
- Another function of a protecting group is to convert the parental drug into a prodrug, whereby the parental drug is released upon conversion of the prodrug in vivo. Because active prodrugs may be absorbed more effectively than the parental drug, prodrugs may possess greater potency in vivo than the parental drug.
- Protecting groups are removed either in vitro, in the instance of chemical intermediates, or in vivo, in the case of prodrugs.
- any reference to any of the compounds of the invention also includes a reference to a physiologically acceptable salt thereof.
- physiologically acceptable salts of the compounds of the invention include salts derived from an appropriate base, such as an alkali metal (for example, sodium), an alkaline earth (for example, magnesium), ammonium and NXt + (wherein X is Ci- alkyl).
- Physiologically acceptable salts of an hydrogen atom or an amino group include salts of organic carboxylic acids such as acetic, benzoic, lactic, fumaric, tartaric, maleic, malonic, malic, isethionic, lactobionic and succinic acids; organic sulfonic acids, such as methanesulfonic, ethanesulfonic, benzenesulfonic and p- toluenesulfonic acids; and inorganic acids, such as hydrochloric, sulfuric, phosphoric and sulfamic acids.
- organic carboxylic acids such as acetic, benzoic, lactic, fumaric, tartaric, maleic, malonic, malic, isethionic, lactobionic and succinic acids
- organic sulfonic acids such as methanesulfonic, ethanesulfonic, benzenesulfonic and p- toluenesulfonic acids
- Physiologically acceptable salts of a compound of a hydroxy group include the anion of said compound in combination with a suitable cation such as Na + and NX + (wherein X is independently selected from H or a Ci-Q alkyl group).
- a suitable cation such as Na + and NX + (wherein X is independently selected from H or a Ci-Q alkyl group).
- gel refers to semisolid systems consisting of either suspensions made up of small inorganic particles or large organic molecules enclosing and interpenetrated by a liquid. Where the gel mass consists of floccules of small particles, the gel is classified as a two-phase system and is sometimes called a magma. Aluminum Hydroxide Gel and Bentonite Magma are examples of two-phase systems.
- Single-phase gels consist of organic macromolecules uniformly distributed throughout a liquid in such a manner that no apparent boundaries exist between the dispersed macromolecules and the liquid.
- examples of such gels are Carboxymethylcellulose Sodium and Tragacanth.
- gels are commonly aqueous, alcohols and oils may be used as a continuous phase.
- the term "ointment” refers to a semisolid preparation for external application of such consistency that they may be readily applied to skin by inunction. They should be of such composition that they soften but not necessarily melt when applied to the body. They serve as vehicles for the topical application of medicinal substances and also function as protectives and emollients for the skin.
- salts of active ingredients of the compounds of the invention will be physiologically acceptable, i.e. they will be salts derived from a physiologically acceptable acid or base.
- salts of acids or bases which are not physiologically acceptable may also find use, for example, in the preparation or purification of a physiologically acceptable compound. All salts, whether or not derived form a physiologically acceptable acid or base, are within the scope of the present invention.
- Alkyl is C1-C18 hydrocarbon containing normal, secondary, tertiary or cyclic carbon atoms.
- Examples are methyl (Me, -CH3), ethyl (Et, -CH2CH3), 1- propyl (n-Pr, n-propyl, -CH2CH2CH3), 2-propyl (i-Pr, i-propyl, -CH(CH3)2), 1- butyl (n-Bu, n-butyl, -CH2CH2CH2CH3), 2-methyl-l- ⁇ ropyl (i-Bu, i-butyl, - CH2CH(CH3)2), 2-butyl (s-Bu, s-butyl, -CH(CH3)CH2CH3), 2-methyl-2-propyl (t- Bu, t-butyl, -C(CH3)3), 1-pentyl (n-pentyl, -CH2CH2CH2CH3, 2-pentyl (- CH(CH3)CH2CH2CH3), 3-pentyl (-CH(CH2CH3)2), 2-methyl-2-methyl
- Alkynyl is C2-C18 hydrocarbon containing normal, secondary, tertiary or cyclic carbon atoms with at least one site of unsaturation, i.e. a carbon-carbon, sp triple bond.
- Alkylene refers to a saturated, branched or straight chain or cyclic hydrocarbon radical of 1-18 carbon atoms, and having two monovalent radical centers derived by the removal of two hydrogen atoms from the same or two different carbon atoms of a parent alkane.
- Typical alkylene radicals include, but are not limited to, methylene (-CH2-) 1,2-ethyl (-CH2CH2-), 1,3-propyl (-CH2CH2CH2-), 1,4-butyl (-CFLCHzC ⁇ CH ⁇ -), and the like.
- Alkenylene refers to an unsaturated, branched or straight chain or cyclic hydrocarbon radical of 2-18 carbon atoms, and having two monovalent radical centers derived by the removal of two hydrogen atoms from the same or two different carbon atoms of a parent alkene.
- Alkynylene refers to an unsaturated, branched or straight chain or cyclic hydrocarbon radical of 2-18 carbon atoms, and having two monovalent radical centers derived by the removal of two hydrogen atoms from the same or two different carbon atoms of a parent alkyne.
- Typical alkynylene radicals include, but are not limited to, acetylene (-G ⁇ C-), propargyl (-QHLC ⁇ C-), and 4-pentynyl
- Aryl means a monovalent aromatic hydrocarbon radical of 6-20 carbon atoms derived by the removal of one hydrogen atom from a single carbon atom of a parent aromatic ring system.
- Typical aryl groups include, but are not limited to, radicals derived from benzene, substituted benzene, naphthalene, anthracene, biphenyl, and the like.
- Arylalkyl refers to an acyclic alkyl radical in which one of the hydrogen atoms bonded to a carbon atom, typically a terminal or sp 3 carbon atom, is replaced with an aryl radical.
- Typical arylalkyl groups include, but are not limited to, benzyl, 2-phenylethan-l-yl, naphthylmethyl, 2-naphthylethan-l-yl, naphthobenzyl, 2-naphthophenylethan-l-yl and the like.
- the arylalkyl group comprises 6 to 20 carbon atoms, e.g., the alkyl moiety, including alkyl, alkenyl or alkynyl groups, of the arylalkyl group is 1 to 6 carbon atoms and the aryl moiety is 5 to 14 carbon atoms.
- “Substituted alkyl”, “substituted aryl”, and “substituted arylalkyl” mean alkyl, aryl, and arylalkyl respectively, in which one or more hydrogen atoms are each independently replaced with a non-hydrogen substituent.
- Heterocycle as used herein includes by way of example and not limitation these heterocycles described in Paquette, Leo A.; Principles of Modern Heterocyclic Chemistry (W.A. Benjamin, New York, 1968), particularly Chapters 1, 3, 4, 6, 7, and 9; The Chemistry of Heterocyclic Compounds, A Series of Monographs” (John Wiley & Sons, New York, 1950 to present), in particular Volumes 13, 14, 16, 19, and 28; and/. Am. Chem. Soc. (1960) 82:5566.
- heterocycle includes a "carbocycle” as defined herein, wherein one or more (e.g.
- heterocycles include by way of example and not limitation pyridyl, dihydroypyridyl, tetrahydropyridyl (piperidyl), thiazolyl, tetrahydrothiophenyl, sulfur oxidized tetrahydrothiophenyl, pyrimidinyl, furanyl, thienyl, pyrrolyl, pyrazolyl, imidazolyl, tetrazolyl, benzofuranyl, thianaphthalenyl, indolyl, indolenyl, quinolinyl, isoquinolinyl, benzimidazolyl, piperidinyl, 4-piperidonyl, pyrrolidinyl, 2-pyrrolidonyl, pyrrolinyl, tetrahydrofuranyl, tetrahydr
- carbon bonded heterocycles are bonded at position 2, 3, 4, 5, or 6 of a pyridine, position 3, 4, 5, or 6 of a pyridazine, position 2, 4, 5, or 6 of a pyrimidine, position 2, 3, 5, or 6 of a pyrazine, position 2, 3, 4, or 5 of a furan, tetrahydrofuran, thiofuran, thiophene, pyrrole or tetrahydropyrrole, position 2, 4, or 5 of an oxazole, imidazole or thiazole, position 3, 4, or 5 of an isoxazole, pyrazole, or isothiazole, position 2 or 3 of an aziridine, position 2, 3, or 4 of an azetidine, position 2, 3, 4, 5, 6, 7, or 8 of a quinoline or position 1, 3, 4, 5, 6, 7, or 8 of an isoquinoline.
- carbon bonded heterocycles include 2-pyridyl, 3-pyridyl, 4-pyridyl, 5-pyridyl, 6-pyridyl, 3- pyridazinyl, 4-pyridazinyl, 5-pyridazinyl, 6-pyridazinyl, 2-pyrimidinyl, 4- pyrimidinyl, 5-pyrimidinyl, 6-pyrimidinyl, 2-pyrazinyl, 3-pyrazinyl, 5-pyrazinyl, 6-pyrazinyl, 2-thiazolyl, 4-thiazolyl, or 5-thiazolyl.
- nitrogen bonded heterocycles are bonded at position 1 of an aziridine, azetidine, pyrrole, pyrrolidine, 2-pyrroline, 3- pyrroline, imidazole, imidazolidine, 2-imidazoline, 3-imidazoline, pyrazole, pyrazoline, 2-pyrazoline, 3-pyrazoline, piperidine, piperazine, indole, indoline, lH-indazole, position 2 of a isoindole, or isoindoline, position 4 of a morpholine, and posit on 9 of a carbazole, or ⁇ -carboline.
- nitrogen bonded heterocycles include 1-aziridyl, 1-azetedyl, 1-pyrrolyl, 1-imidazolyl, 1-pyrazolyl, and 1-piperidinyl.
- Carbocycle refers to a saturated, unsaturated or aromatic ring having 3 to
- Monocyclic carbocycles have 3 to 6 ring atoms, still more typically 5 or 6 ring atoms.
- Bicyclic carbocycles have 7 to 12 ring atoms, e.g., arranged as a bicyclo [4,5], [5,5], [5,6] or [6,6] system, or 9 or 10 ring atoms arranged as a bicyclo [5,6] or [6,6] system.
- Examples of monocyclic carbocycles include cyclopropyl (cPropyl), cyclobutyl (cButyl), cyclopentyl (cPentyl), 1- cyclopent-1-enyl, l-cyclopent-2-enyl, l-cyclopent-3-enyl, cyclohexyl, 1-cyclohex-l- enyl, l'-cyclohex-2-enyl, l-cyclohex-3-enyl, phenyl, spiryl and naphthyl.
- Linker refers to a chemical moiety comprising a covalent bond or a chain or group of atoms that covalently attaches a phosphonate group to a drug.
- Linkers include moieties such as: repeating units of alkyloxy (e.g., polyethyleneoxy, PEG, polymethyleneoxy) and alkylamino (e.g., polyethyleneamino, JeffamineTM); and diacid ester and amides including succinate, succinamide, diglycolate, malonate, and caproamide.
- the term “Aba” refers to a divalent moiety of
- Al refers to a divalent moiety of alanine
- POC refers to the divalent moiety of hydroxymethyl isopropyl carbonate, where the point of attachment is designated by the " * ".
- Substitutent groups Y 1A and Y 1B can be described using nomenclature that incorporates the aforementioned divalent amino acid moieties and alkyl moieties, such as in Table 80-3. For example, the compound of the formula,
- chiral refers to molecules which have the property of non- superimposability of the mirror image partner, while the term “achiral” refers to molecules which are superimposable on their mirror image partner.
- stereoisomers refers to compounds which have identical chemical constitution, but differ with regard to the arrangement of the atoms or groups in space.
- Diastereomer refers to a stereoisomer with two or more centers of chirality and whose molecules are not mirror images of one another.
- Diastereomers have different physical properties, e.g., melting points, boiling points, spectral properties, and reactivities. Mixtures of diastereomers may separate under high resolution analytical procedures such as electrophoresis and chromatography. "Enantiomers” refer to two stereoisomers of a compound which are non- superimposable mirror images of one another.
- treatment or “treating,” to the extent it relates to a disease or condition includes preventing the disease or condition from occurring, inhibiting the disease or condition, eliminating the disease or condition, and/or relieving one or more symptoms of the disease or condition.
- antiproliferative refers to activities used to, or tending to inhibit cell growth, such as antiproliferative effects on tumor cells, or antiproliferative effects on virally infected cells.
- apoptosis refers to one of the main types of programmed cell death. As such, it is a process of deliberate suicide by an unwanted cell in a multicellular organism. In contrast to necrosis, which is a form of cell death that results from acute tissue injury, apoptosis is carried out in an ordered process that generally confers advantages during an organism's life cycle.
- Apoptosis is a type of cell death in which the cell uses specialized cellular machinery to kill itself; a cell suicide mechanism that enables metazoans to control cell number and eliminate cells that threaten the animal's survival. Apoptosis can occur, for instance, when a cell is damaged beyond repair, or infected with a virus.
- the stimuli for apoptosis can come from the cell itself, from its surrounding tissue or from a cell that is part of the immune system, it can be chemical, biological or physical.
- the related term "apoptitic" refers to the process of apoptosis. Stereochemical definitions and conventions used herein generally follow S. P.
- a compound prefixed with (+) or d is dextrorotatory.
- these stereoisomers are identical except that they are mirror images of one another.
- a specific stereoisomer may also be referred to as an enantiomer, and a mixture of such isomers is often called an enantiomeric mixture.
- a 50:50 mixture of enantiomers is referred to as a racemic mixture or a racemate, which may occur where there has been no stereoselection or stereospecificity in a chemical reaction or process.
- the terms “racemic mixture” and “racemate” refer to an equimolar mixture of two enantiomeric species, devoid of optical activity.
- protecting groups include prodrug moieties and chemical protecting groups.
- Protecting groups are available, commonly known and used, and are optionally used to prevent side reactions with the protected group during synthetic procedures, i.e. routes or methods to prepare the compounds of the invention.
- synthetic procedures i.e. routes or methods to prepare the compounds of the invention.
- PG chemical protecting group
- the PG groups do not need to be, and generally are not, the same if the compound is substituted with multiple PG.
- PG will be used to protect functional groups such as carboxyl, hydroxyl, thio, or amino groups and to thus prevent side reactions or to otherwise facilitate the synthetic efficiency.
- the order of deprotection to yield free, deprotected groups is dependent upon the intended direction of the synthesis and the reaction conditions to be encountered, and may occur in any order as determined by the artisan.
- Various functional groups of the compounds of the invention may be protected.
- protecting groups for -OH groups include "ether- or ester- forming groups”.
- Ether- or ester-f ⁇ rming groups are capable of functioning as chemical protecting groups in the synthetic schemes set forth herein.
- hydroxyl and thio protecting groups are neither ether- nor ester-forming groups, as will be understood by those skilled in the art, and are included with amides, discussed below.
- a very large number of hydroxyl protecting groups and amide-forming groups and corresponding chemical cleavage reactions are described in Protective Groups in Organic Synthesis, Theodora W. Greene (John Wiley & Sons, Inc., New York, 1991, ISBN 0-471-62301-6) ("Greene”). See also Kocienski, Philip J.; Protecting Groups (Georg Thieme Verlag Stuttgart, New York, 1994), which is incorporated by reference in its entirety herein.
- Ester-forming groups include: (1) phosphonate ester-forming groups, such as phosphonamidate esters, phosphorothioate esters, phosphonate esters, and phosphon-bis-amidates; (2) carboxyl ester-forming groups, and (3) sulphur ester- forming groups, such as sulphonate, sulfate, and sulfinate.
- the phosphonate moieties of the compounds of the invention may or may not be prodrug moieties, i.e. they may or may be susceptible to hydrolytic or enzymatic cleavage or modification. Certain phosphonate moieties are stable under most or nearly all metabolic conditions. For example, a dialkylphosphonate, where the alkyl groups are two or more carbons, may have appreciable stability in vivo due to a slow rate of hydrolysis.
- compositions of this invention optionally comprise salts of the compounds herein, especially pharmaceutically acceptable non-toxic salts containing, for example, Na + , Li + , K + / Ca+ ⁇ and Mg " * -1" .
- Such salts may include those derived by combination of appropriate cations such as alkali and alkaline earth metal ions or ammonium and quaternary amino ions with an acid anion moiety.
- Monovalent salts are preferred if a water soluble salt is desired.
- Metal salts typically are prepared by reacting a compound of this invention with a metal hydroxide. Examples of metal salts which are prepared in this way are salts containing Li + , Na + , and K + .
- a less soluble metal salt can be precipitated from the solution of a more soluble salt by addition of the suitable metal compound.
- salts may be formed from acid addition of certain organic and inorganic acids, e.g., HCI, HBr, H2SO-I, or organic sulfonic acids, to basic centers, or to acidic groups.
- amino acids described above are suitable, especially the naturally-occurring amino acids found as protein components, although the amino acid typically is one bearing a side chain with a basic or acidic group, e.g., lysine, arginine or glutamic acid, or a neutral group such as glycine, serine, threonine, alanine, isoleucine, or leucine.
- a basic or acidic group e.g., lysine, arginine or glutamic acid
- a neutral group such as glycine, serine, threonine, alanine, isoleucine, or leucine.
- compositions of the invention act as inhibitors of HPV, as intermediates for such inhibitors or have other utilities as described below.
- the treating step of the invention comprises adding the composition of the invention to the sample or it comprises adding a precursor of the composition to the sample.
- the addition step comprises any method of administration as described above. If desired, the activity of HPV after application of the composition can be observed by any method including direct and indirect methods of detecting HPV activity. Quantitative, qualitative, and semi quantitative methods of determining HPV activity are all contemplated.
- Screens for HPV Inhibitors Compounds and compositions of the invention are screened for therapeutic utility by measuring the EC 50 , that is the concentration of compound that achieves 50% inhibition of cell growth. The ratio of ECso in HPV-uninfected and infected cells provides a measure of the selectivity of the compound for the virus infected cells. The protocols used to obtain these measures are taught in the Examples.
- compositions and routess of Administration are formulated with conventional carriers and excipients, which will be selected in accord with ordinary practice. Tablets will contain excipients, glidants, fillers, binders and the like. Aqueous formulations are prepared in sterile form, and when intended for delivery by other than oral administration generally will be isotonic. All formulations will optionally contain excipients such as those set forth in the "Handbook of Pharmaceutical Excipients" (1986). Excipients include ascorbic acid and other antioxidants, chelating agents such as EDTA, carbohydrates such as dextrin, hydroxyalkylcellulose, hydroxyalkylmethylcellulose, stearic acid and the like.
- the pH of the formulations ranges from about 3 to about 11, but is ordinarily about 7 to 10.
- One or more compounds of the invention are administered by any route appropriate to the condition to be treated. Suitable routes include oral, rectal, nasal, topical (including buccal and sublingual), vaginal and parenteral (including subcutaneous, intramuscular, intravenous, intradermal, intrathecal and epidural), and the like. It will be appreciated that the preferred route may vary with the condition of the recipient.
- An advantage of the compounds of this invention is that they are orally bioavailable and can be dosed orally. While it is possible for the active ingredients to be administered alone it may be preferable to present them as pharmaceutical formulations.
- the formulations, both for veterinary and for human use, of the invention comprise at least one active ingredient, as above defined, together with one or more acceptable carriers therefore and optionally other therapeutic ingredients.
- the carrier(s) must be "acceptable” in the sense of being compatible with the other ingredients of the formulation and physiologically innocuous to the recipient thereof.
- the formulations include those suitable for the foregoing administration routes.
- the formulations may conveniently be presented in unit dosage form and may be prepared by any of the methods well known in the art of pharmacy. Techniques and formulations generally are found in Remington's Pharmaceutical Sciences (Mack Publishing Co., Easton, PA). Such methods include the step of bringing into association the active ingredient with the carrier which constitutes one or more accessory ingredients.
- formulations are prepared by uniformly and intimately bringing into association the active ingredient with liquid carriers or finely divided solid carriers or both, and then, if necessary, shaping the product.
- Formulations of the invention suitable for oral administration are prepared as discrete units such as capsules, cachets or tablets each containing a predetermined amount of the active ingredient; as a powder or granules; as solution or a suspension in an aqueous liquid or a non-aqueous liquid; or as an oil-in- water liquid emulsion or a water-in-oil liquid emulsion.
- the active ingredient may also be presented as a bolus, electuary or paste.
- a tablet is made by compression or molding, optionally with one or more accessory ingredients.
- Compressed tablets may be prepared by compressing in a suitable machine the active ingredient in a free-flowing form such as a powder or granules, optionally mixed with a binder, lubricant, inert diluent, preservative, surface active or dispersing agent. Molded tablets may be made by molding in a suitable machine a mixture of the powdered active ingredient moistened with an inert liquid diluent. The tablets may optionally be coated or scored and optionally are formulated so as to provide slow or controlled release of the active ingredient there from. For infections of the eye or other external tissues e.g.
- the formulations are preferably applied as a topical ointment or cream containing the active ingredient(s) in an amount of, for example, 0.075 to 20% w/w (including active ingredient(s) in a range between 0.1% and 20% in increments of 0.1% w/w such as 0.6% w/w, 0.7% w/w, etc.), preferably 0.2 to 15% w/w and most preferably 0.5 to 10% w/w.
- the active ingredients may be employed with either a paraffinic or a water-miscible ointment base.
- the active ingredients may be formulated in a cream with an oil-in- water cream base.
- the aqueous phase of the cream base may include, for example, at least 30% w/w of a polyhydric alcohol, i.e. an alcohol having two or more hydroxyl groups such as propylene glycol, butane 1,3-diol, mannitol, sorbitol, glycerol and polyethylene glycol (including PEG 400) and mixtures thereof.
- the topical formulations may desirably include a compound which enhances absorption or penetration of the active ingredient through the skin or other affected areas. Examples of such dermal penetration enhancers include dimethyl sulphoxide and related analogs.
- the oily phase of the emulsions of this invention may be constituted from known ingredients in a known manner.
- the phase may comprise merely an emulsifier (otherwise known as an emulgent), it desirably comprises a mixture of at least one emulsifier with a fat or an oil or with both a fat and an oil.
- a hydrophilic emulsifier is included together with a lipophilic emulsifier which acts as a stabilizer. It is also preferred to include both an oil and a fat.
- the emulsifier(s) with or without stabilizer(s) make up the so-called emulsifying wax, and the wax together with the oil and fat make up the so-called emulsifying ointment base which forms the oily dispersed phase of the cream formulations.
- Emulgents and emulsion stabilizers suitable for use in the formulation of the invention include Tween® 60, Span® 80, cetostearyl alcohol, benzyl alcohol, myristyl alcohol, glyceryl mono-stearate and sodium lauryl sulfate.
- the choice of suitable oils or fats for the formulation is based on achieving the desired cosmetic properties.
- the cream should preferably be a non-greasy, non-staining and washable product with suitable consistency to avoid leakage from tubes or other containers.
- Straight or branched chain, mono- or dibasic alkyl esters such as di-isoadipate, isocetyl stearate, propylene glycol diester of coconut fatty acids, isopropyl myristate, decyl oleate, isopropyl palmitate, butyl stearate, 2-ethylhexyl palmitate or a blend of branched chain esters known as Crodamol CAP may be used, the last three being preferred esters. These may be used alone or in combination depending on the properties required. Alternatively, high melting point lipids such as white soft paraffin and/or liquid paraffin or other mineral oils are used.
- Formulations suitable for topical administration to the eye also include eye drops wherein the active ingredient is dissolved or suspended in a suitable carrier, especially an aqueous solvent for the active ingredient.
- the active ingredient is preferably present in such formulations in a concentration of 0.5 to 20%, advantageously 0.5 to 10% particularly about 1.5% w/w.
- Formulations suitable for topical administration in the mouth include lozenges comprising the active ingredient in a flavored basis, usually sucrose and acacia or tragacanth; pastilles comprising the active ingredient in an inert basis such as gelatin and glycerin, or sucrose and acacia; and mouthwashes comprising the active ingredient in a suitable liquid carrier.
- Formulations for rectal administration may be presented as a suppository with a suitable base comprising for example cocoa butter or a salicylate.
- Formulations suitable for intrapulmonary or nasal administration have a particle size for example in the range of 0.1 to 500 microns (including particle sizes in a range between 0.1 and 500 microns in increments microns such as 0.5, 1, 30 microns, 35 microns, etc.), which is administered by rapid inhalation through the nasal passage or by inhalation through the mouth so as to reach the alveolar sacs.
- Suitable formulations include aqueous or oily solutions of the active ingredient.
- Formulations suitable for aerosol or dry powder administration may be prepared according to conventional methods and may be delivered with other therapeutic agents such as compounds heretofore used in the treatment or prophylaxis of influenza A or B infections as described below.
- Formulations suitable for vaginal administration may be presented as pessaries, tampons, creams, gels, pastes, foams or spray formulations containing in addition to the active ingredient, such carriers are as known in the art to be appropriate.
- Formulations suitable for parenteral administration include aqueous and non-aqueous sterile injection solutions which may contain anti-oxidants, buffers, bacteriostats and solutes which render the formulation isotonic with the blood of the intended recipient; and aqueous and non-aqueous sterile suspensions which may include suspending agents and thickening agents.
- the formulations are presented in unit-dose or multi-dose containers, for example sealed ampoules and vials, and may be stored in a freeze-dried
- sterile liquid carrier for example water for injection
- sterile liquid carrier for example water for injection
- Extemporaneous injection solutions and suspensions are prepared from sterile powders, granules and tablets of the kind previously described.
- Preferred unit dosage formulations are those containing a daily dose or unit daily sub-dose, as herein above recited, or an appropriate fraction thereof, of the active ingredient.
- the formulations of this invention may include other agents conventional in the art having regard to the type of formulation in question, for example those suitable for oral administration may include flavoring agents.
- the invention further provides veterinary compositions comprising at least one active ingredient as above defined together with a veterinary carrier therefore.
- Veterinary carriers are materials useful for the purpose of administering the composition and may be solid, liquid or gaseous materials which are otherwise inert or acceptable in the veterinary art and are compatible with the active ingredient. These veterinary compositions may be administered orally, parenterally or by any other desired route.
- Compounds of the invention are used to provide controlled release pharmaceutical formulations containing as active ingredient one or more compounds of the invention ("controlled release formulations") in which the release of the active ingredient are controlled and regulated to allow less frequency dosing or to improve the pharmacokinetic or toxicity profile of a given active ingredient.
- Effective dose of active ingredient depends at least on the nature of the condition being treated, toxicity, whether the compound is being used prophylactically (lower doses) or against an active influenza infection, the method of delivery, and the pharmaceutical formulation, and will be determined by the clinician using conventional dose escalation studies. It can be expected to be from about 0.0001 to about 100 mg/kg body weight per day; typically, from about 0.01 to about 10 mg/kg body weight per day; more typically, from about 0.01 to about 5 mg/kg body weight per day; most typically, from about 0.05 to about 0.5 mg/kg body weight per day.
- the daily candidate dose for an adult human of approximately 70 kg body weight will range from 1 mg to 1000 mg, preferably between 5 mg and 500 mg, and may take the form of single or multiple doses.
- Active ingredients of the invention are also used in combination with other active ingredients. Such combinations are selected based on the condition to be treated, cross-reactivities of ingredients and pharmaco-properties of the combination.
- the compositions of the invention are combined with antivirals (such as amantidine, rimantadine and ribavirin), mucolytics, expectorants, bronchialdilators, antibiotics, antipyretics, or analgesics. Ordinarily, antibiotics, antipyretics, and analgesics are administered together with the compounds of this invention.
- the present invention also provides the in vivo metabolic products of the compounds described herein, to the extent such products are novel and unobvious over the prior art. Such products may result for example from the oxidation, reduction, hydrolysis, amidation, esterification and the like of the administered compound, primarily due to enzymatic processes. Accordingly, the invention includes novel and unobvious compounds produced by a process comprising contacting a compound of this invention with a mammal for a period of time sufficient to yield a metabolic product thereof. Such products typically are identified by preparing a radiolabeled (e.g. C ⁇ or H ⁇ ) compound of the invention, administering it parenterally in a detectable dose (e.g.
- a radiolabeled e.g. C ⁇ or H ⁇
- metabolite structures are determined in conventional fashion, e.g. by MS or NMR analysis. In general, analysis of metabolites is done in the same way as conventional drug metabolism studies well-known to those skilled in the art.
- the conversion products so long as they are not otherwise found in vivo, are useful in diagnostic assays for therapeutic dosing of the compounds of the invention even if they possess no neuraminidase inhibitory activity of their own.
- the compounds of this invention are used as immunogens or for conjugation to proteins, whereby they serve as components of immunogenic compositions to prepare antibodies capable of binding specifically to the protein, to the compounds or to their metabolic products which retain immunologically recognized epitopes (sites of antibody binding).
- the immunogenic compositions therefore are useful as intermediates in the preparation of antibodies for use in diagnostic, quality control, or the like, methods or in assays for the compounds or their novel metabolic products.
- the compounds are useful for raising antibodies against otherwise non-immunogenic polypeptides, in that the compounds serve as haptenic sites stimulating an immune response that cross-reacts with the unmodified conjugated protein.
- the hydrolysis products of interest include products of the hydrolysis of the protected acidic and basic groups discussed above.
- the acidic or basic amides comprising immunogenic polypeptides such as albumin or keyhole limpet hemocyanin generally are useful as immunogens.
- the metabolic products described above may retain a substantial degree of immunological cross reactivity with the compounds of the invention.
- the antibodies of this invention will be capable of binding to the unprotected compounds of the invention without binding to the protected compounds; alternatively the metabolic products, will be capable of binding to the protected compounds and/or the metabolic products without binding to the protected compounds of the invention, or will be capable of binding specifically to any one or all three.
- the antibodies desirably will not substantially cross-react with naturally-occurring materials.
- immunogens of this invention contain the compound of this invention presenting the desired epitope in association with an immunogenic substance.
- association means covalent bonding to form an immunogenic conjugate (when applicable) or a mixture of non-covalently bonded materials, or a combination of the above.
- Immunogenic substances include adjuvants such as Freund's adjuvant, immunogenic proteins such as viral, bacterial, yeast, plant and animal polypeptides, in particular keyhole limpet hemocyanin, serum albumin, bovine thyroglobulin or soybean trypsin inhibitor, and immunogenic polysaccharides.
- the compound having the structure of the desired epitope is covalently conjugated to an immunogenic polypeptide or polysaccharide by the use of a polyfunctional (ordinarily bifunctional) cross-linking agent.
- a polyfunctional (ordinarily bifunctional) cross-linking agent for the manufacture of hapten immunogens are conventional per se, and any of the methods used heretofore for conjugating haptens to immunogenic polypeptides or the like are suitably employed here as well, taking into account the functional groups on the precursors or hydrolytic products which are available for cross-linking and the likelihood of producing antibodies specific to the epitope in question as opposed to the immunogenic substance.
- the polypeptide is conjugated to a site on the compound of the invention distant from the epitope to be recognized. The conjugates are prepared in conventional fashion.
- the conjugates comprise a compound of the invention attached by a bond or a linking group of 1-100, typically, 1-25, more typically 1-10 carbon atoms to the immunogenic substance.
- the conjugates are separated from starting materials and by products using chromatography or the like, and then are sterile filtered and vialed for storage. Animals are typically immunized against the immunogenic conjugates or derivatives and antisera or monoclonal antibodies prepared in conventional fashion.
- the compounds of this invention are useful as linkers or spacers in preparing affinity absorption matrices, immobilized enzymes for process control, or immunoassay reagents.
- the compounds herein contain a multiplicity of functional groups that are suitable as sites for cross-linking desired substances.
- affinity reagents such as hormones, peptides, antibodies, drugs, and the like to insoluble substrates.
- insoluble substrates are employed in known fashion to absorb binding partners for the affinity reagents from manufactured preparations, diagnostic samples and other impure mixtures.
- immobilized enzymes are used to perform catalytic conversions with facile recovery of enzyme.
- Bifunctional compounds are commonly used to link analytes to detectable groups in preparing diagnostic reagents. Screening assays preferably use cells from particular tissues that are susceptible to HPV infection. Assays known in the art are suitable for determining in vivo bioavailability including intestinal lumen stability, cell permeation, liver homogenate stability and plasma stability assays. However, even if the ester, amide or other protected derivatives are not converted in vivo to the free carboxyl, amino or hydroxyl groups, they remain useful as chemical intermediates. Utility for the present invention was taught using antiproliferation assays. Antiproliferation assays measure effect of compounds on proliferation of cultured cells. Cells are cultured for 7 days in the presence of various concentrations of compounds.
- Active compounds in antiproliferation assays may be cytostatic (inhibit cell division) and/or cytocidal (kill cells).
- the invention also relates to methods of making the compositions of the invention.
- the compositions are prepared by any of the applicable techniques of organic synthesis. Many such techniques are well known in the art. However, many of the known techniques are elaborated in "Compendium of Organic Synthetic Methods" (John Wiley & Sons, New York), Vol. 1, Ian T. Harrison and Shuyen Harrison, 1971; Vol. 2, Ian T. Harrison and Shuyen Harrison, 1974; Vol. 3, Louis S. Hegedus and Leroy Wade, 1977; Vol. 4, Leroy G. Wade, jr., 1980; Vol. 5, Leroy G. Wade, Jr., 1984; and Vol. 6, Michael B. Smith; as well as March, J.,
- temperatures will be -100°C to 200°C
- solvents will be aprotic or protic
- reaction times will be 10 seconds to 10 days.
- Workup typically consists of quenching any unreacted reagents followed by partition between a water/organic layer system (extraction) and separating the layer containing the product.
- Oxidation and reduction reactions are typically carried out at temperatures near room temperature (about 20°C), although for metal hydride reductions frequently the temperature is reduced to 0°C to -100°C, solvents are typically aprotic for reductions and may be either protic or aprotic for oxidations. Reaction times are adjusted to achieve desired conversions.
- Condensation rea ⁇ tions are typically carried out at temperatures near room temperature, although for non-equilibrating, kinetically controlled condensations reduced temperatures (0°C to -100°C) are also common.
- Solvents can be either protic (common in equilibrating reactions) or aprotic (common in kinetically controlled reactions).
- Standard synthetic techniques such as azeotropic removal of reaction byproducts and use of anhydrous reaction conditions (e.g. inert gas environments) are common in the art and will be applied when applicable.
- Exemplary methods of preparing the compounds of the invention are shown in the schemes below. Detailed descriptions of the methods are found in the Experimental section below, and are referenced to the specific schemes.
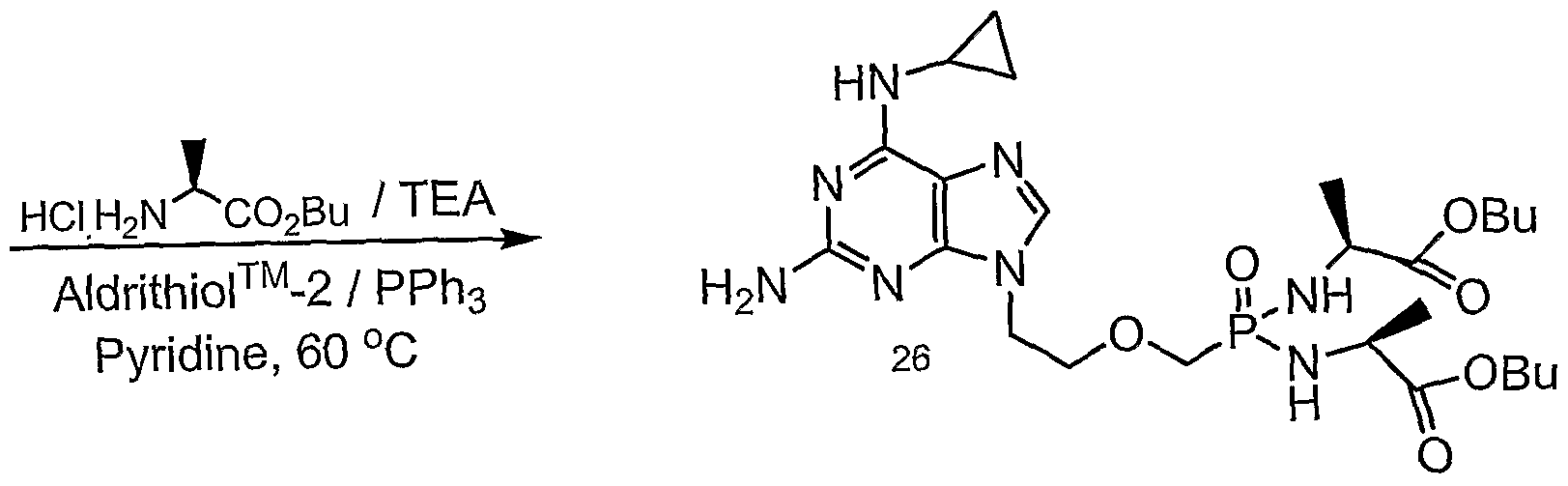
- HCI H 2 is co 2 Bu / TEA / PhOH A ⁇ lldrlri+thhiior llTTMM-2 O/ /P DPDKh 3 .
- Each of the products of the following processes is optionally separated, isolated, and/or purified prior to its use in subsequent processes.
- the terms "treated”, “treating”, “treatment”, and the like, when used in the context of a chemical process, protocol, or preparation mean contacting, mixing, reacting, allowing to react, bringing into contact, and other terms common in the art for indicating that one or more chemical entities is treated in such a manner as to convert it to one or more other chemical entities.
- treating compound one with compound two is synonymous with “allowing compound one to react with compound two", “contacting compound one with compound two”, “reacting compound one with compound two”, and other expressions common in the art of organic synthesis for reasonably indicating that compound one was “treated”, “reacted”, “allowed to react”, etc., with compound two.
- “treating” indicates the reasonable and usual manner in which organic chemicals are allowed to react.
- Chromatography can involve any number of methods including, for example, size exclusion or ion exchange chromatography, high, medium, or low pressure liquid chromatography, small scale and preparative thin or thick layer chromatography, as well as techniques of small scale thin layer and flash chromatography.
- Another class of separation methods involves treatment of a mixture with a reagent selected to bind to or render otherwise separable a desired product, unreacted starring material, reaction by product, or the like.
- Such reagents include adsorbents or absorbents such as activated carbon, molecular sieves, ion exchange media, or the like.
- the reagents can be acids in the case of a basic material, bases in the case of an acidic material, binding reagents such as antibodies, binding proteins, selective chelators such as crown ethers, liquid/liquid ion extraction reagents (LIX), or the like. Selection of appropriate methods of separation depends on the nature of the materials involved, for example, boiling point, and molecular weight in distillation and sublimation, presence or absence of polar functional groups in chromatography, stability of materials in acidic and basic media in multiphase extraction, and the like. One skilled in the art will apply techniques most likely to achieve the desired separation.
- Acetoxyethyloxymethylchloride 1 A 5 L three-neck flask was fitted with mechanical stirrer, thermometer, 500 mL additional funnel and argon purged. 1,3-Dioxalane (140 mL, 2.00 mol) in anhydrous Et 2 0 (800 mL) and 1.0 M ZnCl 2 /Et2 ⁇ (7.5 mL, 0.007 mol) were added. A solution of acetyl chloride (157 mL, 2.20 mol) in EteO (200 mL) was added dropwise through an additional funnel over 20 min. A cold water bath was used to maintain temperature between 19 - 27°C throughout.
- Example 2 Diisopropyl Phosphonate 2: A 500 mL three-neck flask was charged with the crude chloromethylether 1 (317 g, 2.00 mol). Triisopropylphosphite (494 mL) was added dropwise through an additional funnel while heating in a 125°C oil bath and stirring vigorously. Collect 2-chloropropane distillate via short-path head in a dry ice cooled receiver, argon blanket, collected 140 g distillate (theoretical 157 g). Phosphite blanched reaction to yellow, continue heating another 2 h at 125°C oil bath, then arrange for vacuum distillation using a vacuum pump.
- Example 3 Alcohol 3 A solution of 2 (125 g, 0.443 mol) in absolute MeOH (440 mL) was treated with concentrated HCI (11.2 mL, 0.112 mol) and heated to reflux for 6 h under Argon. Strip MeOH on rotavap (water aspirator) to 55°C leaving 115 g of a clear oil which was co-evaporated with toluene (2 x 200 mL). The crude product was dried under vacuum to give an oil (102 g, 96%).
- Diisopropyl Phosphonate 4 A solution of triphenylphosphine (25.57 g, 97.5 mmol) and alcohol 3 (18 g, 75 mmol) in DMF (120 mL) was treated with 6- chloropurine (12.72 g, 75 mmoL) and cooled to -15°C. A solution of diisopropyl azodicarboxylate (16.68 g, 82.5 mmol) in DMF (50 mL) was added dropwise through an additional funnel over 80 min. The reaction mixture was kept at -15°C for 2 h and then warmed to room temperature and stirred for an additional 2 h. A cloudy reaction mixture turned to be a bright yellow solution.
- Example 5 Diisopropyl Phosphonate 5: A mixture of 4 (11.00 g, 28.08 mmol) and cyclopropylamine (4.86 g, 85.16 mmol) in CHsCN (80 mL) was placed in a reaction bomb and heated to 100°C for 4 h. The reaction mixture was cooled to room temperature and concentrated under reduced pressure. The product was partitioned between 15% MeOH/CFLCh (3 x) and brine, dried with Na 2 S0 , filtered, and concentrated.
- Example 6 cPrPMEDAP 6: A solution of 5 (11.00 g, 26.67 mmol) in anhydrous CHsCN (120 mL) was treated with bromotrimethylsilane (21.1 mL, 160.02 mmol ). The reaction was protected from light by wrapping the flask with aluminum foil. The reaction mixture was stirred at room temperature overnight. The volatiles were evaporated under reduced pressure. The residue was dissolved in H2O (250 mL) and pH was adjusted to 9 with ammonium hydroxide. The reaction mixture was concentrated and a yellow solid was obtained. The solid was dissolved in H.O (30 mL) and pH was adjusted to 2 with 10% HCI. Fine solid was collected and dried under vacuum to give 6 (7.88 g, 90%) as a white solid.
- Example 7 Monophosphonic Acid Hydrochloride 7: A mixture of acid 6 (3.00 g, 9.15 mmol) and DMF (0.1 mL) in sulfolane (9.2 mL) was heated to 70°C. Thionylchloride (1.66 mL, 22.76 mmol) was added dropwise over a period of 1 h. The temperature was increased to 90°C and TMSOPh (1.74 mL, 9.61 mmol) was added and stirred for 1 h. The reaction mixture was cooled to room temperature overnight. The reaction mixture was added dropwise to well-stirred, ice-cold acetone (100 mL). The product was precipitated out. The solid was filtered under Ar, washed with cold acetone (100 mL), dried under vacuum to give the monophosphonic acid hydrochloride (3.70 g, 92%) as a solid.
- Monophosphonamidate 8 A mixture of monophosphonic acid 7 (0.22 g, 0.50 mmol), L-alanine methyl ester hydrochloride (0.14 g, 1.00 mmol), and triethylamine (0.21 mL, 1.50 mmol) in pyridine (3 mL) was heated to 60°C for 5 min. A freshly prepared bright yellow solution of aldrithiol (0.39 g, 1.75 mmol) and triphenylphosphine (0.46 g, 1.75 mmol) in pyridine (2 mL) was added to the above reaction mixture. The reaction was stirred at 60°C overnight, cooled to room temperature, and concentrated. The product was partitioned between EtOAc and saturated NaHC0 3 .
- Monophosphonamidate 9 A mixture of monophosphonic acid 7 (0.88 g, 2.00 mmol), D-alanine methyl ester hydrochloride (0.84 g, 6.00 mmol), and triethylamine (0.84 mL, 6.00 mmol) in pyridine (8 mL) was heated to 60°C for 5 min. A freshly prepared bright yellow solution of aldrithiol (1.56 g, 7.00 mmol) and triphenylphosphine (1.84 g, 7.00 mmol) in pyridine (8 mL) was added to the above reaction mixture. The reaction was stirred at 60°C overnight, cooled to room temperature, and concentrated. The product was partitioned between EtOAc and saturated NaHC ⁇ 3.
- Monophosphonamidate 10 A mixture of monophosphonic acid 7 (0.88 g, 2.00 mmol), L-alanine teri-butyl ester hydrochloride (1.31 g, 6.00 mmol), and triethylamine (0.84 mL, 6.00 mmol) in pyridine (8 mL) was heated to 60°C for 5 min. A freshly prepared bright yellow solution of aldrithiol (1.54 g, 7.00 mmol) and triphenylphosphine (1.84 g, 7.00 mmol) in pyridine (8 mL) was added to the above reaction mixture. The reaction was stirred at 60°C overnight, cooled to room temperature, and concentrated.
- the product was partitioned between EtOAc and saturated NaHC0 3 .
- the organic phase was washed with brine, dried with Na 2 S ⁇ 4, filtered, and evaporated under reduced pressure.
- the crude product was purified by column chromatography on silica gel (7% MeOH/CH 2 Ch) to give the monophosphonamidate (0.38 g, 36%, 1:1 diastereomeric mixture) as a light orange foam.
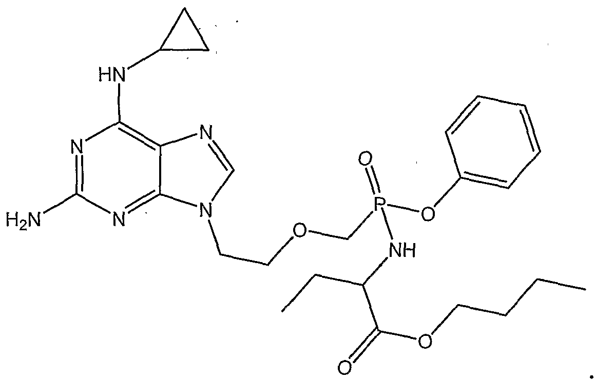
- Monophosphonamidate 11 A mixture of phosphonic acid 6 (0.10 g, 0.30 mmol), L-alanine ethyl ester hydrochloride (94 mg, 0.60 mmol), phenol (0.14 g, 1.52 mmol) and triethylamine (0.51 mL, 3.60 mmol) in pyridine (1.0 mL) was heated to 60°C for 5 min. A freshly prepared bright yellow solution of aldrithiol (0.47 g, 2.13 mmol) and triphenylphosphine (0.56 g, 2.13 mmol) in pyridine (1.0 mL) was added to the above reaction mixture. The reaction was stirred at 60°C overnight, cooled to room temperature, and concentrated.
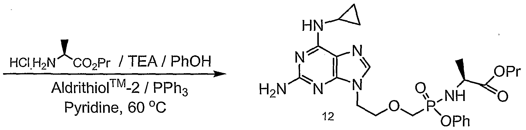
- Example 12 Monophosphonamidate 12: A mixture of phosphonic acid 6 (1.50 g, 4.56 mmol), L-alanine tz ⁇ propyl ester hydrochloride (1.59 g, 9.49 mmol), phenol (2.25 g, 22.80 mmol) and triethylamine (10.50 mL, 54.72 mmol) in pyridine (8.0 mL) was heated to 60°C for 5 min. A freshly prepared bright yellow solution of aldrithiol (6.54 g, 31.92 mmol) and triphenylphosphine (7.32 g, 31.92 mmol) in pyridine (8.0 mL) was added to the above reaction mixture.
- Example 13 Monophosphonamidate 13: A mixture of phosphonic acid 6 (0.10 g, 0.30 mmol), L-alanine isopropyl ester hydrochloride (0.10 g, 0.60 mmol), phenol (0.14 g, 1.52 mmol) and triethylamine (0.51 mL, 3.60 mmol) in pyridine (1.0 mL) was heated to 60°C for 5 min. A freshly prepared bright yellow solution of aldrithiol (0.47 g, 2.13 mmol) and triphenylphosphine (0.56 g, 2.13 mmol) in pyridine (1.0 mL) was added to the above reaction mixture.
- the reaction was stirred at 60°C overnight, cooled to room temperature, and concentrated.
- the product was partitioned between EtOAc and saturated NaHC0 3 .
- the organic phase was washed with brine, dried with Na_S ⁇ 4, filtered, and evaporated under reduced pressure.
- Monophosphonamidate 14 A mixture of phosphonic acid 6 (0.10 g, 0.30 mmol), L-alanine n-butyl ester hydrochloride (0.11 g, 0.60 mmol), phenol (0.14 g, 1.52 mmol) and triethylamine (0.51 mL, 3.60 mmol) in pyridine (1.0 mL) was heated to 60°C for 5 min. A freshly prepared bright yellow solution of aldrithiol (0.47 g, 2.13 mmol) and triphenylphosphine (0.56 g, 2.13 mmol) in pyridine (1.0 mL) was added to the above reaction mixture.
- Monophosphonamidate 15 A mixture of phosphonic acid 6 (0.10 g, 0.30 mmol), L-alanine w-hexyl ester hydrochloride (0.13 g, 0.60 mmol), phenol (0.14 g, 1.52 mmol) and triethylamine (0.51 mL, 3.60 mmol) in pyridine (1.0 mL) was heated to 60°C for 5 min. A freshly prepared bright yellow solution of aldrithiol (0.47 g, 2.13 mmol) and triphenylphosphine (0.56 g, 2.13 mmol) in pyridine (1.0 mL) was added to the above reaction mixture.
- Example 16 Monophosphonamidate 16: A mixture of phosphonic acid 6 (0.10 g, 0.30 mmol), L-alanine ? ⁇ -octanyl ester hydrochloride (0.15 g, 0.60 mmol), phenol (0.14 g, 1.52 mmol) and triethylamine (0.51 mL, 3.60 mmol) in pyridine (1.0 mL) was heated to 60°C for 5 min. A freshly prepared bright yellow solution of aldrithiol (0.47 g, 2.13 mmol) and triphenylphosphine (0.56 g, 2.13 mmol) in pyridine (1.0 mL) was added to the above reaction mixture.
- Monophosphonamidate 17 A mixture of phosphonic acid 6 (70 mg, 0.21 mmol),
- Monophosphonamidate 18 A mixture of phosphonic acid 6 (1.00 g, 3.05 mmol), L-2-aminobutyric acid n-butyl ester hydrochloride (1.19 g, 6.09 mmol), phenol (1.43 g, 15.23 mmol) and triethylamine (5.10 mL, 36.60 mmol) in pyridine (5.0 mL) was heated to 60°C for 5 min. A freshly prepared bright yellow solution of aldrithiol (4.70 g, 21.32 mmol) and triphenylphosphine (5.59 g, 21.32 mmol) in pyridine (5.0 mL) was added to the above reaction mixture.
- Monophosphonamidate 19 A mixture of phosphonic acid 6 (0.10 g, 0.30 mmol), L-2-aminobutyric acid n-octanyl ester hydrochloride (0.15 g, 0.60 mmol), phenol (0.14 g, 1.52 mmol) and triethylamine (0.51 mL, 3.60 mmol) in pyridine (1.0 mL) was heated to 60°C for 5 min. A freshly prepared bright yellow solution of aldrithiol (0.47 g, 2.13 mmol) and triphenylphosphine (0.56 g, 2.13 mmol) in pyridine (1.0 mL) was added to the above reaction mixture.
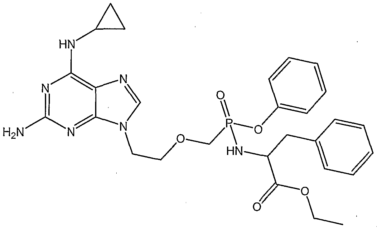
- Monophosphonamidate 20 A mixture of phosphonic acid 6 (1.5 g, 4.57 mmol), L- phenylalanine ethyl ester hydrochloride (2.10 g, 9.14 mmol), phenol (2.15 g, 22.85 mmol) and triethylamine (7.64 mL, 54.84 mmol) in pyridine (8.0 mL) was heated to 60°C for 5 min. A freshly prepared bright yellow solution of aldrithiol (7.05 g, 31.99 mmol) and triphenylphpsphine (8.39 g, 31.99 mmol) in pyridine (7.0 mL) was added to the above reaction mixture.
- the reaction was stirred at 60°C overnight, cooled to room temperature, and concentrated.
- the product was partitioned between EtOAc and saturated NaHCOs.
- the organic phase was washed with brine, dried with Na.S ⁇ 4, filtered, and evaporated under reduced pressure.
- the crude product was purified by column chromatography on silica gel (5% MeOH/CH-Ck) to give a pale yellow solid 1.32 g containing about 10% impurity.
- the yellow solid (1.32 g, 2.28 mmol) was dissolved in iPrOH (10 mL) . and transferred to a hot iPrOH (30 mL) solution of fumaric acid (0.27 g, 2.28 mmol) and stirred at 80°C for 30 min.
- the reaction mixture was gradually cooled to room temperature and the fumarate salt was collected at 0°C.
- the resulting fumarate salt was neutralized by partition from NaHC ⁇ 3 (2 x) and EtOAc.
- the organic phase was washed with brine, H2O, dried with Na2S ⁇ 4, filtered, and concentrated.
- Example 21 Monophosphonamidate 21: A mixture of phosphonic acid 6 (70 mg, 0.21 mmol), L-phenylalanine n-butyl ester hydrochloride (0.11 g, 0.42 mmol), phenol (0.10 g, 1.05 mmol) and triethylamine (0.36 mL, 2.52 mmol) in pyridine (1.0 mL) was heated to 60°C for 5 min. A freshly prepared bright yellow solution of aldrithiol (0.33 g, 1.47 mmol) and triphenylphosphine (0.39 g, 1.47 mmol) in pyridine (1.0 mL) was added to the above reaction mixture.
- Monophosphonamidate 22 A mixture of phosphonic acid 6 (70 mg, 0.21 mmol),
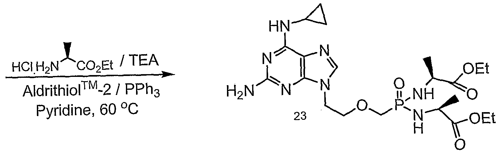
- Bisphosphonamidate 23 A mixture of phosphonic acid 6 (0.10 g, 0.30 mmol), L- alanine ethyl ester hydrochloride (0.28 g, 1.80 mmol), and triethylamine (0.51 mL, 3.60 mmol) in pyridine (1.0 mL) was heated to 60°C for 5 min. A freshly prepared bright yellow solution of aldrithiol (0.47 g, 2.10 mmol) and triphenylphosphine (0.56 g, 2.10 mmol) in pyridine (1.0 mL) was added to the above reaction mixture. The reaction was stirred at 60°C overnight, cooled to room temperature, and concentrated.
- Example 24 Bisphosphonamidate 24: A mixture of phosphonic acid 6 (1.00 g, 3.05 mmol), L- alanine n-propyl ester hydrochloride (3.06 g, 18.30 mmol), and triethylamine (5.10 mL, 36.50 mmol) in pyridine (5.0 mL) was heated to 60°C for 5 min. A freshly prepared bright yellow solution of aldrithiol (4.70 g, 21.32 mmol) and triphenylphosphine (5.59 g, 21.32 mmol) in pyridine (5.0 mL) was added to the above reaction mixture. The reaction was stirred at 60°C overnight, cooled to room temperature, and concentrated.
- Bisphosphonamidate 25 A mixture of phosphonic acid 6 (0.60 g, 1.83 mmol), L- alanine isopropyl ester hydrochloride (1.84 g, 10.98 mmol), and triethylamine (3.06 mL, 21.96 mmol) in pyridine (3.0 mL) was heated to 60°C for 5 min. A freshly prepared bright yellow solution of aldrithiol (2.82 g, 12.80 mmol) and triphenylphosphine (3.36 g, 12.80 mmol) in pyridine (3.0 mL) was added to the above reaction mixture. The reaction was stirred at 60°C overnight, cooled to room temperature, and concentrated.
- Example 26 Bisphosphonamidate 26: A mixture of phosphonic acid 6 (0.10 g, 0.30 mmol), L- alanine n-butyl ester hydrochloride (0.33 g, 1.82 mmol), and triethylamine (0.51 mL, 3.60 mmol) in pyridine (1.0 mL) was heated to 60°C for 5 min. A freshly prepared bright yellow solution of aldrithiol (0.47 g, 2.10 mmol) and triphenylphosphine (0.56 g, 2.10 mmol) in pyridine (1.0 mL) was added to the above reaction mixture. The reaction was stirred at 60°C overnight, cooled to room temperature, and concentrated.
- Bisphosphonamidate 27 A mixture of phosphonic acid 6 (0.10 g, 0.30 mmol), L- alanine n-hexyl ester hydrochloride (0.38 g, 1.80 mmol), and triethylamine (0.51 mL, 3.60 mmol) in pyridine (1.0 L) was heated to 60°C for 5 min. A freshly prepared bright yellow solution of aldrithiol (0.47 g, 2.10 mmol) and triphenylphosphine (0.56 g, 2.10 mmol) in pyridine (1.0 mL) was added to the above reaction mixture. The reaction was stirred at 60°C overnight, cooled tp room temperature, and concentrated.
- Example 28 Bisphosphonamidate 28: A mixture of phosphonic acid 6 (0.10 g, 0.30 mmol), L- alanine n-octanyl ester hydrochloride (0.43 g, 1.80 mmol), and triethylamine (0.51 mL, 3.60 mmol) in pyridine (1.0 mL) was heated to 60°C for 5 min. A freshly prepared bright yellow solution of aldrithiol (0.47 g, 2.10 mmol) and triphenylphosphine (0.56 g, 2.10 mmol) in pyridine (1.0 mL) was added to the above reaction mixture. The reaction was stirred at 60°C overnight, cooled to room temperature, and concentrated.
- Bisphosphonamidate 29 A mixture of phosphonic acid 6 (0.70 g, 2.13 mmol), L-2- aminobutyric acid ethyl ester hydrochloride (2.15 g, 12.80 mmol), and triethylamine (3.57 mL, 25.56 mmol) in pyridine (3.0 mL) was heated to 60°C for 5 min. A freshly prepared bright yellow solution of aldrithiol (3.29 g, 14.91 mmol) and triphenylphosphine (3.92 g, 14.91 mmol) in pyridine (3.0 mL) was added to the above reaction mixture. The reaction was stirred at 60°C overnight, cooled to room temperature, and concentrated.
- Bisphosphonamidate 30 A mixture of phosphonic acid 6 (0.70 g, 21.32 mmol),.L-
- Bisphosphonamidate 31 A mixture of phosphonic acid 6 (0.10 g, 0.30 mmol), L-2- aminobutyric acid n-octanyl ester hydrochloride (0.33 g, 1.82 mmol), and triethylamine (0.51 mL, 3.60 mmol) in pyridine (1.0 mL) was heated to 60°C for 5 min. A freshly prepared bright yellow solution of aldrithiol (0.47 g, 2.10 mmol) and triphenylphosphine (0.56 g, 2.10 mmol) in pyridine (1.0 mL) was added to the above reaction mixture. The reaction was stirred at 60°C overnight, cooled to room temperature, and concentrated.
- Bisphosphonamidate 32 A mixture of phosphonic acid 6 (0.60 g, 1.82 mmol), L- phenylalanine ethyl ester hydrochloride (2.51 g, 10.96 mmol), and triethylamine (3.06 mL, 21.84 mmol) in pyridine (3.0 mL) was heated to 60°C for 5 min. A freshly prepared bright yellow solution of aldrithiol (2.82 g, 12.74 mmol) and triphenylphosphine (3.36 g, 12.74 mmol) in pyridine (3.0 mL) was added to the above reaction mixture. The reaction was stirred at 60°C overnight, cooled to room temperature, and concentrated.
- Bisphosphonamidate 33 A mixture of phosphonic acid 6 (70 mg, 0.21 mmol), L- phenylalanine n-butyl ester hydrochloride (0.33 g, 1.26 mmol), and triethylamine (0.36 mL, 2.52 mmol) in pyridine (1.0 mL) was heated to 60°C for 5 min. A freshly prepared bright yellow solution of aldrithiol (0.33 g, 1.47 mmol) and triphenylphosphine (0.39 g, 1.47 mmol) in pyridine (1.0 mL) was added to the above reaction mixture. The reaction was stirred at 60°C overnight, cooled to room temperature, and concentrated.
- Example 34 Bisphosphonamidate 34: A mixture of phosphonic acid 6 (70 mg, 0.21 mmol), L- phenylalanine isobutyl ester hydrochloride (0.33 g, 1.26 mmol), and triethylamine (0.36 mL, 2.52 mmol) in pyridine (1.0 mL) was heated to 60°C for 5 min. A freshly prepared bright yellow solution of aldrithiol (0.33 g, 1.47 mmol) and triphenylphosphine (0.39 g, 1.47 mmol) in pyridine (1.0 mL) was added to the above reaction mixture. The reaction was stirred at 60°C overnight, cooled to room temperature, and concentrated. The product was partitioned between EtOAc and saturated NaHCOs. The organic phase was washed with brine, dried with Na 2 S ⁇ 4, filtered, and evaporated under reduced pressure. The crude product was purified by column chromatography on silica gel (10%
- BisPOC of cPrPMEDAP 35 A mixture of phosphonic acid 6 (0.20 g, 0.61 mmol) and triethylamine (0.42 mL, 3.01 mmol) in l-methyl-2-pyrrolidinone (2.0 mL) was heated to 60°C for 30 min. POCCl (0.45 g, 2.92 mmol) was added. The reaction mixture was stirred at 60°C for 3 h, cooled to room temperature, and concentrated. The product was partitioned between EtOAc and saturated NaHCO ⁇ . The organic phase was washed with brine, dried with Na 2 S0 4 , filtered, and evaporated under reduced pressure.
- Bisphosphonamidate 37 A mixture of phosphonic acid 36 (0.32 g, 1.00 mmol), L- alanine butyl ester hydrochloride (0.47 g, 2.60 mmol), and triethylamine (0.27 g, 2.60 mmol) in pyridine (5.0 mL) was heated to 60°C for 5 min. A freshly prepared bright yellow solution of aldrithiol (0.77 g, 3.50 mmol) and triphenylphosphine (0.92 g, 3.50 mmol) in pyridine (2.0 mL) was added to the above reaction mixture. The reaction was stirred at 60°C overnight, cooled to room temperature, and concentrated. The product was partitioned between EtOAc and saturated
- Monophosphonic Acid 38 A mixture of diacid 36 (1.30 g, 4.10 mmol) and DMF (0.1 mL) in sulfolane (35 mL) was heated to 70°C. Thionylchloride (0.54 mL, 7.38 mmol) was added dropwise over a period of 1 h. The temperature was increased to 90°C and TMSOPh (0.75 g, 4.51 mmol) was added and stirred for 1 h. The reaction mixture was cooled to room temperature overnight. The reaction mixture was added dropwise to well-stirred, ice-cold acetone (100 mL). The product was precipitated out.
- Monophosphonamidate 39 A mixture of monophosphonic acid 38 (0.20 g, 0.50 mmol), L-alanine isopropyl ester hydrochloride (0.17 g, 1.00 mmol) and triethylamine (0.10 g, 1.00 mmol) in pyridine (2.0 mL) was heated to 60°C for 5 min. A freshly prepared bright yellow solution of aldrithiol (0.39 g, 1.75 mmol) and triphenylphosphine (0.46 g, 1.75 mmol) in pyridine (2.0 mL) was added to the above reaction mixture. The reaction was stirred at 60°C overnight, cooled to room temperature, and concentrated.
- the product was partitioned between EtOAc and saturated NaHC0 3 .
- the organic phase was washed with brine, dried with Na2S0 4 , filtered, and evaporated under reduced pressure.
- the crude product was purified by column chromatography on silica gel (7% MeOH/CH-CL) to give the monophosphonamidate (0.14 g, 54%, 1:1 diastereomeric mixture) as a pale yellow foam.
- Example 39 refers to Scheme 11 Example 39
- Bisphosphonamidate 41 A mixture of phosphonic acid 40 (0.36 g, 1.00 mmol), L- alanine n-butyl ester hydrochloride (0.47 g, 2.60 mmol), and triethylamine (0.27 g, 2.60 mmol) in pyridine (5.0 mL) was heated to 60°C for 5 min. A freshly prepared bright yellow solution of aldrithiol (0.77 g, 3.50 mmol) and triphenylphosphine (0.92 g, 3.50 mmol) in pyridine (2.0 mL) was added to the above reaction mixture. The reaction was stirred at 60°C overnight, cooled to room temperature, and concentrated.
- Bisphosphonamidate 43 A mixture of phosphonic acid 42 (0.37 g, 1.00 mmol), L- alanine n-butyl ester hydrochloride (0.47 g, 2.60 mmol), and triethylamine (0.27 g, 2.60 mmol) in pyridine (5.0 mL) was heated to 60°C for 5 min. A freshly prepared bright yellow solution of aldrithiol (0.77 g, 3.50 mmol) and triphenylphosphine (0.92 g, 3.50 mmol) in pyridine (2.0 mL) was added to the above reaction mixture. The reaction was stirred at 60°C overnight, cooled to room temperature, and concentrated.
- Bisphosphonamidate 45 A mixture of phosphonic acid 44 (0.55 g, 2.00 mmol), L- alanine butyl ester hydrochloride (0.94 g, 5.20 mmol), and triethylamine (0.54 g, 5.20 mmol) in pyridine (5.0 mL) was heated to 60°C for 5 min. A freshly prepared bright yellow solution of aldrithiol (1.54 g, 7.00 mmol) and triphenylphosphine (1.84 g, 7.00 mmol) in pyridine (5.0 mL) was added to the above reaction mixture. The reaction was stirred at 60°C overnight, cooled to room temperature, and concentrated.
- Example 42 Monophosphonic Acid 46: A mixture of diacid 44 (10.00 g, 36.30 mmol) and DMF (0.2 mL) in sulfolane (50 mL) was heated to 70°C. Thionylchloride (4.72 mL, 64.70 mmol) was added dropwise over a period of 1 h. The temperature was increased to 90°C and TMSOPh (6.65 g, 40.00 mmol) was added and stirred for 1 h. The reaction mixture was cooled to room temperature overnight. The reaction mixture was added dropwise to well-stirred, ice-cold acetone (100 mL). The product was precipitated out. The solid was filtered and dissolved in MeOH (40 mL) and pH was adjusted to 3 with 45% KOH. Solid was collected by filtration and dried under vacuum to give the monophosphonic acid (12.40 g, 97%) as a solid.
- Monophosphonamidate 47 A mixture of monophosphonic acid 46 (1.00 g, 2.86 mmol), L-alanine methyl ester hydrochloride (0.80 g, 5.73 mmol) and triethylamine (0.58 g, 5.73 mmol) in pyridine (5.0 mL) was heated to 60°C for 5 min. A freshly prepared bright yellow solution of aldrithiol (2.21 g, 10.00 mmol) and triphenylphosphine (2.63 g, 10.00 mmol) in pyridine (5.0 mL) was added to the above reaction mixture. The reaction was stirred at 60°C overnight, cooled to room temperature, and concentrated. The product was partitioned between EtOAc and saturated NaHCOs.
- Monophosphonamidate 48 A mixture of monophosphonic acid 46 (0.35 g, 1.00 mmol), L-alanine isopropyl ester hydrochloride (0.34 g, 2.00 mmol) and triethylamine (0.20 g, 2.00 mmol) in pyridine (2.0 mL) was heated to 60°C for 5 min. A freshly prepared bright yellow solution of aldrithiol (0.77 g, 3.50 mmol) and triphenylphosphine (0.92 g, 3.50 mmol) in pyridine (2.0 mL) was added to the above reaction mixture. The reaction was stirred at 60°C overnight, cooled to room temperature, and concentrated. The product was partitioned between
- Example 46 Monophosphonamidate 51: A mixture of phosphonic acid 50 (0.13 g , 0.34 mmol), L-alanine isopropyl ester hydrochloride (0.11 g, 0.68 mmol), phenol (0.16 g, 1.69 mmol) and triethylamine (0.28 mL, 2.03 mmol) in pyridine (2.0 mL) was heated to 60°C for 5 min. A freshly prepared bright yellow solution of aldrithiol (0.52 g, 2.37 mmol) and triphenylphosphine (0.62 g, 2.37 mmol) in pyridine (2.0 mL) was added to the above reaction mixture.
- Example 47 Monophosphonamidate 52: A mixture of monophosphonamidate 51 (50 mg, 0.09 mmol) and Pd(OH)2/C (50 mg) in iPrOH (3 mL) was stirred at room temperature under 1 atm of H2 (balloon) overnight. The reaction mixture was filtered through a plug of celite and the solvent was removed on rotavap under reduced pressure. The crude product was purified by column chromatography on silica gel (5-15% MeOH/CHCk) to give the monophosphonamidate (40 mg, 95%, 1:1 diastereomeric mixture) as an off-white foam.
- Bisphosphonamidate 54 A mixture of phosphonic acid 53 (0.10 g, 0.35 mmol), L- alanine butyl ester hydrochloride (0.38 g, 2.10 mmol), and triethylamine (0.58 mL, 4.20 mmol) in pyridine (1.0 mL) was heated to 60°C for 5 min. A freshly prepared bright yellow solution of aldrithiol (0.53 g, 2.45 mmol) and triphenylphosphine (0.64 g, 2.45 mmol) in pyridine (1.0 mL) was added to the above reaction mixture. The reaction was stirred at 60°C overnight, cooled to room temperature, and concentrated.
- Diisopropyl Phosphonate 55 A mixture of 4 (3.00 g, 7.66 mmol) and 10% Pd/C (0.60 g) in MeOH (30 mL) was stirred at room temperature under 1 atm of H2 (balloon) overnight. The reaction mixture was filtered through a plug of celite and the solvent was removed on rotavap.
- Phosphonic Acid 56 Diisopropyl phosphonate 55 (0.10 g, 0.28 mmol) was dissolved in CH3CN (1.5 mL) and cooled to 0°C. Bromotrimethylsilane (0.18 mL, 1.40 mmol) was added. The reaction mixture was stirred at 0°C for 2 h and warmed to room temperature overnight. DMF (0.5 mL) was added to form a solution and stirred for 2 h. MeOH was added and stirred for 2 h. Nolatiles were evaporated under reduced pressure. The remaining DMF solution was added slowly to ice-cold CH3C ⁇ and the product precipitated out. The solid was collected and dried under vacuum to give the phosphonic acid (74 mg, 95%) as a white solid.
- Example 51 Bisphosphonamidate 57: A mixture of phosphonic acid 56 (23 mg, 0.08 mmol), L- alanine n-butyl ester hydrochloride (91 mg, 0.50 mmol), and triethylamine (0.14 mL, 0.96 mmol) in pyridine (0.5 mL) was heated to 60°C for 5 min. A freshly prepared bright yellow solution of aldrithiol (0.11 g, 0.56 mmol) and triphenylphosphine (0.12 g, 0.56 mmol) in pyridine (0.5 mL) was added to the above reaction mixture. The reaction was stirred at 60°C overnight, cooled to room temperature, and concentrated.
- Monophosphonamidate 58 A mixture of phosphonic acid 56 (20 mg, 0.07 mmol), L-phenylalanine ethyl ester hydrochloride (33 mg, 0.14 mmol), phenol (33 mg, 0.35 mmol) and triethylamine (0.12 mL, 0.84 mmol) in pyridine (0.5 mL) was heated to 60°C for 5 min. A freshly prepared bright yellow solution of aldrithiol (0.11 g, 0.56 mmol) and triphenylphosphine (0.12 g, 0.56 mmol) in pyridine (0.5 mL) was added to the above reaction mixture. The reaction was stirred at 60°C overnight, cooled to room temperature, and concentrated.
- Example 53 Diisopropyl Phosphonate 59: A mixture of compound 4 (1.00 g, 2.56 mmol) and allylamine (3 mL) in CH3CN (3.0 mL) was placed in a scintillation vial and heated to 65 °C for 5 h. The reaction mixture was cooled to room temperature and concentrated under reduced pressure. The product was partitioned between EtOAc and brine, dried with Na2S ⁇ 4, filtered, and concentrated. The product was dissolved in minimal CH3CN and H2O was added and lyophilized to give the diisopropyl phosphonate (1.00 g, 95%).
- Phosphonic Acid 60 Diisopropyl phosphonate 59 (1.00 g, 2.43 mmol) was dissolved in CH3CN (1.5 mL) and cooled to 0°C. Bromotrimethylsilane (0.31 mL, 12.15 mmol) was added. The reaction mixture was stirred at 0°C for 2 h and warmed to room temperature overnight. DMF (0.5 mL) was added to form a solution and stirred for 2 h. MeOH was added and stirred for 2 h. Nolatiles were evaporated under reduced pressure. The remaining DMF solution was added slowly to ice-cold CH3C ⁇ and the product precipitated out. The solid was collected and dried under vacuum to give the phosphonic acid (0.48 g, 60%) as a white solid.
- Example 55 Diisopropyl phosphonate 59 (1.00 g, 2.43 mmol) was dissolved in CH3CN (1.5 mL) and cooled to 0°C. Bromotrimethylsilane
- Monophosphonamidate 61 and Bisphosphonamidate 62 A mixture of diacid 60 (0.40 g, 1.20 mmol), L-alanine isopropyl ester hydrochloride (0.49 g, 2.40 mmol), phenol (0.68 g, 7.20 mmol), and triethylamine (1.0 mL, 7.20 mmol) in pyridine (3.0 mL) was heated to 60°C for 5 min. A freshly prepared bright yellow solution of aldrithiol (1.84 g, 8.40 mmol) and triphenylphosphine (2.20 g, 8.40 mmol) in pyridine (3.0 mL) was added to the above reaction mixture.
- Bisphosphonamidate 63 A mixture of phosphonic acid 60 (0.33 g, 1.00 mmol), L- alanine butyl ester hydrochloride (0.47 g, 2.60 mmol), and triethylamine (0.27 g, 2.60 mmol) in pyridine (5.0 mL) was heated to 60°C for 5 min. A freshly prepared bright yellow solution of aldrithiol (0.77 g, 3.50 mmol) and triphenylphosphine (0.92 g, 3.50 mmol) in pyridine (2.0 mL) was added to the above reaction mixture. The reaction was stirred at 60°C overnight, cooled to room temperature, and concentrated.
- Example 57 relates to Scheme 17.
- Example 57 BisPOC of 6-allylPMEDAP 64 A mixture of phosphonic acid 60 (0.20 g, 0.61 mmol) and triethylamine (0.42 mL, 3.01 mmol) in l-methyl-2-pyrrolidinone (2.0 mL) was heated to 60 °C for 30 min. POCCl (0.45 g, 2.92 mmol) was added. The reaction mixture was stirred at 60 °C for 3 h, cooled to room temperature, and concentrated. The product was partitioned between EtOAc and saturated
- Examples 58 to 61 relate to Scheme 18.
- Example 58 Bisphosphoamidate 65 A mixture of phosphonic acid 60 (35 mg, 0.11 mmol), L- alanine ethyl ester hydrochloride (0.1 g, 0.65 mmol), and triethylamine (0.2 mL, 1.43 mmol) in pyridine (0.5 mL) was heated to 60 °C for 5 min. A freshly prepared bright yellow solution of aldrithiol (0.16 g, 0.74 mmol) and triphenylphosphine (0.20 g, 0.75 mmol) in pyridine (0.5 mL) was added to the above reaction mixture. The reaction was stirred at 60 °C overnight, cooled to room temperature, and concentrated.
- Bisphosphoamidate 66 A mixture of phosphonic acid 60 (0.10 g, 0.30 mmol), L- alanine cyclobutyl ester hydrochloride (0.33 g, 0.91 mmol), and triethylamine (0.50 mL, 3.59 mmol) in pyridine (2.0 mL) was heated to 60 °C for 5 min. A freshly prepared bright yellow solution of aldrithiol (0.47 g, 2.12 mmol) and triphenylphosphine (0.56 g, 2.14 mmol) in pyridine (1.0 mL) was added to the above reaction mixture. The reaction was stirred at 60 °C overnight, cooled to room temperature, and concentrated.
- Bisphosphoamidate 67 A mixture of phosphonic acid 60 (0.10 g, 0.30 mmol), L- alanine n-hexyl ester hydrochloride (0.25 g, 1.21 mmol), and triethylamine (0.7 mL, 5.02 mmol) in pyridine (2.0 mL) was heated to 60 °C for 5 min. A freshly prepared bright yellow solution of aldrithiol (0.47 g, 2.12 mmol) and triphenylphosphine (0.56 g, 2.14 mmol) in pyridine (1.0 mL) was added to the above reaction mixture. The reaction was stirred at 60 °C overnight, cooled to room temperature, and concentrated. The product was partitioned between
- Bisphosphoamidate 68 A mixture of phosphonic acid 60 (35 mg, 0.11 mmol), L-2- aminobutyric acid n-butyl ester hydrochloride (0.13 g, 0.64 mmol), and triethylamine (0.2 mL, 1.43 mmol) in pyridine (0.5 mL) was heated to 60 °C for 5 min. A freshly prepared bright yellow solution of aldrithiol (0.16 g, 0.74 mmol) and triphenylphosphine (0.20 g, 0.75 mmol) in pyridine (0.5 mL) was added to the above reaction mixture. The reaction was stirred at 60 °C overnight, cooled to room temperature, and concentrated.
- Bisphosphoamidate 69 A mixture of phosphonic acid 60 (35 mg, 0.11 mmol), L- phenylalanine ethyl ester hydrochloride (0.15 g, 0.65 mmol), and triethylamine (0.2 mL, 1.43 mmol) in pyridine (0.5 mL) was heated to 60 °C for 5 min. A freshly prepared bright yellow solution of aldrithiol (0.16 g, 0.74 mmol) and triphenylphosphine (0.20 g, 0.75 mmol) in pyridine (0.5 mL) was added to the above reaction mixture. The reaction was stirred at 60 °C overnight, cooled to room temperature, and concentrated.
- Bisphosphoamidate 70 A mixture of phosphonic acid 60 (35 mg, 0.11 mmol), L- phenylalanine n-butyl ester hydrochloride (0.15 g, 0.58 mmol), and triethylamine (0.2 mL, 1.43 mmol) in pyridine (0.5 mL) was heated to 60 °C for 5 min. A freshly prepared bright yellow solution of aldrithiol (0.16 g, 0.74 mmol) and triphenylphosphine (0.20 g, 0.75 mmol) in pyridine (0.5 mL) was added to the above reaction mixture. The reaction was stirred at 60 °C overnight, cooled to room temperature, and concentrated.
- Example 64 Bisphosphoamidate 71: A mixture of phosphonic acid 60 (0.10 g, 0.30 mmol), L- phenylalanine isobutyl ester hydrochloride (0.31 g, 1.20 mmol), and triethylamine (0.7 mL, 5.02 mmol) in pyridine (2.0 mL) was heated to 60 °C for 5 min. A freshly prepared bright yellow solution of aldrithiol (0.44 g, 2.00 mmol) and triphenylphosphine (0.53 g, 2.00 mmol) in pyridine (1.0 mL) was added to the above reaction mixture. The reaction was stirred at 60 °C overnight, cooled to room temperature, and concentrated.
- Monophosphoamidate 72 A mixture of phosphonic acid 60 (35 mg, 0.11 mmol), L-alanine ethyl ester hydrochloride (32 mg, 0.20 mmol), phenol (50 mg, 0.53 mmol) and triethylamine (0.2 mL, 1.43 mmol) in pyridine (0.5 mL) was heated to 60 °C for 5 min. A freshly prepared bright yellow solution of aldrithiol (0.16 g, 0.74 mmol) and triphenylphosphine (0.20 g, 0.75 mmol) in pyridine (0.5 mL) was added to the above reaction mixture. The reaction was stirred at 60 °C overnight, cooled to room temperature and concentrated.
- Example 66 Monophosphoamidate 73: A mixture of phosphonic acid 60 (35 mg, 0.11 mmol), L-alanine n-butyl ester hydrochloride (39 mg, 0.21 mmol), phenol (50 mg, 0.53 mmol) and triethylamine (0.2 mL, 1.43 mmol) in pyridine (0.5 mL) was heated to 60 °C for 5 min. A freshly prepared bright yellow solution of aldrithiol (0.16 g, 0.74 mmol) and triphenylphosphine (0.20 g, 0.75 mmol) in pyridine (0.5 mL) was added to the above reaction mixture. The reaction was stirred at 60 °C overnight, cooled to room temperature, and concentrated.
- Monophosphoamidate 74 A mixture of phosphonic acid 60 (0.10 g, 0.30 mmol), L-alanine cyclobutyl ester hydrochloride (0.11 g, 0.61 mmol), phenol (0.13 g, 1.39 mmol) and triethylamine (0.5 mL, 3.59 mmol) in pyridine (2.0 mL) was heated to 60 °C for 5 min. A freshly prepared bright yellow solution of aldrithiol (0.47 g, 2.12 mmol) and triphenylphosphine (0.56 g, 2.14 mmol) in pyridine (1.0 mL) was added to the above reaction mixture.
- Monophosphoamidate 75 A mixture of phosphonic acid 60 (0.10 g, 0.30 mmol), L-alanine n-hexyl ester hydrochloride (0.13 g, 0.61 mmol), phenol (0.14 g, 1.52 mmol) and triethylamine (0.7 mL, 5.02 mmol) in pyridine (2.0 mL) was heated to 60 °C for 5 min. A freshly prepared bright yellow solution of aldrithiol (0.47 g, 2.12 mmol) and triphenylphosphine (0.56 g, 2.14 mmol) in pyridine (1.0 mL) was added to the above reaction mixture.
- Examples 69 to 72 relate to Scheme 21.
- Example 69 Monophosphoamidate 76 A mixture of phosphonic acid 60 (35 mg, 0.11 mmol), L-2-aminobutyric acid n-butyl ester hydrochloride (42 mg, 0.21 mmol), phenol (50 mg, 0.53 mmol) and triethylamine (0.2 mL, 1.43 mmol) in pyridine (0.5 mL) was heated to 60 °C for 5 min. A freshly prepared bright yellow solution of aldrithiol (0.16 g, 0.74 mmol) and triphenylphosphine (0.20 g, 0.75 mmol) in pyridine (0.5 mL) was added to the above reaction mixture.
- Monophosphoamidate 77 A mixture of phosphonic acid 60 (35 mg, 0.11 mmol),
- Monophosphoamidate 78 A mixture of phosphonic acid 60 (35 mg, 0.11 mmol), L-phenylalanine n-butyl ester hydrochloride (55 mg, 0.21 mmol), phenol (50 mg, 0.53 mmol) and triethylamine (0.2 mL, 1.43 mmol) in pyridine (0.5 mL) was heated to 60 °C for 5 min. A freshly prepared bright yellow solution of aldrithiol (0.16 g, 0.74 mmol) and triphenylphosphine (0.20 g, 0.75 mmol) in pyridine (0.5 mL) was added to the above reaction mixture. The reaction was stirred at 60 °C overnight, cooled to room temperature, and concentrated.
- Monophosphoamidate 79 A mixture of phosphonic acid 60 (0.10 g, 0.30 mmol), L-phenylalanine isobutyl ester hydrochloride (0.16 g, 0.61 mmol), phenol (0.14 g, 1.52 mmol) and triethylamine (0.7 mL, 5.02 mmol) in pyridine (2.0 mL) was heated to 60 °C for 5 min. A freshly prepared bright yellow solution of aldrithiol (0.47 g, 2.12 mmol) and triphenylphosphine (0.56 g, 2.14 mmol) in pyridine (1.0 mL) was added to the above reaction mixture.
- the reaction was stirred at 60 °C overnight, cooled to room temperature, and concentrated.
- the product was partitioned between EtOAc and saturated NaHC0 3 .
- the organic phase was washed with brine, dried with Na2S0 4 , filtered, and evaporated under reduced pressure.
- Monophosphoamidate 80 A mixture of monophosphonic acid 6 (0.10 g, 0.30 mmol), L-alanine cyclobutyl ester hydrochloride (0.11 g, 0.61 mmol), phenol (0.13 g, 1.4 mmol), and triethylamine (0.51 mL, 3.67 mmol) in pyridine (2 mL) was heated to 60 °C for 5 min. A freshly prepared bright yellow solution of aldrithiol (0.47 g, 2.12 mmol) and triphenylphosphine (0.56 g, 2.14 mmol) in pyridine (1.0 mL) was added to the above reaction mixture.
- Example 74 Bisphosphoamidate 81: A mixture of phosphonic acid 6 (60 mg, 0.18 mmol), L- alanine cyclobutyl ester hydrochloride (0.13 g, 0.72 mmol), and triethylamine (0.31 mL, 2.16 mmol) in pyridine (1.0 mL) was heated to 60 °C for 5 min. A freshly prepared bright yellow solution of aldrithiol (0.28 g, 1.26 mmol) and triphenylphosphine (0.34 g, 1.26 mmol) in pyridine (0.5 mL) was added to the above reaction mixture. The reaction was stirred at 60°C overnight, cooled to room temperature, and concentrated.
- Bisphosphoamidate 82 A mixture of phosphonic acid 6 (60 mg, 0.18 mmol), L- alanine cyclopentyl ester hydrochloride (0.13 g, 0.72 mmol), and triethylamine (0.31 mL, 2.16 mmol) in pyridine (1.0 mL) was heated to 60°C for 5 min. A freshly prepared bright yellow solution of aldrithiol (0.28 g, 1.26 mmol) and triphenylphosphine (0.34 g, 1.26 mmol) in pyridine (0.5 mL) was added to the above reaction mixture. The reaction was stirred at 60 °C overnight, cooled to room temperature, and concentrated.
- Example 76 Bisphosphoamidate 83: A mixture of phosphonic acid 6 (40 mg, 0.12 mmol), L- phenylalanine cyclobutyl ester hydrochloride (0.13 g, 0.48 mmol), and triethylamine (0.20 mL, 1.44 mmol) in pyridine (0.5 mL) was heated to 60 °C for 5 min. A freshly prepared bright yellow solution of aldrithiol (0.19 g, 0.85 mmol) and triphenylphosphine (0.22 g, 0.85 mmol) in pyridine (0.5 mL) was added to the above reaction mixture. The reaction was stirred at 60 °C overnight, cooled to room temperature, and concentrated.
- Examples 77 and 78 relate to Scheme 23.
- Diisopropyl Phosphonate 84 A mixture of 4 (5.0 g, 12.82 mmol) and trifluoroethylamine (6.35 g, 64.10 mmol) in CH3CN (40 mL) was placed in a reaction bomb and heated to 80 °C for 4 h. The reaction mixture was cooled to room temperature and concentrated under reduced pressure. The product was partitioned between 15% MeOH/CPkCk (3 x) and brine, dried with Na 2 S0 4 , filtered, and concentrated. The crude product was purified by chromatography on ISCO (2-propanol/CH_Ck) followed by Gilson HPLC purification (CH3CN/H2O) to give 84 (3.26 g, 56%) as a pale yellow foam.
- Bisphosphoamidate 85 A mixture of phosphonic acid 42 (0.11 g, 0.29 mmol), L- alanine cyclobutyl ester hydrochloride (0.31 g, 1.75 mmol), and triethylamine (0.52 mL, 3.67 mmol) in pyridine (2.0 mL) was heated to 60 °C for 5 min. A freshly prepared bright yellow solution of aldrithiol (0.47 g, 2.12 mmol) and triphenylphosphine (0.56 g, 2.12 mmol) in pyridine (1.0 mL) was added to the above reaction mixture. The reaction was stirred at 60 °C overnight, cooled to room temperature, and concentrated. The product was partitioned between
- Example 79 This example teaches assays used to demonstrate antiproliferation activity.
- Human cancer cell lines used in anti-proliferation assays included six cervical carcinoma cell lines with three types of HPN (HPV-16, HPV-18, HPV-39), one HPV negative cervical carcinoma cell line, and two keratinocyte-like carcinoma from tongue.
- Normal human cells tested included skin keratinocytes, cervical keratinocytes, and lung fibroblasts. Skin keratinocytes and cervical keratinocytes were obtained from Cambrex (East Rutherford, NJ) and all other cells were obtained from American Type Culture Collection (Manassas, VA). Table 79-1 summarizes characteristics of each cell type and culture conditions.
- Anti-proliferation assay procedure 1 Cell culture
- sigmoidal dose-response curve was generated and 50% effective concentration (ECso) was calculated using GraphPad Prism version 4.01 for Windows (GraphPad Software, San Diego California USA).
- Medium for culture maintenance Eagle MEM with Earle's BSS (Cambrex, East Rutherford, NJ), supplemented with 10% fetal bovine serum, 2 mM glutamine, 100 units/mL penicillin, and 100 ⁇ g/mL streptomycin.
- A2 Medium for antiproliferation assays: Eagle MEM with Earle's BSS, supplemented with 5% fetal bovine serum, 2 mM glutamine, 100 units/mL penicillin, and 100 ⁇ g/mL streptomycin.
- Bl Medium for culture maintenance: Keratinocyte-SFM (Invitrogen, Carlsbad, CA), supplemented with 0.01 mg/mL bovine pituitary extract, 0.001 ⁇ g/mL recombinant epidermal growth factor, 100 units/mL penicillin, and 100 ⁇ g/mL streptomycin.
- B2 Medium for antiproliferation assays: 4:1 mixture of Bl and A2.
- Results 1 Selective antiproliferation activity of the amidate prodrugs in HPV positive SiHa cells compared with normal fibroblasts. The goal was to discover a compound that inhibits growth of HPV- transf ormed lesion without affecting normal cells in epidermis and dermis (such as keratinocytes and fibroblasts).
- In vitro antiproliferation assays were setup using SiHa cells and HEL cells, which model HPV-transf ormed lesion and normal fibroblasts, respectively.
- SiHa cells are derived from squamous cell carcinoma in cervix caused by HPV-16 infection and HEL fibroblasts are derived from normal human embryonic lung (Table 79-1).
- DNA polymerase inhibitors (Cidofovir, Ara C, doxifluridine, and Aphidicolin) and other anticancer drugs with different mechanisms of action, including DNA topoisomarase inhibitors (Dacarbazine, Ellipticine), DNA alkylaters (Doxorubicin, Mitoxantrone, Bleomycin, Mechlorethanmine), and tublin inhibitors (Vincristine, Vinblastine, Etoposide, and Indanocine) were tested in SiHa and HEL cells (Table 79-2). Antiproliferation ECso of these compounds in SiHa cells varied, and some were equally or more potent than the seven amidate prodrugs.
- prodrugs preferentially inhibited proliferation of HPV-16 positive SiHa cells, compared with normal keratinocytes from skin and cervix.
- Antiproliferation assays measure effect of compounds on proliferation of . cultured cells. Active compounds in antiproliferation assays may be cytostatic (inhibit cell division) and/or cytocidal (kill cells). By performing antiproliferation assays using HPV positive carcinoma cells and normal cells, we identify compounds that selectively inhibit proliferation of HPV positive carcinoma cells compared with cells from normal human tissues. Table 80-1 summarizes characteristics of each cell type, including six cervical carcinoma cell lines transformed by HPV, normal human skin keratinocytes (PHK), and normal lung fibroblasts (HEL). Skin keratinocytes were obtained from Cambrex (East Rutherford, NJ). All other cells were obtained from American Type Culture Collection (Manassas, VA).
- Intensity of the color was quantified by measuring the absorbance at 510 nm wavelength, using spectrophotometer.
- GraphPad Prism version 4.00 for Windows GraphPad Software, San Diego California USA
- Apoptosis assay caspase 3 induction method
- caspase activity can be quantitatively detected using fluorescent substrate.
- Compounds that directly act on the apoptotic pathway may induce caspase in a relatively short incubation period ( ⁇ 24 hrs).
- Compounds that disturb other cell physiology, which eventually causes apoptosis may require longer incubation period (>48 hrs) for induction of caspase.
- 10,000 cells were plated in 96-well culture plates and incubated with 5-fold serial dilutions of compounds for 24, 48, and 72 hrs. Cells were lysed and activity of caspase in cell lysates were measured using fluorescent substrate, according to the manufacturer's instruction (Caspases assay kit, Roche, Indianapolis, IN).
- Apoptosis assay (Annexin V staining method) Translocation of phosphatidylserine from the inner of the cell membrane to the outside is one of the early / intermediate events associated with apoptosis or programmed cell death. Translocated phosphatidylserine can be detected by incubating cells with FITC-labelled Annexin V, which is a Ca++ dependent phospholipid-binding protein. When cells are stained with Annexin-FITC and propidium iodide (which stains dead cells), live cells are negative for both dyes, dead cells are positive for both, while apoptotic cells are positive only for Annexin-FITC. HPV-16 SiHa cells were cultured with three different concentrations of compounds for 3 or 7 days and simultaneously stained with Annexin-FITC and propidium iodide. Staining of each individual cell was examined by flow cytometry. Results
- ECso in HEL cells were higher than ECso in SiHa cells, indicating that the active compounds inhibited proli eration of SiHa cells more efficiently than HEL cells.
- Other nucleotide/nucleoside analogs such as PMEG (2-phosphonomethoxyethyl guanine), Ara-C (cytarabine, CAS# 147-94- 4), and gemcitabine (CAS# 95058-81-4) did not show such selectivity.
- Podofilox (CAS# 518-28-5), the active ingredient of the anti-wart drug Condylox, also showed no selectivity.
- Representative prodrug compounds of the present invention such as those listed in Table 80-3 show activities.
- prodrugs were more potent and in some cases, more selective than their respective parent compounds.
- the majority of phosphoamidate prodrugs were more active and selective than podofilox.
- Antiproliferation activity in other HPV+ cell lines Selected compounds were also tested in five additional cell lines derived from HPV-induced cervical carcinoma (see Example 79 and Table 80-4). Each compound showed different levels of activities in the six HPV+ cell lines, regardless the type of HPV present. In general, compounds were more potent in SiHa (HPV-16), C-4I (HPV-18), and MS751 (HPV-18) cells than in CaSki (HPV-16), HeLa (HPV-18), and ME-180 (HPV-39) cells.
- A1 Medium for culture maintenance: Eagle MEM with Earle's BSS (Cambrex, East Rutherford, NJ), supplemented with 10% fetal bovine serum, 2 mM glutamine, 100 units/mL penicillin, and 100 ⁇ g/mL streptomycin.
- A2 Medium for antiproliferation assays: Eagle MEM with Earle's BSS, supplemented with 5% fetal bovine serum, 2 mM glutamine, 100 units/mL penicillin, and 100 ⁇ g/mL streptomycin.
- B1 Medium for culture maintenance: Keratinocyte-SFM (Invitrogen, Carlsbad, CA), supplemented with 0.01 mg/mL bovine pituitary extract, 0.001 ⁇ g/mL recombinant epidermal growth factor, 100 units/mL penicillin, and 100 ⁇ g/mL streptomycin.
- B2 Medium for antiproliferation assays: 4:1 mixture of B1 and A2.
- R x is hydrogen
- R ⁇ X ⁇ 2 is one of the following substituents, except in the indicated instances ( * ), where R' X1 and R 2 together forms a N-heterocyclic ring methylamine 1-propylamine 1-butylamine dimethylamine methylethylamine 2-methylpropan-1 -amine allyl amine 2-propynyl amine 2-butylene amine 2-isobutylen amine cyclopropylamine cyclopropylmethanamine 1-cyclopropylethanamine dicyclopropylamine cyclobutylamine cyclopentanamine cyclohexaneamine cycloheptanamine cyclooctanamine diethanolamine 2-ethanolamine 2-propanol amine 1 -amino 2-propanol amine 2-methoxyethylamine 6-aminohexaneamine 3-aminopropylamine 2-dimethylaminoethylamine 6-hexanateamine benzylamine
- R X1 and R ⁇ are substituted as depicted in the formula, and Y 1A and Y 1B are substituted as indicated, ,1A ,1B OH OH O-iPr O-iPr Ala-Bu Ala-Bu OPh Phe-Et
- the vehicle, positive control articles, and'test articles were administered dermally once daily for seven days during the study.
- the test articles were administered at concentrations of 0.01, 0.03, and 0.1%.
- the positive control articles were administered at concentrations of 0.1% (PMEG) or 1% (Cidofovir®).
- the dose volume for all formulations was a fixed volume of lOO ⁇ L.
- test sites for each animal were shaved prior to the initial administration and as needed during the study. Two sites were clipped on the left dorsal side, and three were clipped on the right dorsal side. The outline of each dosing
- the vehicle and appropriate positive control and test article were administered to each animal within a dosing site of approximately 1 square inch. Vehicle was administered on the left rostral site (Dose Site 1), and the appropriate positive control article was administered to the left caudal site (Dose Site 2). The appropriate test article was administered as follows: 0.01% to the right rostral site (Dose Site 3), 0.03% to the right middle site (Dose Site 4), and 0.1% to the right caudal site (Dose Site 5). Collars were placed on the animals immediately following dosing for 1 to 2 hours.
- the sites were evaluated for erythema and edema prior to dosing on Day 1 and daily thereafter, approximately 24 hours following each dose and prior to the next dose.
- Each site was assigned an irritation score based upon the Draize scale for scoring skin irritation (Draize JH, Woodard G, Calvery HO, Methods for the study of irritation and toxicity of substances applied topically to the skin and mucous membranes. J Pharmacol Exp Ther 1944;82:377-90).
- Euthanasia was by intravenous anesthesia overdose with sodium pentobarbital- based euthanasia solution and exsanguinations by severing the femoral vessels.
- the animals were examined carefully for external abnormalities including masses.
- the skin was reflected from a ventral midline incision and any abnormalities were identified and correlated with ante-mortem findings.
- the abdominal, thoracic, and cranial cavities were examined for abnormalities and the organs removed, examined, and, where required, placed in neutral buffered formalin.
- the dosing sites, kidneys, and any gross lesions of each animal were collected and preserved. Microscopic examination of fixed hematoxylin and eosin-stained paraffin sections were performed for each dosing site for all animals.
- the slides were examined by a veterinary pathologist.
- a four-step grading system was utilized to define gradable lesions for comparison between dose groups.
- the two test articles did not produce notable clinical findings, dermal irritation, changes in body weight or macroscopic and microscopic observations at any dose concentrations.
- One of the positive controls was associated with clinical findings and slight to moderate macroscopic and microscopic observations.
- the test and control articles were administered dermally once per day for 7 consecutive days during the study.
- the dose levels for Compound B were 0.03, 0.1, and 0.3%.
- the dose levels for Compound H were 0.03, 0.1, and 0.3%.
- the dose level for PMEG positive control
- the dose level for cPrPMEDAP positive control
- the dose level for the vehicle control was 0.0% (this was dosed as both gel and ointment formulations).
- the dose volume for all sites was a constant lOO ⁇ L. Less than 24 hours prior to the first administration, the hair was clipped from the back of the animal. This clipped area comprised no less than 10% of the total body surface area. Care was taken to avoid abrading the skin.
- the test, positive control, and vehicle control articles were administered within a dosing site of approximately 1" x 1". Two dosing sites were placed along the left dorsal surface. The vehicle or positive control article was administered to the rostral site, and the low dose of the test article was administered to the caudal site. Two dosing sites were placed along the right dorsal surface. The mid-dose of the test article was administered to the rostral site, and the high dose of the test article was administered to the caudal site. Collars were placed on the animals for approximately two hours immediately following dosing. The duration of collaring was documented in the raw data.
- Observations for mortality, morbidity, and the availability of food and water were conducted twice daily for all animals.
- the test sites were evaluated for erythema and edema prior to the first administration and at approximately 24 hours following each administration (prior to the next scheduled dosing) and daily during the 7- day recovery period.
- Observations for clinical signs were conducted daily during the study at the same time as the dermal observations.
- Body weights were measured and recorded the day after receipt, prior to randomization, prior to test article administration on Day 1, and on Days 7 and 14, and at necropsy (Days 8 and 15). Body weights taken at receipt and prior to random are not reported, but maintained in the study file.
- Blood samples (4-6 mL) will be collected from 6 animals/group at termination and 3 animals/group at recovery from the jugular or other suitable vein for evaluation of clinical pathology parameters.
- Additional blood samples (approximately lmL) were taken from all animals from the jugular or other suitable vein for determination of the plasma concentrations of the test article at approximately 2 hours postdose on Day 7. Samples were placed in tubes containing potassium EDTA and stored on an ice block until centrifuged. Animals were not fasted before blood collection. Samples were stored at -70° until examination.
- the order of dose site removal was vehicle or positive control site, low dose site, mid-dose site, and high dose site.
- a 1 cm 2 tissue was excised from each dose site.
- the tissue sample was weighted and recorded.
- the skin punches were minced with clean scissors in individual appropriately sized scintillation vials.
- Cold phosphate-buffered saline (5mL) was added to the scintillation vial.
- the tissue was then homogenized with 20 second pulses using a mechanical homogenizer. The homogenates were quickly frozen at approximately -20°C.
- test articles were non-irritating in the vehicle gel, but was a mild to moderate irritant in the vehicle ointment.
- the second test article was a very slight irritant in the vehicle gel and a mild irritant when formulated in the vehicle ointment.
- This example illustrates the preparation of a representative topical gel composition containing an active compound of Formula I.
- a topical gel composition is prepared having the following composition:
- Isopropyl mysritate (solvent/cosolvent/penetration enhancer), Polyethylene glycols, Triacetin (solvents), Cetyl alcohol and Stearyl alcohol (Stiffening agents), Carbomer (Viscosity enhancer), and Tweens, Spans (emulsifiers).
- This example illustrates the preparation of a representative topical ointment composition containing an active compound of Formula I.
- a topical ointment composition is prepared having the following composition:
Landscapes
- Health & Medical Sciences (AREA)
- Chemical & Material Sciences (AREA)
- Life Sciences & Earth Sciences (AREA)
- Organic Chemistry (AREA)
- General Health & Medical Sciences (AREA)
- Veterinary Medicine (AREA)
- Molecular Biology (AREA)
- Pharmacology & Pharmacy (AREA)
- Medicinal Chemistry (AREA)
- Animal Behavior & Ethology (AREA)
- Public Health (AREA)
- General Chemical & Material Sciences (AREA)
- Chemical Kinetics & Catalysis (AREA)
- Nuclear Medicine, Radiotherapy & Molecular Imaging (AREA)
- Virology (AREA)
- Biochemistry (AREA)
- Communicable Diseases (AREA)
- Oncology (AREA)
- Engineering & Computer Science (AREA)
- Tropical Medicine & Parasitology (AREA)
- AIDS & HIV (AREA)
- Biotechnology (AREA)
- Epidemiology (AREA)
- Bioinformatics & Cheminformatics (AREA)
- Pharmaceuticals Containing Other Organic And Inorganic Compounds (AREA)
- Organic Low-Molecular-Weight Compounds And Preparation Thereof (AREA)
- Medicines That Contain Protein Lipid Enzymes And Other Medicines (AREA)
Abstract
Description
Claims
Priority Applications (24)
| Application Number | Priority Date | Filing Date | Title |
|---|---|---|---|
| DK04815956.0T DK1716162T3 (en) | 2003-12-30 | 2004-12-29 | Phosphonates, amidomonophosphonates, amidobis phosphonates for the treatment of viral diseases |
| BRPI0418251A BRPI0418251C1 (en) | 2003-12-30 | 2004-12-29 | phosphonates, monophosphonamidates, bisphosphonamidates, and pharmaceutical composition comprising them |
| HR20060254A HRP20060254A2 (en) | 2003-12-30 | 2004-12-29 | Phosphonates, monophosphonamidates, bisphosphonamidates for the treatment of viral diseases |
| HK07104599.0A HK1097276B (en) | 2003-12-30 | 2004-12-29 | Phosphonates, monophosphonamidates, bisphosphonamidates for the treatment of viral diseases |
| AT04815956T ATE478082T1 (en) | 2003-12-30 | 2004-12-29 | PHOSPHONATES, MONOPHOSPHONAMIDATE, BISPHOSPHONAMIDATE FOR THE TREATMENT OF VIRAL DISEASES |
| NZ548771A NZ548771A (en) | 2003-12-30 | 2004-12-29 | Phosphonates, monophosphonamidates, bisphosphonamidates for the treatment of viral diseases |
| EA200601263A EA011304B1 (en) | 2003-12-30 | 2004-12-29 | Phosphate- containing purin derivatives (variants), medicament based thereon for effecting upon human papilloma virus and upon tumor cells (variants) |
| AU2004312546A AU2004312546B2 (en) | 2003-12-30 | 2004-12-29 | Phosphonates, monophosphonamidates, bisphosphonamidates for the treatment of viral diseases |
| CA2550222A CA2550222C (en) | 2003-12-30 | 2004-12-29 | Phosphonates, monophosphonamidates, bisphosphonamidates for the treatment of viral diseases |
| SI200431534T SI1716162T1 (en) | 2003-12-30 | 2004-12-29 | Phosphonates, monophosphonamidates, bisphosphonamidates for the treatment of viral diseases |
| DE602004028763T DE602004028763D1 (en) | 2003-12-30 | 2004-12-29 | TE FOR THE TREATMENT OF VIRUS DISEASES |
| AP2006003675A AP2212A (en) | 2003-12-30 | 2004-12-29 | Phosphonates, Monophosphonamidates, Bisphosphonamidates for the treatment of viral diseases. |
| EP04815956A EP1716162B1 (en) | 2003-12-30 | 2004-12-29 | Phosphonates, monophosphonamidates, bisphosphonamidates for the treatment of viral diseases |
| CN2004800394690A CN1950383B (en) | 2003-12-30 | 2004-12-29 | Phosphonates, monophosphonamides, bisphosphonates for the treatment of viral diseases |
| JP2006547579A JP4949852B2 (en) | 2003-12-30 | 2004-12-29 | Phosphonates, monophosphonamidates, bisphosphonamidates for treating viral diseases |
| PL04815956T PL1716162T3 (en) | 2003-12-30 | 2004-12-29 | Phosphonates, monophosphonamidates, bisphosphonamidates for the treatment of viral diseases |
| ES04815956T ES2350983T3 (en) | 2003-12-30 | 2004-12-29 | PHOSPHONATES, MONOPHOSPHONAMIDATES, BISPHOSPHONAMIDATES FOR THE TREATMENT OF VIVIC DISEASES. |
| HR20100626T HRP20100626T1 (en) | 2003-12-30 | 2004-12-29 | Phosphonates, monophosphonamidates, bisphosphonamidates for the treatment of viral diseases |
| IL176407A IL176407A (en) | 2003-12-30 | 2006-06-19 | Bisphosphonamidates, pharmaceutical compositions comprising them and uses thereof |
| IS8516A IS2994B (en) | 2003-12-30 | 2006-06-21 | Phosphonates, monophosphonamides, bisphosphonamides for the treatment of viral diseases |
| ZA2006/06049A ZA200606049B (en) | 2003-12-30 | 2006-07-21 | Phosphonates, monophosphonamidates, bisphosphonamidates for the treatment of viral disease |
| NO20063479A NO338001B1 (en) | 2003-12-30 | 2006-07-28 | Phosphonates, monophosphonamidates and bisphosphonamidates, pharmaceutical compositions thereof, and their use for the manufacture of a medicament for the treatment of tumors |
| KR1020067015535A KR101214257B1 (en) | 2003-12-30 | 2006-07-31 | Phosphonate, monophosphonamidate, bisphosphonamidate for the treatment of viral diseases |
| AU2011200141A AU2011200141B2 (en) | 2003-12-30 | 2011-01-13 | Phosphonates, monophosphonamidates, bisphosphonamidates for the treatment of viral diseases |
Applications Claiming Priority (6)
| Application Number | Priority Date | Filing Date | Title |
|---|---|---|---|
| US53374503P | 2003-12-30 | 2003-12-30 | |
| US60/533,745 | 2003-12-30 | ||
| US59098704P | 2004-07-26 | 2004-07-26 | |
| US60/590,987 | 2004-07-26 | ||
| US60659504P | 2004-09-01 | 2004-09-01 | |
| US60/606,595 | 2004-09-01 |
Publications (1)
| Publication Number | Publication Date |
|---|---|
| WO2005066189A1 true WO2005066189A1 (en) | 2005-07-21 |
Family
ID=34753695
Family Applications (1)
| Application Number | Title | Priority Date | Filing Date |
|---|---|---|---|
| PCT/US2004/043969 Ceased WO2005066189A1 (en) | 2003-12-30 | 2004-12-29 | Phosphonates, monophosphonamidates, bisphosphonamidates for the treatment of viral diseases |
Country Status (27)
| Country | Link |
|---|---|
| US (5) | US7553825B2 (en) |
| EP (2) | EP1716162B1 (en) |
| JP (2) | JP4949852B2 (en) |
| KR (2) | KR20120080240A (en) |
| CN (2) | CN101816664B (en) |
| AP (1) | AP2212A (en) |
| AT (1) | ATE478082T1 (en) |
| AU (2) | AU2004312546B2 (en) |
| BR (1) | BRPI0418251C1 (en) |
| CA (1) | CA2550222C (en) |
| CY (2) | CY1111050T1 (en) |
| DE (1) | DE602004028763D1 (en) |
| DK (2) | DK1716162T3 (en) |
| EA (1) | EA011304B1 (en) |
| ES (2) | ES2350983T3 (en) |
| HR (3) | HRP20060254A2 (en) |
| IL (1) | IL176407A (en) |
| IS (1) | IS2994B (en) |
| NO (2) | NO338001B1 (en) |
| NZ (1) | NZ548771A (en) |
| PL (3) | PL2204374T3 (en) |
| PT (2) | PT1716162E (en) |
| RS (2) | RS51476B (en) |
| SG (1) | SG149075A1 (en) |
| SI (2) | SI2204374T1 (en) |
| WO (1) | WO2005066189A1 (en) |
| ZA (1) | ZA200606049B (en) |
Cited By (16)
| Publication number | Priority date | Publication date | Assignee | Title |
|---|---|---|---|---|
| WO2007002808A1 (en) * | 2005-06-29 | 2007-01-04 | Gilead Sciences, Inc. | Anti-nonmelanoma carcinoma compounds, compositions, and methods of use thereof |
| WO2007002912A3 (en) * | 2005-06-29 | 2007-06-28 | Gilead Sciences Inc | Anti-proliferative compounds, compositions, and methods of use thereof |
| WO2007136650A3 (en) * | 2006-05-16 | 2008-01-24 | Gilead Sciences Inc | Method and compositions for treating hematological malignancies |
| US7553825B2 (en) | 2003-12-30 | 2009-06-30 | Gilead Sciences, Inc. | Anti-proliferative compounds, compositions, and methods of use thereof |
| WO2009105513A2 (en) | 2008-02-20 | 2009-08-27 | Gilead Sciences, Inc. | Novel compounds and methods for therapy |
| US9156867B2 (en) | 2013-03-15 | 2015-10-13 | The Regents Of The University Of California | Acyclic nucleoside phosphonate diesters |
| WO2016044281A1 (en) | 2014-09-15 | 2016-03-24 | The Regents Of The University Of California | Nucleotide analogs |
| US9593137B2 (en) | 2011-12-22 | 2017-03-14 | Geron Corporation | Guanine analogs as telomerase substrates and telomere length affectors |
| WO2017048956A1 (en) | 2015-09-15 | 2017-03-23 | The Regents Of The University Of California | Nucleotide analogs |
| US9908908B2 (en) | 2012-08-30 | 2018-03-06 | Jiangsu Hansoh Pharmaceutical Co., Ltd. | Tenofovir prodrug and pharmaceutical uses thereof |
| TWI620754B (en) * | 2015-08-26 | 2018-04-11 | Method for preparing amino phosphate derivative and preparation method thereof | |
| WO2019113462A1 (en) | 2017-12-07 | 2019-06-13 | Emory University | N4-hydroxycytidine and derivatives and anti-viral uses related thereto |
| WO2021202669A2 (en) | 2020-04-01 | 2021-10-07 | Reyoung Corporation | Nucleoside and nucleotide conjugate compounds and uses thereof |
| US11628181B2 (en) | 2014-12-26 | 2023-04-18 | Emory University | N4-hydroxycytidine and derivatives and anti-viral uses related thereto |
| US12110305B2 (en) | 2020-08-07 | 2024-10-08 | Gilead Sciences, Inc. | Prodrugs of phosphonamide nucleotide analogues and their pharmaceutical use |
| US12329768B2 (en) | 2022-07-21 | 2025-06-17 | Antiva Biosciences, Inc. | Compositions and dosage forms for treatment of HPV infection and HPV-induced neoplasia |
Families Citing this family (57)
| Publication number | Priority date | Publication date | Assignee | Title |
|---|---|---|---|---|
| US8512718B2 (en) | 2000-07-03 | 2013-08-20 | Foamix Ltd. | Pharmaceutical composition for topical application |
| AU2003299492B2 (en) * | 2002-05-13 | 2010-06-10 | Metabasis Therapeutics, Inc. | Cyclic prodrugs of PMEA one of its analogues |
| NZ536327A (en) * | 2002-05-13 | 2007-08-31 | Metabasis Therapeutics Inc | PMEA and PMPA cyclic producing synthesis |
| IL152486A0 (en) | 2002-10-25 | 2003-05-29 | Meir Eini | Alcohol-free cosmetic and pharmaceutical foam carrier |
| US9265725B2 (en) | 2002-10-25 | 2016-02-23 | Foamix Pharmaceuticals Ltd. | Dicarboxylic acid foamable vehicle and pharmaceutical compositions thereof |
| US8119150B2 (en) | 2002-10-25 | 2012-02-21 | Foamix Ltd. | Non-flammable insecticide composition and uses thereof |
| US7820145B2 (en) | 2003-08-04 | 2010-10-26 | Foamix Ltd. | Oleaginous pharmaceutical and cosmetic foam |
| EP1556009B2 (en) | 2002-10-25 | 2021-07-21 | Foamix Pharmaceuticals Ltd. | Cosmetic and pharmaceutical foam |
| US8900554B2 (en) | 2002-10-25 | 2014-12-02 | Foamix Pharmaceuticals Ltd. | Foamable composition and uses thereof |
| US8119109B2 (en) | 2002-10-25 | 2012-02-21 | Foamix Ltd. | Foamable compositions, kits and methods for hyperhidrosis |
| US9211259B2 (en) | 2002-11-29 | 2015-12-15 | Foamix Pharmaceuticals Ltd. | Antibiotic kit and composition and uses thereof |
| US7704518B2 (en) | 2003-08-04 | 2010-04-27 | Foamix, Ltd. | Foamable vehicle and pharmaceutical compositions thereof |
| US7700076B2 (en) | 2002-10-25 | 2010-04-20 | Foamix, Ltd. | Penetrating pharmaceutical foam |
| US10117812B2 (en) | 2002-10-25 | 2018-11-06 | Foamix Pharmaceuticals Ltd. | Foamable composition combining a polar solvent and a hydrophobic carrier |
| US8486376B2 (en) | 2002-10-25 | 2013-07-16 | Foamix Ltd. | Moisturizing foam containing lanolin |
| US9668972B2 (en) | 2002-10-25 | 2017-06-06 | Foamix Pharmaceuticals Ltd. | Nonsteroidal immunomodulating kit and composition and uses thereof |
| US20080138296A1 (en) | 2002-10-25 | 2008-06-12 | Foamix Ltd. | Foam prepared from nanoemulsions and uses |
| US7575739B2 (en) | 2003-04-28 | 2009-08-18 | Foamix Ltd. | Foamable iodine composition |
| US8486374B2 (en) | 2003-08-04 | 2013-07-16 | Foamix Ltd. | Hydrophilic, non-aqueous pharmaceutical carriers and compositions and uses |
| US8795693B2 (en) | 2003-08-04 | 2014-08-05 | Foamix Ltd. | Compositions with modulating agents |
| CA2565966A1 (en) * | 2004-06-08 | 2005-12-29 | Metabasis Therapeutics, Inc. | Lewis acid mediated synthesis of cyclic esters |
| WO2007137196A2 (en) * | 2006-05-19 | 2007-11-29 | Threshold Pharmaceuticals, Inc. | Tubulin binding anti cancer compounds and prodrugs thereof |
| JP5356228B2 (en) * | 2006-07-07 | 2013-12-04 | ギリアード サイエンシーズ, インコーポレイテッド | Regulator of toll-like receptor 7 |
| ES2393761T3 (en) | 2006-07-14 | 2012-12-27 | Stiefel Research Australia Pty Ltd | Pharmaceutical fatty acid foam |
| US20080260655A1 (en) | 2006-11-14 | 2008-10-23 | Dov Tamarkin | Substantially non-aqueous foamable petrolatum based pharmaceutical and cosmetic compositions and their uses |
| US8636982B2 (en) | 2007-08-07 | 2014-01-28 | Foamix Ltd. | Wax foamable vehicle and pharmaceutical compositions thereof |
| WO2009069006A2 (en) | 2007-11-30 | 2009-06-04 | Foamix Ltd. | Foam containing benzoyl peroxide |
| WO2009072007A2 (en) | 2007-12-07 | 2009-06-11 | Foamix Ltd. | Carriers, formulations, methods for formulating unstable active agents for external application and uses thereof |
| US8518376B2 (en) | 2007-12-07 | 2013-08-27 | Foamix Ltd. | Oil-based foamable carriers and formulations |
| EP2242476A2 (en) | 2008-01-14 | 2010-10-27 | Foamix Ltd. | Poloxamer foamable pharmaceutical compositions with active agents and/or therapeutic cells and uses |
| WO2010125470A2 (en) | 2009-04-28 | 2010-11-04 | Foamix Ltd. | Foamable vehicle and pharmaceutical compositions comprising aprotic polar solvents and uses thereof |
| WO2011013008A2 (en) | 2009-07-29 | 2011-02-03 | Foamix Ltd. | Non surface active agent non polymeric agent hydro-alcoholic foamable compositions, breakable foams and their uses |
| WO2011013009A2 (en) | 2009-07-29 | 2011-02-03 | Foamix Ltd. | Non surfactant hydro-alcoholic foamable compositions, breakable foams and their uses |
| US9849142B2 (en) | 2009-10-02 | 2017-12-26 | Foamix Pharmaceuticals Ltd. | Methods for accelerated return of skin integrity and for the treatment of impetigo |
| US8871184B2 (en) | 2009-10-02 | 2014-10-28 | Foamix Ltd. | Topical tetracycline compositions |
| CN102309984B (en) * | 2011-07-22 | 2013-05-01 | 华东师范大学 | Phosphoric acid amide bifunctional catalyst and synthetic method thereof |
| CN104804042B (en) * | 2014-01-24 | 2018-01-19 | 齐鲁制药有限公司 | Phosphonate-nucleotide ester class compound, its pharmaceutical composition, Preparation method and use |
| WO2015123352A1 (en) | 2014-02-13 | 2015-08-20 | Ligand Pharmaceuticals, Inc. | Prodrug compounds and their uses |
| CN105531281B (en) * | 2014-04-21 | 2017-12-15 | 四川海思科制药有限公司 | A kind of preparation method of nucleoside analog and its intermediate |
| CN106687118A (en) | 2014-07-02 | 2017-05-17 | 配体药物公司 | Prodrug compounds and uses thereof |
| CN107820499B (en) * | 2015-04-28 | 2022-11-11 | 鲁汶大学研究与开发部 | Antiviral compounds, process for their preparation, and their use for the treatment of viral infections |
| WO2017007701A1 (en) * | 2015-07-07 | 2017-01-12 | Merck Sharp & Dohme Corp. | Antiviral phosphodiamide compounds |
| EP3386512B1 (en) | 2015-12-10 | 2023-11-22 | Merck Sharp & Dohme LLC | Antiviral phosphodiamide prodrugs of tenofovir |
| EP3390413B1 (en) | 2015-12-15 | 2020-08-19 | Merck Sharp & Dohme Corp. | Antiviral oxime phosphoramide compounds |
| CN107849075A (en) * | 2016-01-19 | 2018-03-27 | 四川海思科制药有限公司 | A kind of phosphoramidate prodrug of nucleoside analog and its application |
| US10398641B2 (en) | 2016-09-08 | 2019-09-03 | Foamix Pharmaceuticals Ltd. | Compositions and methods for treating rosacea and acne |
| CN108137630A (en) * | 2016-09-23 | 2018-06-08 | 鲁汶天主教大学 | It is fluorinated the prodrug of acyclic nucleoside phosphate ester |
| US10736908B2 (en) | 2016-10-26 | 2020-08-11 | Merck Sharp & Dohme Corp. | Antiviral aryl-amide phosphodiamide compounds |
| US10519159B2 (en) | 2016-12-22 | 2019-12-31 | Merck Sharp & Dohme Corp. | Antiviral aliphatic ester prodrugs of tenofovir |
| MA47131A (en) * | 2016-12-22 | 2021-05-12 | Idenix Pharmaceuticals Llc | BENZYL-AMIDE PHOSPHODIAMIDE ANTIVIRAL COMPOUNDS |
| CN108276444A (en) * | 2017-01-06 | 2018-07-13 | 米文君 | A new class of compound and application thereof |
| US20190374557A1 (en) * | 2017-02-28 | 2019-12-12 | Alexandre Vasilievich Ivachtchenko | Cyclobutyl (S)-2-[[[(R)-2-(6-aminopurin-9-yl)-1-methyl-ethoxy]methyl-phenoxy-phosphoryl]amino]-propanoates, and production process and application thereof |
| CN111788196A (en) | 2018-01-09 | 2020-10-16 | 配体药物公司 | Acetal compounds and their therapeutic uses |
| EP3823629B1 (en) | 2018-07-19 | 2024-12-25 | Merck Sharp & Dohme LLC | Phosphinic amide prodrugs of tenofovir |
| CN118290346A (en) * | 2018-09-28 | 2024-07-05 | 广荣化学株式会社 | Method for producing amide compound, and amide compound |
| CN118652277A (en) * | 2024-08-19 | 2024-09-17 | 成都工业学院 | A method for preparing a compound for treating cancer |
| CN118652276B (en) * | 2024-08-19 | 2024-10-15 | 成都工业学院 | A preparation process of a compound for treating cancer |
Citations (1)
| Publication number | Priority date | Publication date | Assignee | Title |
|---|---|---|---|---|
| US20030072814A1 (en) * | 1999-12-16 | 2003-04-17 | Maibach Howard I. | Topical pharmaceutical composition for the treatment of warts |
Family Cites Families (12)
| Publication number | Priority date | Publication date | Assignee | Title |
|---|---|---|---|---|
| DE2528490C2 (en) * | 1975-06-26 | 1983-04-28 | Henkel KGaA, 4000 Düsseldorf | Process for the production of acidic protease |
| US4816570A (en) | 1982-11-30 | 1989-03-28 | The Board Of Regents Of The University Of Texas System | Biologically reversible phosphate and phosphonate protective groups |
| US4968788A (en) | 1986-04-04 | 1990-11-06 | Board Of Regents, The University Of Texas System | Biologically reversible phosphate and phosphonate protective gruops |
| ATE131825T1 (en) | 1990-06-13 | 1996-01-15 | Arnold Glazier | PHOSPHORYLATED PRODRUGS |
| EP0481214B1 (en) | 1990-09-14 | 1998-06-24 | Institute Of Organic Chemistry And Biochemistry Of The Academy Of Sciences Of The Czech Republic | Prodrugs of phosphonates |
| US5977061A (en) * | 1995-04-21 | 1999-11-02 | Institute Of Organic Chemistry And Biochemistry Of The Academy Of Sciences Of The Czech Republic | N6 - substituted nucleotide analagues and their use |
| US6312662B1 (en) | 1998-03-06 | 2001-11-06 | Metabasis Therapeutics, Inc. | Prodrugs phosphorus-containing compounds |
| US20030187261A1 (en) * | 2000-01-07 | 2003-10-02 | Libor Havlicek | Purine derivatives, process for their preparation and use thereof |
| AU8294101A (en) * | 2000-07-21 | 2002-02-05 | Gilead Sciences Inc | Prodrugs of phosphonate nucleotide analogues and methods for selecting and making same |
| DE10236294A1 (en) * | 2001-08-17 | 2003-02-27 | Alstom Switzerland Ltd | Gas supply control device for compressed air energy storage plant, has bypass line used instead of main line in emergency operating mode |
| CN1168449C (en) * | 2002-12-23 | 2004-09-29 | 梁有国 | Medicine against human papilloma virus |
| PL2204374T3 (en) | 2003-12-30 | 2012-11-30 | Gilead Sciences Inc | Nucleoside phosphonates and analogs thereof for the treatment of HPV-infections |
-
2004
- 2004-12-29 PL PL10158740T patent/PL2204374T3/en unknown
- 2004-12-29 PT PT04815956T patent/PT1716162E/en unknown
- 2004-12-29 PT PT10158740T patent/PT2204374E/en unknown
- 2004-12-29 EP EP04815956A patent/EP1716162B1/en not_active Expired - Lifetime
- 2004-12-29 US US11/026,303 patent/US7553825B2/en active Active
- 2004-12-29 SG SG200809660-4A patent/SG149075A1/en unknown
- 2004-12-29 RS RSP-2010/0490A patent/RS51476B/en unknown
- 2004-12-29 RS RS20120389A patent/RS52433B/en unknown
- 2004-12-29 CN CN2010101456719A patent/CN101816664B/en not_active Expired - Lifetime
- 2004-12-29 HR HR20060254A patent/HRP20060254A2/en not_active Application Discontinuation
- 2004-12-29 SI SI200431910T patent/SI2204374T1/en unknown
- 2004-12-29 JP JP2006547579A patent/JP4949852B2/en not_active Expired - Lifetime
- 2004-12-29 SI SI200431534T patent/SI1716162T1/en unknown
- 2004-12-29 PL PL04815956T patent/PL1716162T3/en unknown
- 2004-12-29 NZ NZ548771A patent/NZ548771A/en not_active IP Right Cessation
- 2004-12-29 KR KR1020127013492A patent/KR20120080240A/en not_active Ceased
- 2004-12-29 CA CA2550222A patent/CA2550222C/en not_active Expired - Lifetime
- 2004-12-29 HR HR20100626T patent/HRP20100626T1/en unknown
- 2004-12-29 DK DK04815956.0T patent/DK1716162T3/en active
- 2004-12-29 AP AP2006003675A patent/AP2212A/en active
- 2004-12-29 EA EA200601263A patent/EA011304B1/en not_active IP Right Cessation
- 2004-12-29 ES ES04815956T patent/ES2350983T3/en not_active Expired - Lifetime
- 2004-12-29 PL PL380828A patent/PL212403B1/en unknown
- 2004-12-29 ES ES10158740T patent/ES2389602T3/en not_active Expired - Lifetime
- 2004-12-29 WO PCT/US2004/043969 patent/WO2005066189A1/en not_active Ceased
- 2004-12-29 EP EP10158740A patent/EP2204374B1/en not_active Expired - Lifetime
- 2004-12-29 AT AT04815956T patent/ATE478082T1/en active
- 2004-12-29 BR BRPI0418251A patent/BRPI0418251C1/en not_active IP Right Cessation
- 2004-12-29 AU AU2004312546A patent/AU2004312546B2/en not_active Expired
- 2004-12-29 DE DE602004028763T patent/DE602004028763D1/en not_active Expired - Lifetime
- 2004-12-29 CN CN2004800394690A patent/CN1950383B/en not_active Expired - Lifetime
- 2004-12-29 DK DK10158740.0T patent/DK2204374T3/en active
-
2005
- 2005-06-29 US US11/170,325 patent/US20060046981A1/en not_active Abandoned
- 2005-06-29 US US11/170,247 patent/US20060030545A1/en not_active Abandoned
-
2006
- 2006-06-19 IL IL176407A patent/IL176407A/en active IP Right Grant
- 2006-06-21 IS IS8516A patent/IS2994B/en unknown
- 2006-07-21 ZA ZA2006/06049A patent/ZA200606049B/en unknown
- 2006-07-28 NO NO20063479A patent/NO338001B1/en unknown
- 2006-07-31 KR KR1020067015535A patent/KR101214257B1/en not_active Expired - Lifetime
-
2009
- 2009-02-18 US US12/388,295 patent/US8088754B2/en not_active Expired - Lifetime
- 2009-05-05 US US12/436,004 patent/US8268802B2/en not_active Expired - Lifetime
-
2010
- 2010-11-17 CY CY20101101036T patent/CY1111050T1/en unknown
-
2011
- 2011-01-13 AU AU2011200141A patent/AU2011200141B2/en not_active Expired
- 2011-02-25 JP JP2011040828A patent/JP2011137029A/en not_active Withdrawn
-
2012
- 2012-09-04 HR HRP20120699TT patent/HRP20120699T1/en unknown
- 2012-09-10 CY CY20121100813T patent/CY1113103T1/en unknown
-
2015
- 2015-05-18 NO NO20150615A patent/NO338040B1/en unknown
Patent Citations (1)
| Publication number | Priority date | Publication date | Assignee | Title |
|---|---|---|---|---|
| US20030072814A1 (en) * | 1999-12-16 | 2003-04-17 | Maibach Howard I. | Topical pharmaceutical composition for the treatment of warts |
Non-Patent Citations (3)
| Title |
|---|
| CHRISTENSEN ET AL.: "In vivo anti-papilomavirus activity of nucleoside analogues includinh cidofovir on CRPV-induced rabbit papillomas", ANTIVIRAL RESEARCH, vol. 48, 2000, pages 131 - 142, XP002327374 * |
| KEITH ET AL.: "Evaluation of Nucleoside Phosphonates and Their Analogs and Prodrugs for Inhibition of Orthopoxvirus Replication", ANTIMICROBIAL AGENTS AND CHEMOTHERAPY, vol. 47, no. 7, July 2003 (2003-07-01), pages 2193 - 2198, XP002327373 * |
| SNOECK ET AL.: "Antivaccinia Activities of Acyclic Nucleoside Phosphonate Derivatives in Epithelial Cells and Organotypic Cultures", ANTIMICROBIAL AGENTS AND CHEMOTHERAPY, vol. 46, no. 11, November 2002 (2002-11-01), pages 3356 - 3361, XP002327372 * |
Cited By (59)
| Publication number | Priority date | Publication date | Assignee | Title |
|---|---|---|---|---|
| US7553825B2 (en) | 2003-12-30 | 2009-06-30 | Gilead Sciences, Inc. | Anti-proliferative compounds, compositions, and methods of use thereof |
| US8088754B2 (en) | 2003-12-30 | 2012-01-03 | Gilead Sciences, Inc. | Anti-proliferative compounds, compositions, and methods of use thereof |
| US8268802B2 (en) | 2003-12-30 | 2012-09-18 | Gilead Sciences, Inc. | Anti-proliferative compounds, compositions, and methods of use thereof |
| WO2007002912A3 (en) * | 2005-06-29 | 2007-06-28 | Gilead Sciences Inc | Anti-proliferative compounds, compositions, and methods of use thereof |
| WO2007002808A1 (en) * | 2005-06-29 | 2007-01-04 | Gilead Sciences, Inc. | Anti-nonmelanoma carcinoma compounds, compositions, and methods of use thereof |
| AU2007254309B2 (en) * | 2006-05-16 | 2012-05-03 | Gilead Sciences, Inc. | Method and compositions for treating hematological malignancies |
| WO2007136650A3 (en) * | 2006-05-16 | 2008-01-24 | Gilead Sciences Inc | Method and compositions for treating hematological malignancies |
| KR101424832B1 (en) * | 2006-05-16 | 2014-08-06 | 길리애드 사이언시즈, 인코포레이티드 | Method for treating malignant hematologic tumors and composition for treating malignant hematologic malignancies |
| JP2009537539A (en) * | 2006-05-16 | 2009-10-29 | ギリアード サイエンシーズ, インコーポレイテッド | Methods and compositions for the treatment of hematological malignancies |
| US8435969B2 (en) | 2006-05-16 | 2013-05-07 | Gilead Sciences, Inc. | Method and compositions for treating hematological malignancies |
| EA016995B1 (en) * | 2006-05-16 | 2012-09-28 | Джилид Сайэнс, Инк. | Carboxylic acid salt of 2,6-diaminopurine phosphonamide derivative, methods and compositions for treating hematological malignancies and treating blood neoplasms, kit, sterile aqueous solution and composition |
| WO2009105513A3 (en) * | 2008-02-20 | 2009-11-12 | Gilead Sciences, Inc. | Novel compounds and methods for therapy |
| AU2014203786B2 (en) * | 2008-02-20 | 2016-11-17 | Gilead Sciences, Inc. | Novel compounds and methods for therapy |
| EP2308885A3 (en) * | 2008-02-20 | 2011-05-11 | Gilead Sciences, Inc. | Novel compounds and methods for therapy |
| EP2308885A2 (en) | 2008-02-20 | 2011-04-13 | Gilead Sciences, Inc. | Novel compounds and methods for therapy |
| AU2009215547B2 (en) * | 2008-02-20 | 2014-04-10 | Gilead Sciences, Inc. | Novel compounds and methods for therapy |
| WO2009105513A2 (en) | 2008-02-20 | 2009-08-27 | Gilead Sciences, Inc. | Novel compounds and methods for therapy |
| KR101728647B1 (en) | 2008-02-20 | 2017-04-19 | 길리애드 사이언시즈, 인코포레이티드 | Novel compounds and methods for therapy |
| US8163718B2 (en) | 2008-02-20 | 2012-04-24 | Gilead Sciences, Inc. | Nucleoside analogues containing phosphonate or phosphonamide groups |
| KR101612138B1 (en) | 2008-02-20 | 2016-04-12 | 길리애드 사이언시즈, 인코포레이티드 | Novel compounds and methods for therapy |
| US11279720B2 (en) | 2011-12-22 | 2022-03-22 | Geron Corporation | Guanine analogs as telomerase substrates and telomere length affectors |
| US10035814B2 (en) | 2011-12-22 | 2018-07-31 | Geron Corporation | Guanine analogs as telomerase substrates and telomere length affectors |
| US10562926B2 (en) | 2011-12-22 | 2020-02-18 | Geron Corporation | Guanine analogs as telomerase substrates and telomere length affectors |
| US9593137B2 (en) | 2011-12-22 | 2017-03-14 | Geron Corporation | Guanine analogs as telomerase substrates and telomere length affectors |
| US12398162B2 (en) | 2011-12-22 | 2025-08-26 | Geron Corporation | Guanine analogs as telomerase substrates and telomere length affectors |
| US9908908B2 (en) | 2012-08-30 | 2018-03-06 | Jiangsu Hansoh Pharmaceutical Co., Ltd. | Tenofovir prodrug and pharmaceutical uses thereof |
| US9775852B2 (en) | 2013-03-15 | 2017-10-03 | The Regents Of The University Of California | Acyclic nucleoside phosphonate diesters |
| US10195222B2 (en) | 2013-03-15 | 2019-02-05 | The Regents Of The University Of California | Acyclic nucleoside phosphonate diesters |
| US9629860B2 (en) | 2013-03-15 | 2017-04-25 | The Regents Of The University Of California | Acyclic nucleoside phosphonate diesters |
| US9387217B2 (en) | 2013-03-15 | 2016-07-12 | The Regents Of The University Of California | Acyclic nucleoside phosphonate diesters |
| US10449207B2 (en) | 2013-03-15 | 2019-10-22 | The Regents Of The University Of California | Acyclic nucleoside phosphonate diesters |
| US9156867B2 (en) | 2013-03-15 | 2015-10-13 | The Regents Of The University Of California | Acyclic nucleoside phosphonate diesters |
| US10076532B2 (en) | 2013-03-15 | 2018-09-18 | The Regents Of The University Of California | Acyclic nucleoside phosphonate diesters |
| US10076533B2 (en) | 2013-03-15 | 2018-09-18 | The Regents Of The University Of California | Acyclic nucleoside phosphonate diesters |
| US9493493B2 (en) | 2014-09-15 | 2016-11-15 | The Regents Of The University Of California | Nucleotide analogs |
| US10213430B2 (en) | 2014-09-15 | 2019-02-26 | The Regents Of The University Of California | Nucleotide analogs |
| WO2016044281A1 (en) | 2014-09-15 | 2016-03-24 | The Regents Of The University Of California | Nucleotide analogs |
| US12350274B2 (en) | 2014-09-15 | 2025-07-08 | The Regents Of The University Of California | Nucleotide analogs |
| US12521397B2 (en) | 2014-09-15 | 2026-01-13 | The Regents Of The University Of California | Nucleotide analogs |
| US10702532B2 (en) | 2014-09-15 | 2020-07-07 | The Regents Of The University Of California | Nucleotide analogs |
| EA036391B1 (en) * | 2014-09-15 | 2020-11-05 | Дзе Риджентс Оф Дзе Юниверсити Оф Калифорния | Nucleotide analogs |
| US9801884B2 (en) | 2014-09-15 | 2017-10-31 | The Regents Of The University Of California | Nucleotide analogs |
| US11344555B2 (en) | 2014-09-15 | 2022-05-31 | The Regents Of The University Of California | Nucleotide analogs |
| US11628181B2 (en) | 2014-12-26 | 2023-04-18 | Emory University | N4-hydroxycytidine and derivatives and anti-viral uses related thereto |
| TWI620754B (en) * | 2015-08-26 | 2018-04-11 | Method for preparing amino phosphate derivative and preparation method thereof | |
| EP3875462A1 (en) | 2015-09-15 | 2021-09-08 | The Regents of The University of California | Nucleotide analogs |
| US11572377B2 (en) | 2015-09-15 | 2023-02-07 | The Regents Of The University Of California | Nucleotide analogs |
| US11014950B2 (en) | 2015-09-15 | 2021-05-25 | The Regents Of The University Of California | Nucleotide analogs |
| WO2017048956A1 (en) | 2015-09-15 | 2017-03-23 | The Regents Of The University Of California | Nucleotide analogs |
| US10377782B2 (en) | 2015-09-15 | 2019-08-13 | The Regents Of The University Of California | Nucleotide analogs |
| WO2019113462A1 (en) | 2017-12-07 | 2019-06-13 | Emory University | N4-hydroxycytidine and derivatives and anti-viral uses related thereto |
| US11331331B2 (en) | 2017-12-07 | 2022-05-17 | Emory University | N4-hydroxycytidine and derivatives and anti-viral uses related thereto |
| US11903959B2 (en) | 2017-12-07 | 2024-02-20 | Emory University | N4-hydroxycytidine and derivatives and anti-viral uses related thereto |
| EP4491232A2 (en) | 2017-12-07 | 2025-01-15 | Emory University | N4-hydroxycytidine and derivatives and anti-viral uses related thereto |
| US12329770B2 (en) | 2017-12-07 | 2025-06-17 | Emory University | N4-hydroxycytidine and derivatives and anti-viral uses related thereto |
| WO2021202669A2 (en) | 2020-04-01 | 2021-10-07 | Reyoung Corporation | Nucleoside and nucleotide conjugate compounds and uses thereof |
| WO2021202669A3 (en) * | 2020-04-01 | 2021-12-02 | Reyoung Corporation | Nucleoside and nucleotide conjugate compounds and uses thereof |
| US12110305B2 (en) | 2020-08-07 | 2024-10-08 | Gilead Sciences, Inc. | Prodrugs of phosphonamide nucleotide analogues and their pharmaceutical use |
| US12329768B2 (en) | 2022-07-21 | 2025-06-17 | Antiva Biosciences, Inc. | Compositions and dosage forms for treatment of HPV infection and HPV-induced neoplasia |
Also Published As
Similar Documents
| Publication | Publication Date | Title |
|---|---|---|
| US8268802B2 (en) | Anti-proliferative compounds, compositions, and methods of use thereof | |
| NO20180243A1 (en) | Antiviral compounds | |
| WO2007002912A2 (en) | Anti-proliferative compounds, compositions, and methods of use thereof | |
| WO2007002808A1 (en) | Anti-nonmelanoma carcinoma compounds, compositions, and methods of use thereof | |
| MXPA06007422A (en) | Phosphonates, monophosphonamidates, bisphosphonamidates for the treatment of viral diseases | |
| HK1097276B (en) | Phosphonates, monophosphonamidates, bisphosphonamidates for the treatment of viral diseases | |
| HK1146061B (en) | Nucleoside phosphonates and analogs thereof for the treatment of hpv-infections |
Legal Events
| Date | Code | Title | Description |
|---|---|---|---|
| WWE | Wipo information: entry into national phase |
Ref document number: 200480039469.0 Country of ref document: CN |
|
| AK | Designated states |
Kind code of ref document: A1 Designated state(s): AE AG AL AM AT AU AZ BA BB BG BR BW BY BZ CA CH CN CO CR CU CZ DE DK DM DZ EC EE EG ES FI GB GD GE GH GM HR HU ID IL IN IS JP KE KG KP KR KZ LC LK LR LS LT LU LV MA MD MG MK MN MW MX MZ NA NI NO NZ OM PG PH PL PT RO RU SC SD SE SG SK SL SY TJ TM TN TR TT TZ UA UG US UZ VC VN YU ZA ZM ZW |
|
| AL | Designated countries for regional patents |
Kind code of ref document: A1 Designated state(s): BW GH GM KE LS MW MZ NA SD SL SZ TZ UG ZM ZW AM AZ BY KG KZ MD RU TJ TM AT BE BG CH CY CZ DE DK EE ES FI FR GB GR HU IE IS IT LT LU MC NL PL PT RO SE SI SK TR BF BJ CF CG CI CM GA GN GQ GW ML MR NE SN TD TG |
|
| 121 | Ep: the epo has been informed by wipo that ep was designated in this application | ||
| DPEN | Request for preliminary examination filed prior to expiration of 19th month from priority date (pct application filed from 20040101) | ||
| WWE | Wipo information: entry into national phase |
Ref document number: 2550222 Country of ref document: CA |
|
| WWE | Wipo information: entry into national phase |
Ref document number: 176407 Country of ref document: IL |
|
| WWE | Wipo information: entry into national phase |
Ref document number: 3557/DELNP/2006 Country of ref document: IN |
|
| WWE | Wipo information: entry into national phase |
Ref document number: 1200600984 Country of ref document: VN |
|
| WWE | Wipo information: entry into national phase |
Ref document number: PA/a/2006/007422 Country of ref document: MX |
|
| WWE | Wipo information: entry into national phase |
Ref document number: 2006547579 Country of ref document: JP Ref document number: 2004312546 Country of ref document: AU |
|
| NENP | Non-entry into the national phase |
Ref country code: DE |
|
| WWW | Wipo information: withdrawn in national office |
Ref document number: DE |
|
| WWE | Wipo information: entry into national phase |
Ref document number: AP/P/2006/003675 Country of ref document: AP |
|
| WWE | Wipo information: entry into national phase |
Ref document number: P20060254A Country of ref document: HR |
|
| ENP | Entry into the national phase |
Ref document number: 2004312546 Country of ref document: AU Date of ref document: 20041229 Kind code of ref document: A |
|
| WWP | Wipo information: published in national office |
Ref document number: 2004312546 Country of ref document: AU |
|
| WWE | Wipo information: entry into national phase |
Ref document number: 2006/06049 Country of ref document: ZA Ref document number: 200606049 Country of ref document: ZA |
|
| WWE | Wipo information: entry into national phase |
Ref document number: 548771 Country of ref document: NZ Ref document number: 2004815956 Country of ref document: EP |
|
| WWE | Wipo information: entry into national phase |
Ref document number: 1020067015535 Country of ref document: KR Ref document number: 200601263 Country of ref document: EA |
|
| WWP | Wipo information: published in national office |
Ref document number: 2004815956 Country of ref document: EP |
|
| WWP | Wipo information: published in national office |
Ref document number: 1020067015535 Country of ref document: KR |
|
| ENP | Entry into the national phase |
Ref document number: PI0418251 Country of ref document: BR |
|
| WWE | Wipo information: entry into national phase |
Ref document number: P-2010/0490 Country of ref document: RS |


































































































































