WO2004054564A1 - Gabapentin analogues for fibromyalgia and other related disorders - Google Patents
Gabapentin analogues for fibromyalgia and other related disorders Download PDFInfo
- Publication number
- WO2004054564A1 WO2004054564A1 PCT/IB2003/005710 IB0305710W WO2004054564A1 WO 2004054564 A1 WO2004054564 A1 WO 2004054564A1 IB 0305710 W IB0305710 W IB 0305710W WO 2004054564 A1 WO2004054564 A1 WO 2004054564A1
- Authority
- WO
- WIPO (PCT)
- Prior art keywords
- aminomethyl
- acetic acid
- cyclopentyl
- disorder
- compound
- Prior art date
- Legal status (The legal status is an assumption and is not a legal conclusion. Google has not performed a legal analysis and makes no representation as to the accuracy of the status listed.)
- Ceased
Links
- 0 CC(*)(C1(*)*)C(C*)(C*)C(C)(*)C1(*)S Chemical compound CC(*)(C1(*)*)C(C*)(C*)C(C)(*)C1(*)S 0.000 description 1
Classifications
-
- A—HUMAN NECESSITIES
- A61—MEDICAL OR VETERINARY SCIENCE; HYGIENE
- A61K—PREPARATIONS FOR MEDICAL, DENTAL OR TOILETRY PURPOSES
- A61K31/00—Medicinal preparations containing organic active ingredients
- A61K31/66—Phosphorus compounds
- A61K31/662—Phosphorus acids or esters thereof having P—C bonds, e.g. foscarnet, trichlorfon
-
- A—HUMAN NECESSITIES
- A61—MEDICAL OR VETERINARY SCIENCE; HYGIENE
- A61K—PREPARATIONS FOR MEDICAL, DENTAL OR TOILETRY PURPOSES
- A61K31/00—Medicinal preparations containing organic active ingredients
- A61K31/16—Amides, e.g. hydroxamic acids
-
- A—HUMAN NECESSITIES
- A61—MEDICAL OR VETERINARY SCIENCE; HYGIENE
- A61K—PREPARATIONS FOR MEDICAL, DENTAL OR TOILETRY PURPOSES
- A61K31/00—Medicinal preparations containing organic active ingredients
- A61K31/16—Amides, e.g. hydroxamic acids
- A61K31/18—Sulfonamides
-
- A—HUMAN NECESSITIES
- A61—MEDICAL OR VETERINARY SCIENCE; HYGIENE
- A61K—PREPARATIONS FOR MEDICAL, DENTAL OR TOILETRY PURPOSES
- A61K31/00—Medicinal preparations containing organic active ingredients
- A61K31/185—Acids; Anhydrides, halides or salts thereof, e.g. sulfur acids, imidic, hydrazonic or hydroximic acids
-
- A—HUMAN NECESSITIES
- A61—MEDICAL OR VETERINARY SCIENCE; HYGIENE
- A61K—PREPARATIONS FOR MEDICAL, DENTAL OR TOILETRY PURPOSES
- A61K31/00—Medicinal preparations containing organic active ingredients
- A61K31/185—Acids; Anhydrides, halides or salts thereof, e.g. sulfur acids, imidic, hydrazonic or hydroximic acids
- A61K31/19—Carboxylic acids, e.g. valproic acid
- A61K31/195—Carboxylic acids, e.g. valproic acid having an amino group
-
- A—HUMAN NECESSITIES
- A61—MEDICAL OR VETERINARY SCIENCE; HYGIENE
- A61K—PREPARATIONS FOR MEDICAL, DENTAL OR TOILETRY PURPOSES
- A61K31/00—Medicinal preparations containing organic active ingredients
- A61K31/185—Acids; Anhydrides, halides or salts thereof, e.g. sulfur acids, imidic, hydrazonic or hydroximic acids
- A61K31/19—Carboxylic acids, e.g. valproic acid
- A61K31/195—Carboxylic acids, e.g. valproic acid having an amino group
- A61K31/197—Carboxylic acids, e.g. valproic acid having an amino group the amino and the carboxyl groups being attached to the same acyclic carbon chain, e.g. gamma-aminobutyric acid [GABA], beta-alanine, epsilon-aminocaproic acid or pantothenic acid
-
- A—HUMAN NECESSITIES
- A61—MEDICAL OR VETERINARY SCIENCE; HYGIENE
- A61K—PREPARATIONS FOR MEDICAL, DENTAL OR TOILETRY PURPOSES
- A61K31/00—Medicinal preparations containing organic active ingredients
- A61K31/185—Acids; Anhydrides, halides or salts thereof, e.g. sulfur acids, imidic, hydrazonic or hydroximic acids
- A61K31/19—Carboxylic acids, e.g. valproic acid
- A61K31/195—Carboxylic acids, e.g. valproic acid having an amino group
- A61K31/197—Carboxylic acids, e.g. valproic acid having an amino group the amino and the carboxyl groups being attached to the same acyclic carbon chain, e.g. gamma-aminobutyric acid [GABA], beta-alanine, epsilon-aminocaproic acid or pantothenic acid
- A61K31/198—Alpha-amino acids, e.g. alanine or edetic acid [EDTA]
-
- A—HUMAN NECESSITIES
- A61—MEDICAL OR VETERINARY SCIENCE; HYGIENE
- A61K—PREPARATIONS FOR MEDICAL, DENTAL OR TOILETRY PURPOSES
- A61K31/00—Medicinal preparations containing organic active ingredients
- A61K31/185—Acids; Anhydrides, halides or salts thereof, e.g. sulfur acids, imidic, hydrazonic or hydroximic acids
- A61K31/19—Carboxylic acids, e.g. valproic acid
- A61K31/20—Carboxylic acids, e.g. valproic acid having a carboxyl group bound to a chain of seven or more carbon atoms, e.g. stearic, palmitic, arachidic acids
-
- A—HUMAN NECESSITIES
- A61—MEDICAL OR VETERINARY SCIENCE; HYGIENE
- A61K—PREPARATIONS FOR MEDICAL, DENTAL OR TOILETRY PURPOSES
- A61K31/00—Medicinal preparations containing organic active ingredients
- A61K31/33—Heterocyclic compounds
- A61K31/395—Heterocyclic compounds having nitrogen as a ring hetero atom, e.g. guanethidine or rifamycins
- A61K31/40—Heterocyclic compounds having nitrogen as a ring hetero atom, e.g. guanethidine or rifamycins having five-membered rings with one nitrogen as the only ring hetero atom, e.g. sulpiride, succinimide, tolmetin, buflomedil
- A61K31/401—Proline; Derivatives thereof, e.g. captopril
-
- A—HUMAN NECESSITIES
- A61—MEDICAL OR VETERINARY SCIENCE; HYGIENE
- A61K—PREPARATIONS FOR MEDICAL, DENTAL OR TOILETRY PURPOSES
- A61K31/00—Medicinal preparations containing organic active ingredients
- A61K31/33—Heterocyclic compounds
- A61K31/395—Heterocyclic compounds having nitrogen as a ring hetero atom, e.g. guanethidine or rifamycins
- A61K31/40—Heterocyclic compounds having nitrogen as a ring hetero atom, e.g. guanethidine or rifamycins having five-membered rings with one nitrogen as the only ring hetero atom, e.g. sulpiride, succinimide, tolmetin, buflomedil
- A61K31/4015—Heterocyclic compounds having nitrogen as a ring hetero atom, e.g. guanethidine or rifamycins having five-membered rings with one nitrogen as the only ring hetero atom, e.g. sulpiride, succinimide, tolmetin, buflomedil having oxo groups directly attached to the heterocyclic ring, e.g. piracetam, ethosuximide
-
- A—HUMAN NECESSITIES
- A61—MEDICAL OR VETERINARY SCIENCE; HYGIENE
- A61K—PREPARATIONS FOR MEDICAL, DENTAL OR TOILETRY PURPOSES
- A61K31/00—Medicinal preparations containing organic active ingredients
- A61K31/33—Heterocyclic compounds
- A61K31/395—Heterocyclic compounds having nitrogen as a ring hetero atom, e.g. guanethidine or rifamycins
- A61K31/41—Heterocyclic compounds having nitrogen as a ring hetero atom, e.g. guanethidine or rifamycins having five-membered rings with two or more ring hetero atoms, at least one of which being nitrogen, e.g. tetrazole
-
- A—HUMAN NECESSITIES
- A61—MEDICAL OR VETERINARY SCIENCE; HYGIENE
- A61K—PREPARATIONS FOR MEDICAL, DENTAL OR TOILETRY PURPOSES
- A61K31/00—Medicinal preparations containing organic active ingredients
- A61K31/33—Heterocyclic compounds
- A61K31/395—Heterocyclic compounds having nitrogen as a ring hetero atom, e.g. guanethidine or rifamycins
- A61K31/41—Heterocyclic compounds having nitrogen as a ring hetero atom, e.g. guanethidine or rifamycins having five-membered rings with two or more ring hetero atoms, at least one of which being nitrogen, e.g. tetrazole
- A61K31/4245—Oxadiazoles
-
- A—HUMAN NECESSITIES
- A61—MEDICAL OR VETERINARY SCIENCE; HYGIENE
- A61K—PREPARATIONS FOR MEDICAL, DENTAL OR TOILETRY PURPOSES
- A61K31/00—Medicinal preparations containing organic active ingredients
- A61K31/33—Heterocyclic compounds
- A61K31/395—Heterocyclic compounds having nitrogen as a ring hetero atom, e.g. guanethidine or rifamycins
- A61K31/41—Heterocyclic compounds having nitrogen as a ring hetero atom, e.g. guanethidine or rifamycins having five-membered rings with two or more ring hetero atoms, at least one of which being nitrogen, e.g. tetrazole
- A61K31/433—Thidiazoles
-
- A—HUMAN NECESSITIES
- A61—MEDICAL OR VETERINARY SCIENCE; HYGIENE
- A61K—PREPARATIONS FOR MEDICAL, DENTAL OR TOILETRY PURPOSES
- A61K45/00—Medicinal preparations containing active ingredients not provided for in groups A61K31/00 - A61K41/00
- A61K45/06—Mixtures of active ingredients without chemical characterisation, e.g. antiphlogistics and cardiaca
-
- A—HUMAN NECESSITIES
- A61—MEDICAL OR VETERINARY SCIENCE; HYGIENE
- A61P—SPECIFIC THERAPEUTIC ACTIVITY OF CHEMICAL COMPOUNDS OR MEDICINAL PREPARATIONS
- A61P1/00—Drugs for disorders of the alimentary tract or the digestive system
-
- A—HUMAN NECESSITIES
- A61—MEDICAL OR VETERINARY SCIENCE; HYGIENE
- A61P—SPECIFIC THERAPEUTIC ACTIVITY OF CHEMICAL COMPOUNDS OR MEDICINAL PREPARATIONS
- A61P1/00—Drugs for disorders of the alimentary tract or the digestive system
- A61P1/08—Drugs for disorders of the alimentary tract or the digestive system for nausea, cinetosis or vertigo; Antiemetics
-
- A—HUMAN NECESSITIES
- A61—MEDICAL OR VETERINARY SCIENCE; HYGIENE
- A61P—SPECIFIC THERAPEUTIC ACTIVITY OF CHEMICAL COMPOUNDS OR MEDICINAL PREPARATIONS
- A61P19/00—Drugs for skeletal disorders
- A61P19/02—Drugs for skeletal disorders for joint disorders, e.g. arthritis, arthrosis
-
- A—HUMAN NECESSITIES
- A61—MEDICAL OR VETERINARY SCIENCE; HYGIENE
- A61P—SPECIFIC THERAPEUTIC ACTIVITY OF CHEMICAL COMPOUNDS OR MEDICINAL PREPARATIONS
- A61P21/00—Drugs for disorders of the muscular or neuromuscular system
-
- A—HUMAN NECESSITIES
- A61—MEDICAL OR VETERINARY SCIENCE; HYGIENE
- A61P—SPECIFIC THERAPEUTIC ACTIVITY OF CHEMICAL COMPOUNDS OR MEDICINAL PREPARATIONS
- A61P25/00—Drugs for disorders of the nervous system
-
- A—HUMAN NECESSITIES
- A61—MEDICAL OR VETERINARY SCIENCE; HYGIENE
- A61P—SPECIFIC THERAPEUTIC ACTIVITY OF CHEMICAL COMPOUNDS OR MEDICINAL PREPARATIONS
- A61P25/00—Drugs for disorders of the nervous system
- A61P25/02—Drugs for disorders of the nervous system for peripheral neuropathies
-
- A—HUMAN NECESSITIES
- A61—MEDICAL OR VETERINARY SCIENCE; HYGIENE
- A61P—SPECIFIC THERAPEUTIC ACTIVITY OF CHEMICAL COMPOUNDS OR MEDICINAL PREPARATIONS
- A61P25/00—Drugs for disorders of the nervous system
- A61P25/06—Antimigraine agents
-
- A—HUMAN NECESSITIES
- A61—MEDICAL OR VETERINARY SCIENCE; HYGIENE
- A61P—SPECIFIC THERAPEUTIC ACTIVITY OF CHEMICAL COMPOUNDS OR MEDICINAL PREPARATIONS
- A61P25/00—Drugs for disorders of the nervous system
- A61P25/18—Antipsychotics, i.e. neuroleptics; Drugs for mania or schizophrenia
-
- A—HUMAN NECESSITIES
- A61—MEDICAL OR VETERINARY SCIENCE; HYGIENE
- A61P—SPECIFIC THERAPEUTIC ACTIVITY OF CHEMICAL COMPOUNDS OR MEDICINAL PREPARATIONS
- A61P25/00—Drugs for disorders of the nervous system
- A61P25/22—Anxiolytics
-
- A—HUMAN NECESSITIES
- A61—MEDICAL OR VETERINARY SCIENCE; HYGIENE
- A61P—SPECIFIC THERAPEUTIC ACTIVITY OF CHEMICAL COMPOUNDS OR MEDICINAL PREPARATIONS
- A61P25/00—Drugs for disorders of the nervous system
- A61P25/28—Drugs for disorders of the nervous system for treating neurodegenerative disorders of the central nervous system, e.g. nootropic agents, cognition enhancers, drugs for treating Alzheimer's disease or other forms of dementia
-
- A—HUMAN NECESSITIES
- A61—MEDICAL OR VETERINARY SCIENCE; HYGIENE
- A61P—SPECIFIC THERAPEUTIC ACTIVITY OF CHEMICAL COMPOUNDS OR MEDICINAL PREPARATIONS
- A61P29/00—Non-central analgesic, antipyretic or antiinflammatory agents, e.g. antirheumatic agents; Non-steroidal antiinflammatory drugs [NSAID]
-
- A—HUMAN NECESSITIES
- A61—MEDICAL OR VETERINARY SCIENCE; HYGIENE
- A61P—SPECIFIC THERAPEUTIC ACTIVITY OF CHEMICAL COMPOUNDS OR MEDICINAL PREPARATIONS
- A61P37/00—Drugs for immunological or allergic disorders
- A61P37/08—Antiallergic agents
-
- A—HUMAN NECESSITIES
- A61—MEDICAL OR VETERINARY SCIENCE; HYGIENE
- A61P—SPECIFIC THERAPEUTIC ACTIVITY OF CHEMICAL COMPOUNDS OR MEDICINAL PREPARATIONS
- A61P43/00—Drugs for specific purposes, not provided for in groups A61P1/00-A61P41/00
-
- A—HUMAN NECESSITIES
- A61—MEDICAL OR VETERINARY SCIENCE; HYGIENE
- A61P—SPECIFIC THERAPEUTIC ACTIVITY OF CHEMICAL COMPOUNDS OR MEDICINAL PREPARATIONS
- A61P5/00—Drugs for disorders of the endocrine system
Definitions
- This invention relates to the use of certain alpha2delta ligands for the treatment of fibromyalgia and other central nervous system disorders.
- Fibromyalgia is a chronic syndrome characterized mainly by widespread pain, unrefreshing sleep, disturbed mood, and fatigue.
- the main symptoms fibromyalgia include pain, sleep, mood disturbances and fatigue.
- Syndromes commonly associated with fibromyalgia include irritable bowel syndrome, and migraine headaches, among others.
- Success of treating fibromyalgia with a single pharmacological agent has been characterized as modest and results of clinical trials have been characterized as disappointing. It is believed that based on current understanding of the mechanisms and pathways involved in fibromyalgia, multiple agents will be required, aimed at the major symptoms of pain, disturbed sleep, mood disturbances, and fatigue.
- Fibromyalgia patients are often sensitive to side effects of medications, a characteristic perhaps related to the pathophysiology of this disorder (Barldiuizen A, Rational and Targeted pharmacologic treatment of fibromyalgia. Rheum Dis Clin N Am 2002; 28: 261-290; Leventhal LJ. Management of fibromyalgia. Ann Intern Med 1999;131:850-8). While fibromyalgia is a complex disorder with multiple facets, this complexity can be well assessed (Yunus MB, A comprehensive medical evaluation of patients with fibromyalgia syndrome, Rheum Dis N Am 2002; 28:201-217). The diagnosis of FM is usually based on the 1990 recommendations of the American College of Rheumatology classification criteria (Bennett RM, The rational management of fibromyalgia patients. Rheum Dis Clin N Am 2002;
- Gabapentin, pregabalin and other alpha2delta ligands including 4H- [ 1 ,2,4] oxadiazol-5 -one, C- [ 1 -( lH-Tetrazol-5 -ylmethyl)-cycloheptyl] - methylamine, (3S,4S)-(l-Aminomethyl-3,4-dimethyl-cyclopentyl)-acetic acid,
- This invention relates to a method for treating a disorder in a mammal, including a human, comprising administering to said mammal a therapeutically effective amount of a compound of formula 1 or 1A
- R is hydrogen or a lower alkyl
- Rl to Rl4 are each independently selected from hydrogen, straight or branched alkyl of from 1 to 6 carbons, phenyl, benzyl, fluorine, chlorine, bromine, hydroxy, hydroxymethyl, amino, aminomethyl, trifluoromethyl, -CO2H,
- -CO2R 15 -CH2CO2H, -CH2CO2R 15 , -OR 15 wherein R 15 is a straight or branched alkyl of from 1 to 6 carbons, phenyl, or benzyl, and Rl to R ⁇ are not simultaneously hydrogen., and wherein said disorder is selected from obsessive- compulsive disorder (OCD), phobias, post traumatic stress disorder (PTSD), and fibromyalgia.
- OCD obsessive- compulsive disorder
- phobias phobias
- PTSD post traumatic stress disorder
- fibromyalgia fibromyalgia
- a more specific embodiment of this invention relates to the above method wherein the disorder being treated is a phobia selected from agoraphobia, agoraphobia without history of panic disorder, specific phobia, and social phobia.
- Another more specific embodiment of this invention relates to the above method wherein the compound administered is (3S, 4S)-(l-Aminomethyl-3,4- dimethyl-cyclopentyl)-acetic acid or a pharmaceutically acceptable salt thereof.
- Another more specific embodiment of this invention relates to the above method wherein the compound administered is (3S, 4S)-(l-Aminomethyl-3,4- dimethyl-cyclopentyl)-acetic acid or a pharmaceutically acceptable salt thereof, and wherein the disorder is OCD, PTSD, or a phobia.
- Another more specific embodiment of this invention relates to the above method wherein the compound administered is (3S, 4S)-(l-Aminomethyl-3,4- dimethyl-cyclopentyl)-acetic acid or a pharmaceutically acceptable salt thereof, and wherein the disorder is a phobia selected from agoraphobia and specific phobias.
- Another more specific embodiment of the invention relates to the above method wherein the disorder being treated is fibromyalgia.
- Another more specific embodiment of the invention relates to the above method for treating fibromyalgia, wherein the compound of formula 1 or 1A is (3S, 4S)-(l-aminomethyl-3,4-dimethyl-cyclopentyl)-acetic acid or a pharmaceutically acceptable salt thereof.
- the invention also relates to a method for treating fibromyalgia and a concomitant disorder in a mammal, including a human, comprising administering to said mammal a therapeutically effective amount of a compound of formula 1 or 1A or a pharmaceutically acceptable salt thereof wherein said concomitant disorder is independently selected from migraine headaches, temporomandibular joint dysfunction, dysautonomia, endocrine dysfunction, dizziness, cold intolerance, chemical sensitivity, sicca symptoms, cognitive dysfunction, generalized anxiety disorder, premenstrual dysphoric dysthemia, irritable bowel syndrome, functional abdominal pain, neuropathic pain, somatoform disorders,
- a more specific embodiment of this invention relates to the above method for treating fibromyalgia and a concomitant disorder wherein the compound administered is (3S, 4S)-(l-Aminomethyl-3,4-dimethyl-cyclopentyl)-acetic acid or a pharmaceutically acceptable salt thereof.
- a more specific embodiment of this invention relates to the above method for treating fibromyalgia and a concomitant disorder wherein said concomitant disorder is generalized anxiety disorder, dysphoric dysthemia, irritable bowel syndrome, functional abdominal pain, neuropathic pain, a somatoform disorder, or migraine headache.
- said concomitant disorder is generalized anxiety disorder, dysphoric dysthemia, irritable bowel syndrome, functional abdominal pain, neuropathic pain, a somatoform disorder, or migraine headache.
- This invention also relates to a method of treating a disorder or condition selected from acute pain, chronic pain, pain resulting from soft tissue and peripheral damage such as acute trauma; complex regional pain syndrome also referred to as reflex sympathetic dystrophy; postherpetic neuralgia, occipital neuralgia, trigeminal neuralgia, segmental or intercostal neuralgia and other neuralgias; pain associated with osteoarthritis and rheumatoid arthritis; musculo- skeletal pain such as pain associated with strains, sprains and trauma such as broken bones; spinal pain, central nervous system pain such as pain due to spinal cord or brain stem damage; lower back pain, sciatica, dental pain, myofascial pain syndromes, episiotomy pain, gout pain, and pain resulting from burns; deep and visceral pain, such as heart pain; muscle pain, eye pain, inflammatory pain, orofacial pain, for example, odontalgia; abdominal pain, and gynec
- This invention also relates to a method of treating a disorder or condition selected from the group consisting of mood disorders, such as depression, or more particularly, depressive disorders, for example, single episodic or recurrent major depressive disorder, severe unipolar recurrent major depressive episodes, dysthymic disorder, depressive neurosis and neurotic depression, melancholic depression including anorexia, weight loss, insomnia, early morning waking or psychomotor retardation, atypical depression (or reactive depression) including increased appetite, hypersomnia, psychomotor agitation or irritability; treatment resistant depression; seasonal affective disorder and pediatric depression; premenstrual syndrome, premenstrual dysphoric disorder, hot flashes, bipolar disorders or manic depression, for example, bipolar I disorder, bipolar JJ disorder and cyclothymic disorder; seasonal affective disorder, conduct disorder and disruptive behavior disorder; stress related somatic disorders and anxiety disorders, such as childhood anxiety disorder, panic disorder with or without agoraphobia, phobia including agoraphobia without history of panic disorder and specific phobias (e
- a compound employed in the methods of the present invention may be used in conjunction with other antidepressant or anti-anxiety agents.
- Suitable classes of antidepressant agents include norepinephrine reuptake inhibitors, selective serotonin reuptake inhibitors (SSRIs), monoamine oxidase inhibitors (MAOIs), reversible inhibitors of monoamine oxidase (RLMAs), serotonin and noradrenaline reuptake inhibitors (SNRIs), corticotropin releasing factor (CRF) antagonists, - adrenoreceptor antagonists and atypical antidepressants.
- SSRIs selective serotonin reuptake inhibitors
- MAOIs monoamine oxidase inhibitors
- RLMAs reversible inhibitors of monoamine oxidase
- SNRIs serotonin and noradrenaline reuptake inhibitors
- CRF corticotropin releasing factor
- Suitable norepinephrine reuptake inhibitors include tertiary amine tricyclics and secondary amine tricyclics. Suitable examples of tertiary amine tricyclics include amitriptyline, clomipramine, doxepin, imipramine and trimipramine, and pharmaceutically acceptable salts thereof. Suitable examples of secondary amine tricyclics include amoxapine, desipramine, maprotiline, nortriptyline and protriptyline, and pharmaceutically acceptable salts thereof. Suitable selective serotonin reuptake inhibitors include fluoxetine, fluvoxamine, paroxetine and sertraline, and pharmaceutically acceptable salts thereof.
- Suitable monoamine oxidase inhibitors include isocarboxazid, phenelzine, tranylcypromine and selegiline, and pharmaceutically acceptable salts thereof.
- Suitable reversible inhibitors of monoamine oxidase include moclobemide, and pharmaceutically acceptable salts thereof.
- Suitable serotonin and noradrenaline reuptake inhibitors of use in the present invention include venlafaxine, and pharmaceutically acceptable salts thereof.
- Suitable CRF antagonists include those compounds described in International Patent Application Nos. WO 94/13643, WO 94/13644, WO 94/13661, WO 94/13676 and WO 94/13677.
- Suitable atypical anti-depressants include bupropion, lithium, nefazodone, trazodone and viloxazine, and pharmaceutically acceptable salts thereof.
- Suitable classes of anti-anxiety agents include benzodiazepines and 5-HT ⁇ A agonists or antagonists, especially 5-HTIA partial agonists, and corticotropin releasing factor (CRF) antagonists.
- Suitable benzodiazepines include alprazolam, chlordiazepoxide, clonazepam, chlorazepate, diazepam, halazepam, lorazepam, oxazepam, and prazepam, and pharmaceutically acceptable salts thereof.
- Suitable 5-HT IA receptor agonists or antagonists include, in particular, the 5-HT IA receptor partial agonists buspirone, flesinoxan, gepirone and ipsapirone, and pharmaceutically acceptable salts thereof.
- This invention also relates to a method of treating a disorder or condition selected from the group consisting of sleep disorders such as insomnia (e.g., primary insomnia including psychophysiological and idiopathic insomnia, secondary insomnia including insomnia secondary to restless legs syndrome, insomnia related to peri- and/or postmenopause, Parkinson's disease or another chronic disorder, and transient insomnia), somnambulism, sleep deprivation, REM sleep disorders, sleep apnea, hypersomnia, parasomnias, sleep-wake cycle disorders, jet lag, narcolepsy, sleep disorders associated with shift work or irregular work schedules, deficient sleep quality due to a decrease in slow wave sleep caused by medications or other sources, and other sleep disorders in a mammal, in a mammal, comprising administering to a mammal in need of such treatment a therapeutically effective amount of therapeutically effective amount of a compound of formula 1 or 1A, or a pharmaceutically acceptable salt thereof.
- insomnia e.g., primary insomnia including psychophysiological and i
- This invention also relates to a method of increasing slow wave sleep and increasing growth hormone secretion in a human subject in a mammal, comprising administering to a human subject in need of such treatment a therapeutically effective amount of therapeutically effective amount of a compound of formula 1 or 1A, or a pharmaceutically acceptable salt thereof.
- This invention also relates to a method of treating a disorder or condition selected from the group consisting of respiratory diseases, particularly those associated with excess mucus secretion, such as chronic obstructive airways disease, bronchopneumonia, chronic bronchitis, cystic fibrosis, adult respiratory distress syndrome, and bronchospasm; cough, whooping cough, angiotensin converting enzyme (ACE) induced cough, pulmonary tuberculosis, allergies such as eczema and rhinitis; contact dermatitis, atopic dermatitis, urticaria, and other eczematoid dermatitis; itching, hemodialysis associated itching; inflammatory diseases such as inflammatory bowel disease, psoriasis, osteoarthritis, cartilage damage (e.g., cartilage damage resulting from physical activity or osteoarthritis), rheumatoid arthritis, psoriatic arthritis, asthma, pruritis and sunburn; and hypersensitivity
- Other more specific methods of this invention include any of the above methods wherein the compound of formula 1 or 1A is administered to a human for the treatment of any two or more comorbid disorders or conditions selected from those disorders and conditions referred to in any of the above methods.
- Another more specific embodiment of this invention relates to any of the above methods for treating fibromyalgia wherein the compound of formula 1 or 1A is administered to a human for the treatment of fibromyalgia and concomitant generalized anxiety disorder.
- Another more specific embodiment of this invention relates to any of the above methods wherein the compound of formula 1 or 1A is administered to a human for the treatment of major depressive disorder and concomitant irritable bowel syndrome.
- Another more specific embodiment of this invention relates to any of the above methods wherein the compound of formula 1 or 1A is administered to a human for the treatment of major depressive disorder and concomitant functional abdominal pain.
- Another more specific embodiment of this invention relates to any of the above methods wherein the compound of formula 1 or 1A is administered to a human for the treatment of major depressive disorder and concomitant neuropathic pain.
- Another more specific embodiment of this invention relates to any of the above methods wherein the compound of formula 1 or 1A is administered to a human for the treatment of fibromyalgia and concomitant premenstrual dysphoric disorder.
- Another more specific embodiment of this invention relates to any of the above methods wherein the compound of formula 1 or 1A is administered to a human for the treatment of major depressive disorder and concomitant dysthymia.
- Another more specific embodiment of this invention relates to any of the above methods wherein the compound of formula 1 or 1A is administered to a human for the treatment of major depressive disorder and concomitant fibromyalgia.
- Another more specific embodiment of this invention relates to any of the above methods wherein the compound of formula 1 or 1A is administered to a human for the treatment of dysthymia and concomitant fibromyalgia.
- Another more specific embodiment of this invention relates to any of the above methods wherein the compound of formula 1 or 1A is administered to a human for the treatment of major depressive disorder and a concomitant somatoform disorder selected from somatization disorder, conversion disorder, body dysmorphic disorder, hypochondriasis, somatoform pain disorder, undifferentiated somatoform disorder and somatoform disorder not otherwise specified.
- a concomitant somatoform disorder selected from somatization disorder, conversion disorder, body dysmorphic disorder, hypochondriasis, somatoform pain disorder, undifferentiated somatoform disorder and somatoform disorder not otherwise specified.
- Another more specific embodiment of this invention relates to any of the above methods wherein the compound of formula 1 or 1A is administered to a human for the treatment of generalized anxiety disorder and concomitant dysthymia.
- Another more specific embodiment of this invention relates to any of the above methods wherein the compound of formula 1 or 1A is administered to a human for the treatment of generalized anxiety disorder and concomitant fibromyalgia.
- Another more specific embodiment of this invention relates to any of the above methods wherein the compound of formula 1 or 1A is administered to a human for the treatment of generalized anxiety disorder and a concomitant somatoform disorder selected from somatization disorder, conversion disorder, hypochondriasis, somatoform pain disorder (or simply "pain disorder"), body dysmorphic disorder, undifferentiated somatoform disorder, and somatoform disorder not otherwise specified.
- somatization disorder somatization disorder, conversion disorder, hypochondriasis, somatoform pain disorder (or simply "pain disorder")
- body dysmorphic disorder undifferentiated somatoform disorder
- somatoform disorder not otherwise specified See Diagnostic and Statistical manual of Mental Disortders, Fourth Edition (DSM-IN), American Psychiatric Association, Washington, D.C., May 1194, pp. 435-436.
- Another more specific embodiment of this invention relates to any of the above methods wherein the compound of formula 1 or 1A is administered to a human for the treatment of fibromyalgia and a concomitant somatoform disorder selected from somitization disorder, conversion disorder, hypochondriasis, somatoform pain disorder (or simply "pain disorder"), body dysmorphic disorder, undifferentiated somatoform disorder, and somatoform disorder not otherwise specified.
- a concomitant somatoform disorder selected from somitization disorder, conversion disorder, hypochondriasis, somatoform pain disorder (or simply "pain disorder"), body dysmorphic disorder, undifferentiated somatoform disorder, and somatoform disorder not otherwise specified.
- Another more specific embodiment of this invention relates to any of the above methods wherein the compound of formula 1 or 1A is administered to a human for the treatment of major depressive disorder accompanied by one or more somatic symptoms selected from loss of appetite, sleep disturbances (e.g., insomnia, interrupted sleep, early morning awakening, tired awakening), loss of libido, restlessness, fatigue, constipation, dyspepsia, heart palpitations, aches and pains (e.g., headache, neck pain, back pain, limb pain, joint pain, abdominal pain), dizziness, nausea, heartburn, nervousness, tremors, burning and tingling sensations, morning stiffness, abdominal symptoms (e.g., abdominal pain, abdominal distention, gurgling, diarrhea), and the symptoms associated with generalized anxiety disorder (e.g., excessive anxiety and worry (apprehensive expectation), occurring more days than not for at least six months, about a number of events and activities, difficulty controlling the worry, etc.) See Diagnostic and Statistical manual of Mental Disorders, Fourth Edition (DSM
- Another more specific embodiment of this invention relates to any of the above methods wherein the formula 1 or 1A is administered to a human for the treatment of major depressive disorder accompanied by one or more somatic symptoms selected from fatigue, headache, neck pain, back pain, limb pain, joint pain, abdominal pain, abdominal distention, gurgling, diarrhea nervousness, and the symptoms associated with generalized anxiety disorder (e.g., excessive anxiety and worry (apprehensive expectation), occurring more days than not for at least six months, about a number of events and activities, difficulty controlling the worry, etc.
- generalized anxiety disorder e.g., excessive anxiety and worry (apprehensive expectation)
- DSM- IN Diagnostic and Statistical manual of Mental Disorders, Fourth Edition (DSM- IN), American Psychiatric Association, Washington, D.C., May 1194, pp. 435-436 and 445-469.
- Another more specific embodiment of this invention relates to any of the above methods wherein the compound of formula 1 or 1A is administered to a human for the treatment of generalized anxiety disorder accompanied by one or more somatic symptoms selected from loss of appetite, sleep disturbances (e.g., insomnia, interrupted sleep, early morning awakening, tired awakening), loss of libido, restlessness, fatigue, constipation, dyspepsia, heart palpitations, aches and pains (e.g., headache, neck pain, back pain, limb pain, joint pain, abdominal pain), dizziness, nausea, heartburn, nervousness, tremors, burning and tingling sensations, morning stiffness, abdominal symptoms (e.g., abdominal pain, abdominal distention, gurgling, diarrhea), and the symptoms associated with major depressive disorder (e.g., sadness, tearfulness, loss of interest, fearfulness, helplessness, hopelessness, fatigue, low self esteem, obsessive ruminations, suicidal thoughts, impaired memory and concentration, loss of motivation, paralysis of will,
- Another more specific embodiment of this invention relates to any of the above methods wherein the compound of formula 1 or 1A is administered to a human for the treatment of generalized anxiety disorder accompanied by one or more somatic symptoms selected from fatigue, headache, neck pain, back pain, limb pain, joint pain, abdominal pain, abdominal distention, gurgling, diarrhea nervousness, and the symptoms associated with major depressive disorder (e.g., sadness, tearfulness, loss of interest, fearfulness, helplessness, hopelessness, low self esteem, obsessive ruminations, suicidal thoughts, fatigue, impaired memory and concentration, loss of motivation, paralysis of will, reduced appetite, increased appetite).
- major depressive disorder e.g., sadness, tearfulness, loss of interest, fearfulness, helplessness, hopelessness, low self esteem, obsessive ruminations, suicidal thoughts, fatigue, impaired memory and concentration, loss of motivation, paralysis of will, reduced appetite, increased appetite.
- This invention also relates to a method of treating a disorder or condition selected from the group consisting of sleep disorders such as insomnia (e.g., primary insomnia including psychophysiological and idiopathic insomnia, secondary insomnia including insomnia secondary to restless legs syndrome, Parkinson's disease or another chronic disorder, and transient insomnia), somnambulism, sleep deprivation, REM sleep disorders, sleep apnea, hypersomnia, parasomnias, sleep- wake cycle disorders, jet lag, narcolepsy, sleep disorders associated with shift work or irregular work schedules, deficient sleep quality due to a decrease in slow wave sleep caused by medications or other sources, and other sleep disorders in a mammal, comprising administering to a mammal in need of such treatment a therapeutically effective amount of a compound of the formula 1 or 1A, or a pharmaceutically acceptable salt thereof.
- insomnia e.g., primary insomnia including psychophysiological and idiopathic insomnia, secondary insomnia including insomnia secondary to restless legs syndrome, Parkinson's disease or another chronic disorder, and
- This invention also relates to a method of increasing slow wave sleep in a human subject comprising administering to a human subject in need of such treatment a therapeutically effective amount of a compound of the formula 1 or 1A or a pharmaceutically acceptable salt thereof.
- This invention also relates to a method of increasing slow wave sleep in a human subject comprising administering to a human subject in need of such treatment: (a) a compound of the formula 1 or 1A or a pharmaceutically acceptable salt thereof; and
- a more specific embodiment of this invention relates to the above method wherein the human growth hormone secretagogue that is employed is 2-amino-N- [2-(3a-benzyl-2-methyl-3-oxo-2,3,3a,4,6,7-hexahydro-pyrazole[4,3-c]pyridin-5- yl)-l-benzyloxymethyl-2-oxo-ethyl]-2-methyl-proprionamide.
- This invention also relates to a method of increasing slow wave sleep in a human subject being treated with an active pharmaceutical agent that decreases slow wave sleep, such as morphine or another opioid analgesic agent or a benzodiazepine, comprising administering to a human subject in need of such treatment:
- a more specific embodiment of this invention relates to the above method wherein the human growth hormone secretagogue that is employed is 2-amino-N-
- This invention also relates to a method of increasing slow wave sleep in a human subject being treated with an active pharmaceutical agent that decreases slow wave sleep, such as morphine or another opioid analgesic agent, comprising administering to such human subject an amount of a compound of the formula 1 or 1A, as defined above, or a pharmaceutically acceptable salt thereof, that is effective in increasing slow wave sleep.
- an active pharmaceutical agent that decreases slow wave sleep such as morphine or another opioid analgesic agent
- This invention also relates to a method of treating irritable bowel syndrome in a mammal, preferably a human, comprising administering to a human subject in need of such treatment a therapeutically effective amount of a compound of the formula 1 or 1A, or a pharmaceutically acceptable salt thereof.
- Preferred embodiments of the invention are the above methods that employ compounds of formula 1 wherein Rl to Rl4 are selected from hydrogen, methyl, ethyl, propyl, isopropyl, butyl straight or branched, phenyl, or benzyl.
- More preferred embodiments of the invention are the above methods that employ compounds of formula 1 wherein Rl to R*4 are selected from hydrogen, methyl, ethyl, or benzyl.
- Especially preferred embodiments of this invention relate to any of the above methods wherein the compound being administered is (3S, 4S)-(1- Aminomethyl-3 ,4-dimethyl-cyclopentyl)-acetic acid.
- lower alkyl is a straight or branched group of from 1 to 4 carbons.
- alkyl is a straight or branched group of from 1 to 6 carbon atoms including but not limited to methyl, ethyl, propyl, n-propyl, isopropyl, butyl, 2-butyl, tert-butyl, pentyl, except as where otherwise stated.
- the benzyl and phenyl groups of compounds of the formulas 1 and 1A may be unsubstituted or substituted by from 1 to 3 substituents selected from hydroxy, carboxy, carboalkoxy, halogen, CF3, nitro, alkyl, and alkoxy. Preferred are halogens.
- amino acids are amphoteric
- pharmacologically compatible salts when R is hydrogen can be salts of appropriate inorganic or organic acids, for example, hydrochloric, sulphuric, phosphoric, acetic, oxalic, lactic, citric, malic, salicylic, malonic, maleic, succinic, methanesulfonic acid, and ascorbic.
- salts with alkali metals or alkaline earth metals for example, sodium, potassium, magnesium, or calcium are formed.
- Salts with quaternary ammonium ions can also be prepared with, for example, the teframethyl-ammonium ion.
- the carboxyl group of the amino acids can be esterified by known means. j
- Certain of the compounds employed in the methods of the present invention can exist in unsolvated forms as well as solvated forms, including hydrated forms. In general, the solvated forms, including hydrated forms, are equivalent to unsolvated forms and are intended to be encompassed within the scope of the present invention.
- Certain of the compounds employed in the methods of the present invention possess one or more chiral centers and each center may exist in the R(D) or S(L) configuration.
- the present invention includes all enantiomeric and epimeric forms as well as the appropriate mixtures thereof.
- the compounds of this invention can be combined with other agents including antidepressant and/or anti-anxiety agents.
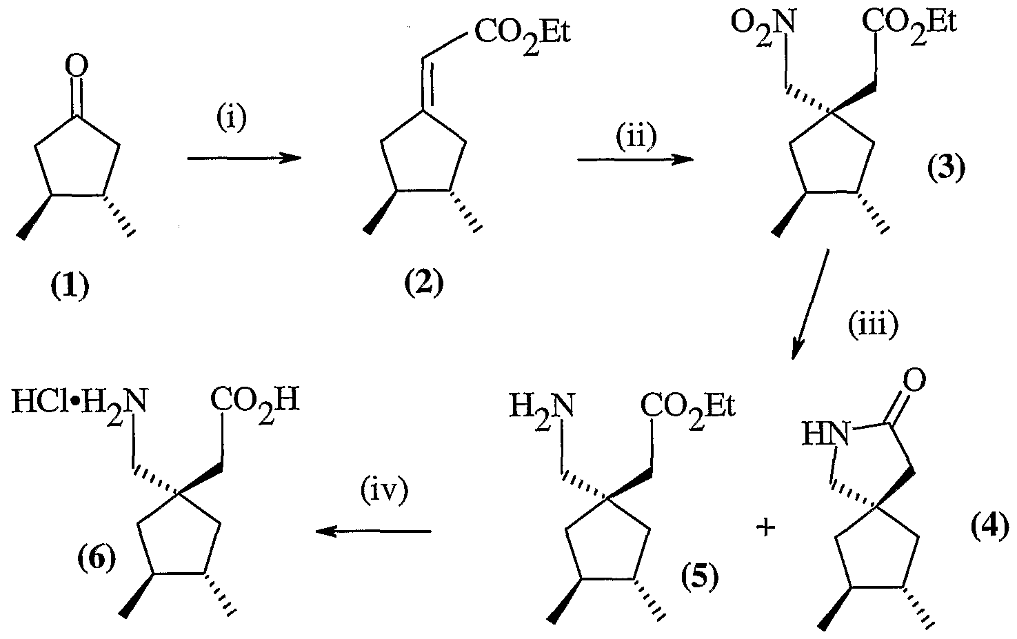
- Both the 4- and 5-membered ring compounds of formulas 1 and 1A may be synthesized by the routes outlined below for the 5-membered ring system.
- the compounds of formulas 1 and 1A may be synthesized, for example, by utilizing the general strategy (General Scheme 1) outlined by G. Griffiths et al., Helv. Chim. Acta, 1991;74:309. Alternatively, they may also be made as shown (General Scheme 2), analogously to the published procedure for the synthesis of 3-oxo- 2,8-diazaspiro[4,5]decane-8-carboxylic acid tert-butyl ester (P. W. Smith et al., J. Med. Chem., 1995;38:3772).
- the compounds may also be synthesized by the methods outlined by G. Satzinger et al., (Ger Offen 2,460,891; US 4,024,175, and Ger Offen 2,611,690; US.4,152,326) (General Schemes 3 and 4).
- the compounds may also be synthesized by the route outlined by G. Griffiths et al., Helv. Chim. Acta, 1991;74:309 (General Scheme 5).
- General Scheme 1 General Scheme 1
- Ph3P CHCO2Me;
- HCI HCI
- the compounds of the present invention can be prepared and administered in a wide variety of oral and parenteral dosage forms.
- the compounds of the present invention can be administered by injection, that is, intravenously, intramuscularly, intracutaneously, subcutaneously, intraduodenally, or intaperitoneally.
- the compounds of the present invention can be administered by inhalation, for example, intranasally.
- the compounds of the present invention can be administered ttansdermally.
- the following dosage forms may comprise as the active component, either a compound of formula 1 or 1A or a corresponding pharmaceutically acceptable salt of a compound of formula 1 or 1A.
- pharmaceutically acceptable carriers can be either solid or liquid.
- Solid form preparations include powders, tablets, pills, capsules, cachets, suppositories, and dispersible granules.
- a solid carrier can be one or more substances which may also act as diluents, flavoring agents, binders, preservatives, tablet disintegrating agents, or an encapsulating material.
- the carrier is a finely divided solid which is in a mixture with the finely divided active component.
- the active component is mixed with the carrier having the necessary binding properties in suitable proportions and compacted in the shape and size desired.
- the powders and tablets preferably contain from five or ten to about seventy percent of the active compound.
- Suitable carriers are magnesium carbonate, magnesium stearate, talc, sugar, lactose, pectin, dextrin, starch, gelatin, tragacanth, methylcellulose, sodium carboxymethylcellulose, a low melting wax, cocoa butter, and the like.
- the term "preparation" is intended to include the formulation of the active compound with encapsulating material as a carrier providing a capsule in which the active component, with or without other carriers, is surrounded by a carrier, which is thus in association with it.
- cachets and lozenges are included. Tablets, powders, capsules, pills, cachets, and lozenges can be used as solid dosage forms suitable for oral administration.
- a low melting wax such as a mixture of fatty acid glycerides or cocoa butter
- the active component is dispersed homogeneously therein, as by stirring.
- the molten homogenous mixture is then poured into convenient sized molds, allowed to cool, and thereby to solidify.
- Liquid form preparations include solutions, suspensions, and emulsions, for example, water or water propylene glycol solutions.
- liquid preparations can be formulated in solution in aqueous polyethylene glycol solution.
- Aqueous solutions suitable for oral use can be prepared by dissolving the active component in water and adding suitable colorants, flavors, stabilizing and thickening agents as desired.
- Aqueous suspensions suitable for oral use can be made by dispersing the finely divided active component in water with viscous material, such as natural or synthetic gums, resins, methylcellulose, sodium carboxymethylcellulose, and other well-known suspending agents.
- viscous material such as natural or synthetic gums, resins, methylcellulose, sodium carboxymethylcellulose, and other well-known suspending agents.
- solid form preparations which are intended to be converted, shortly before use, to liquid form preparations for oral administration.
- Such liquid forms include solutions, suspensions, and emulsions.
- These preparations may contain, in addition to the active component, colorants, flavors, stabilizers, buffers, artificial and natural sweeteners, dispersants, thickeners, solubilizing agents, and the like.
- the pharmaceutical preparation is preferably in unit dosage form.
- the preparation is subdivided into unit doses containing appropriate quantities of the active component.
- the unit dosage form can be a packaged preparation, the package containing discrete quantities of preparation, such as packeted tablets, capsules, and powders in vials or ampoules.
- the unit dosage form can be a capsule, tablet, cachet, or lozenge itself, or it can be the appropriate number of any of these in packaged form.
- the quantity of active component in a unit dose preparation may be varied or adjusted from 0.1 mg to 1 g according to the particular application and the potency of the active component.
- the drug may be administered three times daily as, for example, capsules of 100 or 300 mg.
- the composition can, if desired, also contain other compatible therapeutic agents.
- the compounds utilized in the pharmaceutical method of this invention are administered at the initial dosage of about 0.01 mg to about 100 mg/kg daily.
- a daily dose range of about 0.01 mg to about 100 mg/kg is preferred.
- the dosages may be varied depending upon the requirements of the patient, the severity of the condition being treated, and the compound being employed. Determination of the proper dosage for a particular situation is within the skill of the art. Generally, treatment is initiated with smaller dosages which are less than the optimum dose of the compound. Thereafter, the dosage is increased by small increments until the optimum effect under the circumstances is reached. For convenience, the total daily dosage may be divided and administered in portions during the day, if desired.
- the anxiolytic and antidepressant activity of (3S, 4S)-(l-Aminomethyl- 3,4-dimethyl-cyclopentyl)-acetic acid (“Compound A”) was assessed using the Tail Suspension Test (TST) in mice, and in the Water-lick (Nogel) Conflict Test (WLC) in rats.
- TST Tail Suspension Test
- WLC Water-lick
- the Nogel test is a recognized test procedure for assessing the potential anxiolytic utility.
- the TST procedure is a behavior despair paradigm used to assess potential antidepressant activity.
- the method consisted of suspending mice by a piece of cellophane tape attached to the distal end of the tail for 6 minutes. Animals (CD-I mice, weighing 22 to 27 g, from Charles River Labs) were tested. The test apparatus was the
- TST-2TM (ITEM-Labo, Le Kremmlin-Bicetre Cedex, France). Data were analyzed with analysis of variance (A ⁇ OVA) and Tukey's Multiple Range Test or Student's t-test.
- mice were also tested in the Inverted Screen Test to assess coordination. Animals were given a 1-minute trial in which they had to climb to the top of the inverted screen or to simply hang on and not fall off.
- the modular operant test cage measures 10.25 x 12 x 12 in.
- the test chambers feature 3 modular bays on each side of the cage for a total of 6 bays.
- a module optical lickometer is mounted on one side of the chamber 5 cm above the grid floor. The lickometer is used to measure licking-drinking from a water bottle mounted outside the test chamber.
- a photo beam is piped via glass rods to the tip of the drink tube across a gap at the end of the tube. The animals tongue breaks the beam on each lick.
- the front and back of the test chamber is made of clear Plexiglas. The front door is covered to reduce distractions from inside the test room.
- test chamber The back of the test chamber is facing a wall, away from the flow of traffic within the testing room and remains uncovered to provide the opportunity for observations during testing.
- Shocks are delivered using a (Coulbourn) programmable universal shocker calibrated to deliver a 1 mA shock for 1 second through the drink tube.
- Procedure On Day 1, after a 24-hour water deprivation, experimental subjects were placed into the test chambers and allowed to drink unpunished. Drinking was limited to 500 responses or approximately 5 mL of water during a 10 minute session. Immediately following the unpunished drinking session, rats were returned to their home cages, deprived of water for an additional 24 hours and was food deprived. On test Day 2, rats were dosed with vehicle or Compound
- Quantitative Analysis A quantitative analysis represents the percentage of subjects within a treatment group that receives >20 shock episodes during a test session. This number provides a quantitative comparison regarding the distribution of the responses .
- Compound A was dissolved in water and tested orally as a solution from 0.3 tolOO mg/kg in rats and 3 to 300 mg/kg in mice. Dosages are expressed as the active moiety and were administered in a volume of 1 mL/kg for rats and 10 mL/kg for mice. The profile of typical anxiolytic-like activity in the TST consists of increased immobility while the power of movement is diminished. Compound A and pregabalin were tested concunently (PO) 2 hours after treatment. Compound A was administered at doses ranging from 3 to 100 mg/kg and pregabalin was tested from 3-300 mg/kg and served as positive control (Table 1).
- Compound A dose dependently increases immobility with the MED observed at the 3 mg/kg dosage and maximal effects were seen following the 30 mg/kg dose.
- the power of movement parameter was decreased at the 30 and 100 mg/kg dosages for Compound A which are doses 10 and 30X the MED for increasing immobility.
- pregabalin was tested under similar experimental conditions.
- the MED and onset of activity for pregabalin were shifted to the right on the dose response curve.
- the MED for pregabalin was 10 mg/kg and the maximal effects were observed 2-4 hours after treatment.
- the onset of activity for a dose 3X the Vogel MED (30 mg/kg) was observed 1 hour after treatment and activity was maintained through 8 hours. Peak activity was seen 6 hours post treatment (Table 4).
- Table 1 Dose response effects of Compound A compared to pregabalin in the Tail Suspension Test 2 hours after treatment in mice.
- FMS fibromyalgia syndrome
- patients with fibromyalgia syndrome typically demonstrate widespread, chronic musculoskeletal pain, which is often accompanied by tactile allodynia (pain in response to a relatively light tactile stimulus that is normally not painful).
- tactile allodynia Pain in response to a relatively light tactile stimulus that is normally not painful.
- a rat model of persistent mechanical allodynia has been developed that is consistent with the muscle tenderness found in these patients.
- Multiple injections of acidified saline into the gastrocnemius muscle in rats produce a long- lasting allodynia (conveniently measured at the footpad) that is thought to be centrally mediated (Sluka K, Kalra A, Moore S.
- Unilateral intramuscular injections of acidic saline produce a bilateral, long-lasting hyperalgesia.
- Allodynia was induced as described by Sluka, et al. (Sluka K, Kalra A, Moore S. Unilateral intramuscular injections of acidic saline produce a bilateral, long-lasting hyperalgesia. Muscle Nerve 2001;24:37-46) with minor modifications.
- Male Sprague-Dawley rats (-200 g body weight) in their dark cycle were placed in suspended wire-bottom cages and allowed to acclimate for 0.5 hours.
- the baseline paw withdrawal threshold was determined on the right hind paw by Von Frey monofilament hairs (bending forces of 2.0, 3.6, 5.5, 8.5, 15.1, and 28.8 g) using the Dixon Up-Down method (Dixon W.
- Rats were then orally dosed with 10 mL/kg vehicle (0.5% hydroxypropyl-methylcellulose/0.2% Tween 80) or the indicated dose of compound A.
- Paw withdrawal thresholds were reassessed by Von Frey hairs in blinded fashion 2 hours after dosing for the dose-response study, and 2, 5, 8, and 24 hours after dosing in the time course experiment.
- the inhibition of allodynia was determined for each animal by dividing the increase in paw withdrawal threshold after treatment by the difference between baseline and pretreatment paw withdrawal values. This fraction was then converted to percent inhibition by multiplying by 100.
- the first step involves the conversion of a cyclic ketone to an ⁇ , ⁇ -unsaturated ester 2 via use of a trialkylphosphonoacetate or an
- alkoxycarbonylmethyltriphenylphosphonium halide and a base such as sodium hydride, potassium hydride, lithium- or sodium- or potassium- hexamethyldisilazide, butyllithium or potassium t-butoxide in a solvent such as tetrahydrofuran, dimethylformamide, diethylether or dimethylsulfoxide at a suitable temperature in the range from -78°C to 100°C.
- the second step involves reaction of the ⁇ , ⁇ -unsaturated ester 2 with nitromethane and a suitable base such as tetrabutylammonium fluoride, tetramethylguanidine, 1 ,5-diazabicyclo[4,3,0]non-5-ene, l,8-diazabicyclo[5,4,0]undec-7-ene, a sodium or potassium alkoxide, sodium hydride or potassium fluoride in a solvent such as tetrahydrofuran, diethylether, dimethylformamide, dimethylsulphoxide, benzene, toluene, dichloromethane, chloroform or tetrachloromethane at a suitable temperature in the range from -20°C to 100°C.
- a suitable base such as tetrabutylammonium fluoride, tetramethylguanidine, 1 ,5-diazabicyclo[4,3,0]non-5-en
- the third step involves catalytic hydrogenation of the nitro moiety of 3 using a catalyst such as Raney nickel, palladium on charcoal or rhodium catalyst or other nickel or palladium containing catalyst in a solvent such as methanol, ethanol, isopropanol, ethyl acetate, acetic acid, 1,4-dioxane, chloroform or diethyl ether at a suitable temperature in the range from 20°C to 80°C.
- a catalyst such as Raney nickel, palladium on charcoal or rhodium catalyst or other nickel or palladium containing catalyst in a solvent such as methanol, ethanol, isopropanol, ethyl acetate, acetic acid, 1,4-dioxane, chloroform or diethyl ether
- the fourth step involves hydrolysis of lactam 4 using hydrochloric acid and may also utilize a co-solvent such tetrahydrofuran or 1,4-dioxane or other such inert water miscible solvent at a suitable temperature in the range from 20°C to reflux.
- a co-solvent such tetrahydrofuran or 1,4-dioxane or other such inert water miscible solvent at a suitable temperature in the range from 20°C to reflux.
- the unsaturated ester (2) (2.95 g, 16.2 mmol) was dissolved in tetrahydrofuran (10 mL) and stirred at 70°C with mtromethane (1.9 mL, 35.2 mmol) and tetrabutylammonium fluoride (1.0 M in tetrahydrofuran, 22 mL,
- the lactam (4) (734 mg, 4.40 mmol) was heated to reflux in a mixture of 1,4-dioxan (5 mL) and 6N HCI (15 mL). After 4 hours, the mixture was cooled to room temperature, diluted with water (20 mL), and washed with dichloromethane (3 x 30 mL). The aqueous phase was collected and the solvent removed in vacuo. The residue was triturated with ethyl acetate to give 675 mg (69%) of a white solid after collection and drying.
- the unsaturated ester (2) (5.79 g, 41.4 mmol) was dissolved in tetrahydrofuran (20 mL) and stirred at 70°C with nitromethane (4.67 mL, 86.4 mmol) and tetrabutylammonium fluoride (1.0 M in tetrahydrofuran, 55 mL,
- the nitroester (3) (2.095 g, 10.4 mmol) was dissolved in methanol (50 mL) and shaken over Raney nickel catalyst under an atmosphere of hydrogen (45 psi) at 30°C. After 6 hours, the catalyst was removed by filtration through celite. The solvent was removed in vacuo to give 1.53 g of a pale yellow oil which was used without purification. The oil was dissolved in 1,4-dioxane (5 mL) and
- the unsaturated ester (2) (3.0 g, 17.8 mmol) was dissolved in tetrahydrofuran (20 mL) and stirred at 70°C with nitromethane (1.92 mL, 35.6 mmol) and tetrabutylammonium fluoride (1.0 M in tetrahydrofuran, 25 mL, 25.0 mmol). After 18 hours, the mixture was cooled to room temperature, diluted with ethyl acetate (50 mL), and washed with 2N HCI (30 mL) followed by brine
- the nitroester (3) (1.98 g, 8.66 mmol) was dissolved in methanol (50 mL) and shaken over Raney nickel catalyst under an atmosphere of hydrogen (40 psi) at 30°C. After 18 hours, the catalyst was removed by filtration through celite. The solvent was removed in vacuo and the residue purified by flash chromatography
- the lactam (4) (746 mg, 4.88 mmol) was heated to reflux in a mixture of 1,4-dioxan (5 mL) and 6N HCI (15 mL). After 4 hours, the mixture was cooled to room temperature, diluted with water (20 mL), and washed with dichloromethane (3 x 30 mL). The aqueous phase was collected and the solvent removed in vacuo.
- the unsaturated ester (2) (1.384 g, 7.60 mmol) was dissolved in tetrahydrofuran (10 mL) and stured at 70°C with nitromethane (0.82 mL,
- the nitroester (3) (0.83 g, 3.4 mmol) was dissolved in methanol (30 mL) and shaken over Raney nickel catalyst under an atmosphere of hydrogen (40 psi) at 30°C. After 4 hours, the catalyst was removed by filtration through celite. The solvent was removed in vacuo to give 567 mg (99%) of a pale yellow oil which solidified on standing.
- iH NMR 400 MHz (CDC1 3 ): ⁇ 0.89 (6H, d, J 6 Hz), 1.38 (2H, m), 1.91 (2H, m), 2.10 (2H, m), 2.32 (2H,s), 3.18 (2H, s), 5.61 (IH, br s).
- 1,4-dioxan (5 mL) and 6N HCI (15 mL). After 4 hours, the mixture was cooled to room temperature, diluted with water (20 mL), and washed with dichloromethane (3 x 30 mL). The aqueous phase was collected and the solvent removed in vacuo. The residue was triturated with ethyl acetate to give a white solid which was collected and dried. This was recrystallized from ethyl acetate/methanol to give
- Reagents ( ⁇ ) Triethylphosphonoacetate, NaH; (ii) MeNO2, Bu4N+F"; (iii) H2, Ni; (iv) Hcl.
- Ketone (1) is known in the literature and can be synthesized by the methods outlined therein: Y. Kato, Chem. Pharm. Bull, 1966;14:1438-1439 and related references: W. C. M. C. Kokke, F. A. Narkevisser, J. Org. Chem., 1974;39:1535; R. Baker, D. C. Billington, ⁇ . Eranayake, JCS Chem. Comm., 1981:1234; K. Furuta, K. Iwanaga, H. Yamamoto, Eet. Eett., 1986;27:4507; G. SoUadie, O. Lohse, Eet. Asymm., 1993;4:1547; A. Rosenquist, I. Kvarnstrom, S. C. T. Svensson, B. Classon, B. Samuelsson, Acta Chem. Scand., 1992;46:1127;
- Ketone (1) is known in the literature and can be synthesized by the methods outlined therein: W. C. M. C. Kokke, F. A. Narkevisser, J. Org. Chem.,
- Reagents and conditions (i) (EtO)2POCH2CO 2 Et, NaH, THF; (ii) CH3NO2, nBu 4 NF, THF; (iii) RaNi, H 2 , MeOH; (iv) 6N HCI.
- 3,3-Dimethylcyclopentanone was prepared according to the procedure of Hiegel and Burk, J. Org. Chem., 1973;38:3637.
- Tetrabutylammonium fluoride (5.75 mL of a 1 M solution in THF, 5.75 mmol) was added to a solution of the ester 2 (697 mg, 3.83 mmol) and nitromethane (467 mg, 7.66 mmol) in THF (20 mL) and the mixture heated to 70°C.
- the monoester 1 was prepared according to the procedure described in Tetrahedron: Asymmetry 3, 1992:431.
- the ester 1 is hydrogenated using catalysts such as Raney nickel, palladium on charcoal or rhodium catalyst or other nickel or palladium containing catalyst in a solvent such as methanol, ethanol, isopropanol, ethyl acetate, acetic acid, 1,4-dioxane, chloroform or diethyl ether at a suitable temperature in the range from 20°C to 80°C.
- catalysts such as Raney nickel, palladium on charcoal or rhodium catalyst or other nickel or palladium containing catalyst in a solvent such as methanol, ethanol, isopropanol, ethyl acetate, acetic acid, 1,4-dioxane, chloroform or diethyl ether at a suitable temperature in the range from 20°C to 80°C.
- the alcohol 2 is treated with triphenylphosphine, imidazole, and iodine in a solvent such as ether, tetrahydrofuran, or acetonitrile at 0°C to room temperature to give the iodide 3.
- a solvent such as ether, tetrahydrofuran, or acetonitrile
- the iodide 3 is treated with a suitable reducing agent such as lithium aluminum hydride or lithium borohydride in a solvent such as ether or tetrahydrofuran at temperature between 0°C and or reflux to give the alcohol 4.
- a suitable reducing agent such as lithium aluminum hydride or lithium borohydride in a solvent such as ether or tetrahydrofuran at temperature between 0°C and or reflux
- the alcohol 4 is treated with glyoxylic acid chloride (p-toluenesulfonyl)hydrazone and N,N-dimethylaniline followed by triethylamine in a solvent such as methylene chloride, chloroform, benzene, or toluene to give the diazoacetate 5.
Landscapes
- Health & Medical Sciences (AREA)
- Veterinary Medicine (AREA)
- Life Sciences & Earth Sciences (AREA)
- Public Health (AREA)
- Chemical & Material Sciences (AREA)
- Medicinal Chemistry (AREA)
- General Health & Medical Sciences (AREA)
- Animal Behavior & Ethology (AREA)
- Pharmacology & Pharmacy (AREA)
- Epidemiology (AREA)
- Engineering & Computer Science (AREA)
- Bioinformatics & Cheminformatics (AREA)
- Chemical Kinetics & Catalysis (AREA)
- Organic Chemistry (AREA)
- Nuclear Medicine, Radiotherapy & Molecular Imaging (AREA)
- General Chemical & Material Sciences (AREA)
- Neurology (AREA)
- Neurosurgery (AREA)
- Biomedical Technology (AREA)
- Psychiatry (AREA)
- Immunology (AREA)
- Hospice & Palliative Care (AREA)
- Pain & Pain Management (AREA)
- Rheumatology (AREA)
- Orthopedic Medicine & Surgery (AREA)
- Physical Education & Sports Medicine (AREA)
- Pulmonology (AREA)
- Endocrinology (AREA)
- Diabetes (AREA)
- Otolaryngology (AREA)
- Acyclic And Carbocyclic Compounds In Medicinal Compositions (AREA)
- Pharmaceuticals Containing Other Organic And Inorganic Compounds (AREA)
Abstract
Description
Claims
Priority Applications (8)
| Application Number | Priority Date | Filing Date | Title |
|---|---|---|---|
| HK06103147.0A HK1082416B (en) | 2002-12-13 | 2003-12-03 | Gabapentin analogues for fibromyalgia and other related disorders |
| JP2005502470A JP2006511605A (en) | 2002-12-13 | 2003-12-03 | Gabapentin analogs for fibromyalgia and other related disorders |
| BR0316751-8A BR0316751A (en) | 2002-12-13 | 2003-12-03 | Gabapentin analogs for fibromyalgia and other related disorders |
| NZ540336A NZ540336A (en) | 2002-12-13 | 2003-12-03 | Gabapentin analogues for fibromyalgia and other related disorders |
| CA002509615A CA2509615A1 (en) | 2002-12-13 | 2003-12-03 | Gabapentin analogues for fibromyalgia and other related disorders |
| MXPA05005815A MXPA05005815A (en) | 2002-12-13 | 2003-12-03 | Gabapentin analogues for fibromyalgia and other related disorders. |
| AU2003283718A AU2003283718A1 (en) | 2002-12-13 | 2003-12-03 | Gabapentin analogues for fibromyalgia and other related disorders |
| EP03775699A EP1572184A1 (en) | 2002-12-13 | 2003-12-03 | Gabapentin analogues for fibromyalgia and other related disorders |
Applications Claiming Priority (4)
| Application Number | Priority Date | Filing Date | Title |
|---|---|---|---|
| US43349102P | 2002-12-13 | 2002-12-13 | |
| US60/433,491 | 2002-12-13 | ||
| US48343503P | 2003-06-27 | 2003-06-27 | |
| US60/483,435 | 2003-06-27 |
Publications (1)
| Publication Number | Publication Date |
|---|---|
| WO2004054564A1 true WO2004054564A1 (en) | 2004-07-01 |
Family
ID=32600151
Family Applications (1)
| Application Number | Title | Priority Date | Filing Date |
|---|---|---|---|
| PCT/IB2003/005710 Ceased WO2004054564A1 (en) | 2002-12-13 | 2003-12-03 | Gabapentin analogues for fibromyalgia and other related disorders |
Country Status (12)
| Country | Link |
|---|---|
| US (1) | US20040180959A1 (en) |
| EP (1) | EP1572184A1 (en) |
| JP (1) | JP2006511605A (en) |
| KR (1) | KR100709159B1 (en) |
| AU (1) | AU2003283718A1 (en) |
| BR (1) | BR0316751A (en) |
| CA (1) | CA2509615A1 (en) |
| MX (1) | MXPA05005815A (en) |
| NZ (1) | NZ540336A (en) |
| PL (1) | PL377286A1 (en) |
| TW (2) | TW200529814A (en) |
| WO (1) | WO2004054564A1 (en) |
Cited By (4)
| Publication number | Priority date | Publication date | Assignee | Title |
|---|---|---|---|---|
| WO2005025563A1 (en) * | 2003-09-12 | 2005-03-24 | Warner-Lambert Company Llc | Combination comprising an alpha-2-delta ligand and an ssri and/or snri for treatment of depression and anxiety disorders |
| WO2008009663A1 (en) * | 2006-07-19 | 2008-01-24 | Boehringer Ingelheim International Gmbh | Treatment of pain |
| EP2286810A4 (en) * | 2008-05-16 | 2011-07-20 | Axis Inc | Pharmaceutical composition for treatment of fibromyalgia |
| WO2016037534A1 (en) | 2014-09-09 | 2016-03-17 | Boehringer Ingelheim International Trading (Shanghai) Co. Ltd. | Novel process for preparation of spiro[2.5]octane-5,7-dione and spiro[3.5]nonane-6,8-dione |
Families Citing this family (3)
| Publication number | Priority date | Publication date | Assignee | Title |
|---|---|---|---|---|
| CN101420947A (en) * | 2006-03-06 | 2009-04-29 | 辉瑞产品公司 | The alpha-2-delta ligand that is used for non-restorative sleep |
| EA200970487A1 (en) * | 2006-12-08 | 2009-12-30 | Ксенопорт, Инк. | APPLICATION OF GABA ANALOGUE PROCEDURES FOR TREATMENT OF DISEASES |
| WO2013023155A1 (en) | 2011-08-11 | 2013-02-14 | Xenoport, Inc. | Anhydrous and hemihydrate crystalline forms of an (r)-baclofen prodrug, methods of synthesis and methods of use |
Citations (2)
| Publication number | Priority date | Publication date | Assignee | Title |
|---|---|---|---|---|
| WO2001042190A1 (en) * | 1999-12-08 | 2001-06-14 | Warner-Lambert Company | Method for the stereoselective synthesis of cyclic amino acids |
| WO2002000209A2 (en) * | 2000-06-26 | 2002-01-03 | Warner-Lambert Company | Gabapentin analogues for sleep disorders |
Family Cites Families (5)
| Publication number | Priority date | Publication date | Assignee | Title |
|---|---|---|---|---|
| US4087544A (en) * | 1974-12-21 | 1978-05-02 | Warner-Lambert Company | Treatment of cranial dysfunctions using novel cyclic amino acids |
| DE2460891C2 (en) * | 1974-12-21 | 1982-09-23 | Gödecke AG, 1000 Berlin | 1-aminomethyl-1-cycloalkaneacetic acids and their esters, processes for their preparation and medicaments containing these compounds |
| CN1094757C (en) * | 1996-07-24 | 2002-11-27 | 沃尼尔·朗伯公司 | Isobutylgaba and its derivatives for the treatment of pain |
| ES2260850T3 (en) * | 1997-10-27 | 2006-11-01 | Warner-Lambert Company Llc | CYCLINE AMINOACIDS AND ITS DERIVATIVES USED AS PHARMACEUTICAL AGENTS. |
| JP2002520277A (en) * | 1998-07-09 | 2002-07-09 | ワーナー−ランバート・カンパニー | How to treat insomnia |
-
2003
- 2003-12-03 MX MXPA05005815A patent/MXPA05005815A/en unknown
- 2003-12-03 BR BR0316751-8A patent/BR0316751A/en not_active IP Right Cessation
- 2003-12-03 JP JP2005502470A patent/JP2006511605A/en not_active Withdrawn
- 2003-12-03 EP EP03775699A patent/EP1572184A1/en not_active Withdrawn
- 2003-12-03 WO PCT/IB2003/005710 patent/WO2004054564A1/en not_active Ceased
- 2003-12-03 CA CA002509615A patent/CA2509615A1/en not_active Abandoned
- 2003-12-03 KR KR1020057010536A patent/KR100709159B1/en not_active Expired - Fee Related
- 2003-12-03 AU AU2003283718A patent/AU2003283718A1/en not_active Abandoned
- 2003-12-03 NZ NZ540336A patent/NZ540336A/en unknown
- 2003-12-03 PL PL377286A patent/PL377286A1/en not_active Application Discontinuation
- 2003-12-08 TW TW094119369A patent/TW200529814A/en unknown
- 2003-12-08 TW TW092134600A patent/TW200423924A/en unknown
- 2003-12-12 US US10/735,561 patent/US20040180959A1/en not_active Abandoned
Patent Citations (2)
| Publication number | Priority date | Publication date | Assignee | Title |
|---|---|---|---|---|
| WO2001042190A1 (en) * | 1999-12-08 | 2001-06-14 | Warner-Lambert Company | Method for the stereoselective synthesis of cyclic amino acids |
| WO2002000209A2 (en) * | 2000-06-26 | 2002-01-03 | Warner-Lambert Company | Gabapentin analogues for sleep disorders |
Non-Patent Citations (4)
| Title |
|---|
| BRAIN, BEHAVIOR, AND IMMUNITY 2001 UNITED STATES, vol. 15, no. 3, 2001, pages 227 - 234, ISSN: 0889-1591 * |
| DATABASE EMBASE [online] ELSEVIER SCIENCE PUBLISHERS, AMSTERDAM, NL; 2001, MARSHALL L ET AL: "Changes in immune cell counts and interleukin (IL)-1[beta] production in humans after a somnogenically active growth hormone-releasing hormone (GHRH) administration", XP002273952, Database accession no. EMB-2001408928 * |
| E.K. GUYMER: "An approach to managing fibromyalgia", MEDICINE TODAY, vol. 3, no. 12, 1 December 2002 (2002-12-01), pages 58 - 59, XP009027465 * |
| VAN AMERINGEN ET AL.: "Drugs in development for social anxiety disorder: more to social anxiety than meets the SSRI", EXPERT OPINION ON INVESTIGATIONAL DRUGS, vol. 9, no. 10, 2000, pages 2215 - 2231, XP009027468 * |
Cited By (4)
| Publication number | Priority date | Publication date | Assignee | Title |
|---|---|---|---|---|
| WO2005025563A1 (en) * | 2003-09-12 | 2005-03-24 | Warner-Lambert Company Llc | Combination comprising an alpha-2-delta ligand and an ssri and/or snri for treatment of depression and anxiety disorders |
| WO2008009663A1 (en) * | 2006-07-19 | 2008-01-24 | Boehringer Ingelheim International Gmbh | Treatment of pain |
| EP2286810A4 (en) * | 2008-05-16 | 2011-07-20 | Axis Inc | Pharmaceutical composition for treatment of fibromyalgia |
| WO2016037534A1 (en) | 2014-09-09 | 2016-03-17 | Boehringer Ingelheim International Trading (Shanghai) Co. Ltd. | Novel process for preparation of spiro[2.5]octane-5,7-dione and spiro[3.5]nonane-6,8-dione |
Also Published As
| Publication number | Publication date |
|---|---|
| PL377286A1 (en) | 2006-01-23 |
| EP1572184A1 (en) | 2005-09-14 |
| NZ540336A (en) | 2008-03-28 |
| MXPA05005815A (en) | 2005-08-18 |
| TW200423924A (en) | 2004-11-16 |
| TW200529814A (en) | 2005-09-16 |
| BR0316751A (en) | 2005-10-25 |
| US20040180959A1 (en) | 2004-09-16 |
| AU2003283718A1 (en) | 2004-07-09 |
| KR100709159B1 (en) | 2007-04-19 |
| KR20050085516A (en) | 2005-08-29 |
| HK1072416A1 (en) | 2005-08-26 |
| CA2509615A1 (en) | 2004-07-01 |
| JP2006511605A (en) | 2006-04-06 |
Similar Documents
| Publication | Publication Date | Title |
|---|---|---|
| ZA200504271B (en) | Gabapentin analogues for fibromyalgia and other related disorders | |
| MXPA06003157A (en) | Combinations of alpha-2-delta ligands and acetylcholinesterase inhibitors. | |
| WO2005102390A2 (en) | Combinations comprising alpha-2-delta ligands and nmda receptor antagonists | |
| MXPA06002619A (en) | Combination comprising an alpha-2-delta ligand and an ssri and/or snri for treatment of depression and anxiety disorders. | |
| CN104854083B (en) | Aminocyclobutane derivatives, their preparation and their use as medicines | |
| RU2320369C2 (en) | Combinations containing alpha-2-delta ligands and serotonin/noradrenaline reuptake inhibitors | |
| US20090203782A1 (en) | Alpha 2 Delta Ligands for Fibromyalgia and Other Disorders | |
| US20040180959A1 (en) | Gabapentin analogues for fibromy algia and concomitant disorders | |
| US7164034B2 (en) | Alpha2delta ligands for fibromyalgia and other disorders | |
| BRPI0609879A2 (en) | amino acid derivatives | |
| HK1082416A (en) | Gabapentin analogues for fibromyalgia and other related disorders | |
| HK1082416B (en) | Gabapentin analogues for fibromyalgia and other related disorders | |
| HK1240927A1 (en) | Aminocyclobutane derivatives, method for preparing same and the use thereof as drugs | |
| EP1528919A2 (en) | Therapeutic use of aryl amino acid derivatives | |
| MXPA06010258A (en) | Combinations comprising alpha-2-delta ligands | |
| HK1212968B (en) | Aminocyclobutane derivatives, method for preparing same and the use thereof as drugs | |
| HK1240927B (en) | Aminocyclobutane derivatives, method for preparing same and the use thereof as drugs |
Legal Events
| Date | Code | Title | Description |
|---|---|---|---|
| AK | Designated states |
Kind code of ref document: A1 Designated state(s): AE AG AL AM AT AU AZ BA BB BG BR BY BZ CA CH CN CO CR CU CZ DE DK DM DZ EC EE EG ES FI GB GD GE GH GM HR HU ID IL IN IS JP KE KG KP KR KZ LC LK LR LS LT LU LV MA MD MG MK MN MW MX MZ NI NO NZ OM PG PH PL PT RO RU SC SD SE SG SK SL SY TJ TM TN TR TT TZ UA UG US UZ VC VN YU ZA ZM ZW |
|
| AL | Designated countries for regional patents |
Kind code of ref document: A1 Designated state(s): BW GH GM KE LS MW MZ SD SL SZ TZ UG ZM ZW AM AZ BY KG KZ MD RU TJ TM AT BE BG CH CY CZ DE DK EE ES FI FR GB GR HU IE IT LU MC NL PT RO SE SI SK TR BF BJ CF CG CI CM GA GN GQ GW ML MR NE SN TD TG |
|
| DFPE | Request for preliminary examination filed prior to expiration of 19th month from priority date (pct application filed before 20040101) | ||
| 121 | Ep: the epo has been informed by wipo that ep was designated in this application | ||
| WWE | Wipo information: entry into national phase |
Ref document number: 168721 Country of ref document: IL |
|
| WWE | Wipo information: entry into national phase |
Ref document number: 2005/04271 Country of ref document: ZA Ref document number: 200504271 Country of ref document: ZA |
|
| WWE | Wipo information: entry into national phase |
Ref document number: 540336 Country of ref document: NZ |
|
| WWE | Wipo information: entry into national phase |
Ref document number: 2003283718 Country of ref document: AU |
|
| WWE | Wipo information: entry into national phase |
Ref document number: PA/a/2005/005815 Country of ref document: MX Ref document number: 20038A47024 Country of ref document: CN |
|
| WWE | Wipo information: entry into national phase |
Ref document number: 377286 Country of ref document: PL |
|
| WWE | Wipo information: entry into national phase |
Ref document number: 2509615 Country of ref document: CA Ref document number: 1020057010536 Country of ref document: KR |
|
| WWE | Wipo information: entry into national phase |
Ref document number: 2005502470 Country of ref document: JP |
|
| WWE | Wipo information: entry into national phase |
Ref document number: 2003775699 Country of ref document: EP |
|
| WWP | Wipo information: published in national office |
Ref document number: 1020057010536 Country of ref document: KR |
|
| WWE | Wipo information: entry into national phase |
Ref document number: 1-2005-501098 Country of ref document: PH |
|
| WWP | Wipo information: published in national office |
Ref document number: 2003775699 Country of ref document: EP |
|
| ENP | Entry into the national phase |
Ref document number: PI0316751 Country of ref document: BR |



























