WO2003048123A1 - Substituted 2-amino-cycloalkanecarboxamides and their use as cysteine protease inhibitors - Google Patents
Substituted 2-amino-cycloalkanecarboxamides and their use as cysteine protease inhibitors Download PDFInfo
- Publication number
- WO2003048123A1 WO2003048123A1 PCT/EP2002/013221 EP0213221W WO03048123A1 WO 2003048123 A1 WO2003048123 A1 WO 2003048123A1 EP 0213221 W EP0213221 W EP 0213221W WO 03048123 A1 WO03048123 A1 WO 03048123A1
- Authority
- WO
- WIPO (PCT)
- Prior art keywords
- alkyl
- indole
- methyl
- amino
- carbonyl
- Prior art date
- Legal status (The legal status is an assumption and is not a legal conclusion. Google has not performed a legal analysis and makes no representation as to the accuracy of the status listed.)
- Ceased
Links
- 0 C*(C(*)C#*)C(C[C@](CN)C(*(*)*)C=*)=O Chemical compound C*(C(*)C#*)C(C[C@](CN)C(*(*)*)C=*)=O 0.000 description 3
- NRWOUAIEJGTBIW-KKLQWCBXSA-N C=CCOC(Nc1cc([nH]c(C(NC[C@@H](CCCC2)[C@@H]2C(N[C@@H](C2CC2)C#N)=O)=O)c2)c2cc1)=O Chemical compound C=CCOC(Nc1cc([nH]c(C(NC[C@@H](CCCC2)[C@@H]2C(N[C@@H](C2CC2)C#N)=O)=O)c2)c2cc1)=O NRWOUAIEJGTBIW-KKLQWCBXSA-N 0.000 description 1
- LBAJHJUMIASUIC-DUHXBFFASA-N CCOC([C@H](CCCC1)/C1=N/C(c1cc(cccc2)c2[n]1C)=O)=O Chemical compound CCOC([C@H](CCCC1)/C1=N/C(c1cc(cccc2)c2[n]1C)=O)=O LBAJHJUMIASUIC-DUHXBFFASA-N 0.000 description 1
- VODUKXHGDCJEOZ-SFYZADRCSA-N CCOC([C@H](CCCC1)[C@H]1N)=O Chemical compound CCOC([C@H](CCCC1)[C@H]1N)=O VODUKXHGDCJEOZ-SFYZADRCSA-N 0.000 description 1
- UXFMTZLNTXLUED-HMZVSMPESA-N CCOC([C@H](CCCC1)[C@H]1NC(c1ccc(cccc2)c2n1)O)=O Chemical compound CCOC([C@H](CCCC1)[C@H]1NC(c1ccc(cccc2)c2n1)O)=O UXFMTZLNTXLUED-HMZVSMPESA-N 0.000 description 1
- FSLSTKUWWFZLLN-UHFFFAOYSA-O CC[O](C)C(C(CCCC1)C1[NH3+])=O Chemical compound CC[O](C)C(C(CCCC1)C1[NH3+])=O FSLSTKUWWFZLLN-UHFFFAOYSA-O 0.000 description 1
- NZIFONPEUDXXJV-YFKPBYRVSA-N COC([C@H](C1CC1)N)=O Chemical compound COC([C@H](C1CC1)N)=O NZIFONPEUDXXJV-YFKPBYRVSA-N 0.000 description 1
- PHFWCSHCWXYPJP-UHFFFAOYSA-N N#CCNC(C(CCCC1)C1Nc1c2ncccc2ccc1)=O Chemical compound N#CCNC(C(CCCC1)C1Nc1c2ncccc2ccc1)=O PHFWCSHCWXYPJP-UHFFFAOYSA-N 0.000 description 1
- BUSBCPMSNBMUMT-BYPYZUCNSA-N N[C@@H](C1CC1)C(O)=O Chemical compound N[C@@H](C1CC1)C(O)=O BUSBCPMSNBMUMT-BYPYZUCNSA-N 0.000 description 1
- MLKYYLOYZDMQBP-UHFFFAOYSA-N OC(C(CCCC1)C1Nc1c2ncccc2ccc1)=O Chemical compound OC(C(CCCC1)C1Nc1c2ncccc2ccc1)=O MLKYYLOYZDMQBP-UHFFFAOYSA-N 0.000 description 1
Classifications
-
- C—CHEMISTRY; METALLURGY
- C07—ORGANIC CHEMISTRY
- C07D—HETEROCYCLIC COMPOUNDS
- C07D405/00—Heterocyclic compounds containing both one or more hetero rings having oxygen atoms as the only ring hetero atoms, and one or more rings having nitrogen as the only ring hetero atom
- C07D405/02—Heterocyclic compounds containing both one or more hetero rings having oxygen atoms as the only ring hetero atoms, and one or more rings having nitrogen as the only ring hetero atom containing two hetero rings
- C07D405/12—Heterocyclic compounds containing both one or more hetero rings having oxygen atoms as the only ring hetero atoms, and one or more rings having nitrogen as the only ring hetero atom containing two hetero rings linked by a chain containing hetero atoms as chain links
-
- A—HUMAN NECESSITIES
- A61—MEDICAL OR VETERINARY SCIENCE; HYGIENE
- A61P—SPECIFIC THERAPEUTIC ACTIVITY OF CHEMICAL COMPOUNDS OR MEDICINAL PREPARATIONS
- A61P11/00—Drugs for disorders of the respiratory system
-
- A—HUMAN NECESSITIES
- A61—MEDICAL OR VETERINARY SCIENCE; HYGIENE
- A61P—SPECIFIC THERAPEUTIC ACTIVITY OF CHEMICAL COMPOUNDS OR MEDICINAL PREPARATIONS
- A61P13/00—Drugs for disorders of the urinary system
- A61P13/12—Drugs for disorders of the urinary system of the kidneys
-
- A—HUMAN NECESSITIES
- A61—MEDICAL OR VETERINARY SCIENCE; HYGIENE
- A61P—SPECIFIC THERAPEUTIC ACTIVITY OF CHEMICAL COMPOUNDS OR MEDICINAL PREPARATIONS
- A61P19/00—Drugs for skeletal disorders
-
- A—HUMAN NECESSITIES
- A61—MEDICAL OR VETERINARY SCIENCE; HYGIENE
- A61P—SPECIFIC THERAPEUTIC ACTIVITY OF CHEMICAL COMPOUNDS OR MEDICINAL PREPARATIONS
- A61P19/00—Drugs for skeletal disorders
- A61P19/02—Drugs for skeletal disorders for joint disorders, e.g. arthritis, arthrosis
-
- A—HUMAN NECESSITIES
- A61—MEDICAL OR VETERINARY SCIENCE; HYGIENE
- A61P—SPECIFIC THERAPEUTIC ACTIVITY OF CHEMICAL COMPOUNDS OR MEDICINAL PREPARATIONS
- A61P19/00—Drugs for skeletal disorders
- A61P19/08—Drugs for skeletal disorders for bone diseases, e.g. rachitism, Paget's disease
- A61P19/10—Drugs for skeletal disorders for bone diseases, e.g. rachitism, Paget's disease for osteoporosis
-
- A—HUMAN NECESSITIES
- A61—MEDICAL OR VETERINARY SCIENCE; HYGIENE
- A61P—SPECIFIC THERAPEUTIC ACTIVITY OF CHEMICAL COMPOUNDS OR MEDICINAL PREPARATIONS
- A61P27/00—Drugs for disorders of the senses
- A61P27/02—Ophthalmic agents
-
- A—HUMAN NECESSITIES
- A61—MEDICAL OR VETERINARY SCIENCE; HYGIENE
- A61P—SPECIFIC THERAPEUTIC ACTIVITY OF CHEMICAL COMPOUNDS OR MEDICINAL PREPARATIONS
- A61P29/00—Non-central analgesic, antipyretic or antiinflammatory agents, e.g. antirheumatic agents; Non-steroidal antiinflammatory drugs [NSAID]
-
- A—HUMAN NECESSITIES
- A61—MEDICAL OR VETERINARY SCIENCE; HYGIENE
- A61P—SPECIFIC THERAPEUTIC ACTIVITY OF CHEMICAL COMPOUNDS OR MEDICINAL PREPARATIONS
- A61P31/00—Antiinfectives, i.e. antibiotics, antiseptics, chemotherapeutics
- A61P31/12—Antivirals
- A61P31/14—Antivirals for RNA viruses
- A61P31/18—Antivirals for RNA viruses for HIV
-
- A—HUMAN NECESSITIES
- A61—MEDICAL OR VETERINARY SCIENCE; HYGIENE
- A61P—SPECIFIC THERAPEUTIC ACTIVITY OF CHEMICAL COMPOUNDS OR MEDICINAL PREPARATIONS
- A61P33/00—Antiparasitic agents
-
- A—HUMAN NECESSITIES
- A61—MEDICAL OR VETERINARY SCIENCE; HYGIENE
- A61P—SPECIFIC THERAPEUTIC ACTIVITY OF CHEMICAL COMPOUNDS OR MEDICINAL PREPARATIONS
- A61P33/00—Antiparasitic agents
- A61P33/02—Antiprotozoals, e.g. for leishmaniasis, trichomoniasis, toxoplasmosis
- A61P33/06—Antimalarials
-
- A—HUMAN NECESSITIES
- A61—MEDICAL OR VETERINARY SCIENCE; HYGIENE
- A61P—SPECIFIC THERAPEUTIC ACTIVITY OF CHEMICAL COMPOUNDS OR MEDICINAL PREPARATIONS
- A61P35/00—Antineoplastic agents
-
- A—HUMAN NECESSITIES
- A61—MEDICAL OR VETERINARY SCIENCE; HYGIENE
- A61P—SPECIFIC THERAPEUTIC ACTIVITY OF CHEMICAL COMPOUNDS OR MEDICINAL PREPARATIONS
- A61P35/00—Antineoplastic agents
- A61P35/04—Antineoplastic agents specific for metastasis
-
- A—HUMAN NECESSITIES
- A61—MEDICAL OR VETERINARY SCIENCE; HYGIENE
- A61P—SPECIFIC THERAPEUTIC ACTIVITY OF CHEMICAL COMPOUNDS OR MEDICINAL PREPARATIONS
- A61P37/00—Drugs for immunological or allergic disorders
-
- A—HUMAN NECESSITIES
- A61—MEDICAL OR VETERINARY SCIENCE; HYGIENE
- A61P—SPECIFIC THERAPEUTIC ACTIVITY OF CHEMICAL COMPOUNDS OR MEDICINAL PREPARATIONS
- A61P37/00—Drugs for immunological or allergic disorders
- A61P37/02—Immunomodulators
-
- A—HUMAN NECESSITIES
- A61—MEDICAL OR VETERINARY SCIENCE; HYGIENE
- A61P—SPECIFIC THERAPEUTIC ACTIVITY OF CHEMICAL COMPOUNDS OR MEDICINAL PREPARATIONS
- A61P43/00—Drugs for specific purposes, not provided for in groups A61P1/00-A61P41/00
-
- A—HUMAN NECESSITIES
- A61—MEDICAL OR VETERINARY SCIENCE; HYGIENE
- A61P—SPECIFIC THERAPEUTIC ACTIVITY OF CHEMICAL COMPOUNDS OR MEDICINAL PREPARATIONS
- A61P9/00—Drugs for disorders of the cardiovascular system
-
- A—HUMAN NECESSITIES
- A61—MEDICAL OR VETERINARY SCIENCE; HYGIENE
- A61P—SPECIFIC THERAPEUTIC ACTIVITY OF CHEMICAL COMPOUNDS OR MEDICINAL PREPARATIONS
- A61P9/00—Drugs for disorders of the cardiovascular system
- A61P9/04—Inotropic agents, i.e. stimulants of cardiac contraction; Drugs for heart failure
-
- A—HUMAN NECESSITIES
- A61—MEDICAL OR VETERINARY SCIENCE; HYGIENE
- A61P—SPECIFIC THERAPEUTIC ACTIVITY OF CHEMICAL COMPOUNDS OR MEDICINAL PREPARATIONS
- A61P9/00—Drugs for disorders of the cardiovascular system
- A61P9/06—Antiarrhythmics
-
- A—HUMAN NECESSITIES
- A61—MEDICAL OR VETERINARY SCIENCE; HYGIENE
- A61P—SPECIFIC THERAPEUTIC ACTIVITY OF CHEMICAL COMPOUNDS OR MEDICINAL PREPARATIONS
- A61P9/00—Drugs for disorders of the cardiovascular system
- A61P9/10—Drugs for disorders of the cardiovascular system for treating ischaemic or atherosclerotic diseases, e.g. antianginal drugs, coronary vasodilators, drugs for myocardial infarction, retinopathy, cerebrovascula insufficiency, renal arteriosclerosis
-
- C—CHEMISTRY; METALLURGY
- C07—ORGANIC CHEMISTRY
- C07D—HETEROCYCLIC COMPOUNDS
- C07D209/00—Heterocyclic compounds containing five-membered rings, condensed with other rings, with one nitrogen atom as the only ring hetero atom
- C07D209/02—Heterocyclic compounds containing five-membered rings, condensed with other rings, with one nitrogen atom as the only ring hetero atom condensed with one carbocyclic ring
- C07D209/04—Indoles; Hydrogenated indoles
- C07D209/08—Indoles; Hydrogenated indoles with only hydrogen atoms or radicals containing only hydrogen and carbon atoms, directly attached to carbon atoms of the hetero ring
-
- C—CHEMISTRY; METALLURGY
- C07—ORGANIC CHEMISTRY
- C07D—HETEROCYCLIC COMPOUNDS
- C07D209/00—Heterocyclic compounds containing five-membered rings, condensed with other rings, with one nitrogen atom as the only ring hetero atom
- C07D209/02—Heterocyclic compounds containing five-membered rings, condensed with other rings, with one nitrogen atom as the only ring hetero atom condensed with one carbocyclic ring
- C07D209/04—Indoles; Hydrogenated indoles
- C07D209/30—Indoles; Hydrogenated indoles with hetero atoms or with carbon atoms having three bonds to hetero atoms with at the most one bond to halogen, directly attached to carbon atoms of the hetero ring
- C07D209/42—Carbon atoms having three bonds to hetero atoms with at the most one bond to halogen, e.g. ester or nitrile radicals
-
- C—CHEMISTRY; METALLURGY
- C07—ORGANIC CHEMISTRY
- C07D—HETEROCYCLIC COMPOUNDS
- C07D213/00—Heterocyclic compounds containing six-membered rings, not condensed with other rings, with one nitrogen atom as the only ring hetero atom and three or more double bonds between ring members or between ring members and non-ring members
- C07D213/02—Heterocyclic compounds containing six-membered rings, not condensed with other rings, with one nitrogen atom as the only ring hetero atom and three or more double bonds between ring members or between ring members and non-ring members having three double bonds between ring members or between ring members and non-ring members
- C07D213/04—Heterocyclic compounds containing six-membered rings, not condensed with other rings, with one nitrogen atom as the only ring hetero atom and three or more double bonds between ring members or between ring members and non-ring members having three double bonds between ring members or between ring members and non-ring members having no bond between the ring nitrogen atom and a non-ring member or having only hydrogen or carbon atoms directly attached to the ring nitrogen atom
- C07D213/60—Heterocyclic compounds containing six-membered rings, not condensed with other rings, with one nitrogen atom as the only ring hetero atom and three or more double bonds between ring members or between ring members and non-ring members having three double bonds between ring members or between ring members and non-ring members having no bond between the ring nitrogen atom and a non-ring member or having only hydrogen or carbon atoms directly attached to the ring nitrogen atom with hetero atoms or with carbon atoms having three bonds to hetero atoms with at the most one bond to halogen, e.g. ester or nitrile radicals, directly attached to ring carbon atoms
- C07D213/78—Carbon atoms having three bonds to hetero atoms, with at the most one bond to halogen, e.g. ester or nitrile radicals
- C07D213/81—Amides; Imides
-
- C—CHEMISTRY; METALLURGY
- C07—ORGANIC CHEMISTRY
- C07D—HETEROCYCLIC COMPOUNDS
- C07D215/00—Heterocyclic compounds containing quinoline or hydrogenated quinoline ring systems
- C07D215/02—Heterocyclic compounds containing quinoline or hydrogenated quinoline ring systems having no bond between the ring nitrogen atom and a non-ring member or having only hydrogen atoms or carbon atoms directly attached to the ring nitrogen atom
- C07D215/16—Heterocyclic compounds containing quinoline or hydrogenated quinoline ring systems having no bond between the ring nitrogen atom and a non-ring member or having only hydrogen atoms or carbon atoms directly attached to the ring nitrogen atom with hetero atoms or with carbon atoms having three bonds to hetero atoms with at the most one bond to halogen, e.g. ester or nitrile radicals, directly attached to ring carbon atoms
- C07D215/38—Nitrogen atoms
- C07D215/40—Nitrogen atoms attached in position 8
-
- C—CHEMISTRY; METALLURGY
- C07—ORGANIC CHEMISTRY
- C07D—HETEROCYCLIC COMPOUNDS
- C07D215/00—Heterocyclic compounds containing quinoline or hydrogenated quinoline ring systems
- C07D215/02—Heterocyclic compounds containing quinoline or hydrogenated quinoline ring systems having no bond between the ring nitrogen atom and a non-ring member or having only hydrogen atoms or carbon atoms directly attached to the ring nitrogen atom
- C07D215/16—Heterocyclic compounds containing quinoline or hydrogenated quinoline ring systems having no bond between the ring nitrogen atom and a non-ring member or having only hydrogen atoms or carbon atoms directly attached to the ring nitrogen atom with hetero atoms or with carbon atoms having three bonds to hetero atoms with at the most one bond to halogen, e.g. ester or nitrile radicals, directly attached to ring carbon atoms
- C07D215/48—Carbon atoms having three bonds to hetero atoms with at the most one bond to halogen
-
- C—CHEMISTRY; METALLURGY
- C07—ORGANIC CHEMISTRY
- C07D—HETEROCYCLIC COMPOUNDS
- C07D215/00—Heterocyclic compounds containing quinoline or hydrogenated quinoline ring systems
- C07D215/02—Heterocyclic compounds containing quinoline or hydrogenated quinoline ring systems having no bond between the ring nitrogen atom and a non-ring member or having only hydrogen atoms or carbon atoms directly attached to the ring nitrogen atom
- C07D215/16—Heterocyclic compounds containing quinoline or hydrogenated quinoline ring systems having no bond between the ring nitrogen atom and a non-ring member or having only hydrogen atoms or carbon atoms directly attached to the ring nitrogen atom with hetero atoms or with carbon atoms having three bonds to hetero atoms with at the most one bond to halogen, e.g. ester or nitrile radicals, directly attached to ring carbon atoms
- C07D215/48—Carbon atoms having three bonds to hetero atoms with at the most one bond to halogen
- C07D215/54—Carbon atoms having three bonds to hetero atoms with at the most one bond to halogen attached in position 3
-
- C—CHEMISTRY; METALLURGY
- C07—ORGANIC CHEMISTRY
- C07D—HETEROCYCLIC COMPOUNDS
- C07D215/00—Heterocyclic compounds containing quinoline or hydrogenated quinoline ring systems
- C07D215/58—Heterocyclic compounds containing quinoline or hydrogenated quinoline ring systems with hetero atoms directly attached to the ring nitrogen atom
- C07D215/60—N-oxides
-
- C—CHEMISTRY; METALLURGY
- C07—ORGANIC CHEMISTRY
- C07D—HETEROCYCLIC COMPOUNDS
- C07D217/00—Heterocyclic compounds containing isoquinoline or hydrogenated isoquinoline ring systems
- C07D217/02—Heterocyclic compounds containing isoquinoline or hydrogenated isoquinoline ring systems with only hydrogen atoms or radicals containing only carbon and hydrogen atoms, directly attached to carbon atoms of the nitrogen-containing ring; Alkylene-bis-isoquinolines
-
- C—CHEMISTRY; METALLURGY
- C07—ORGANIC CHEMISTRY
- C07D—HETEROCYCLIC COMPOUNDS
- C07D231/00—Heterocyclic compounds containing 1,2-diazole or hydrogenated 1,2-diazole rings
- C07D231/02—Heterocyclic compounds containing 1,2-diazole or hydrogenated 1,2-diazole rings not condensed with other rings
- C07D231/10—Heterocyclic compounds containing 1,2-diazole or hydrogenated 1,2-diazole rings not condensed with other rings having two or three double bonds between ring members or between ring members and non-ring members
- C07D231/14—Heterocyclic compounds containing 1,2-diazole or hydrogenated 1,2-diazole rings not condensed with other rings having two or three double bonds between ring members or between ring members and non-ring members with hetero atoms or with carbon atoms having three bonds to hetero atoms with at the most one bond to halogen, e.g. ester or nitrile radicals, directly attached to ring carbon atoms
- C07D231/38—Nitrogen atoms
-
- C—CHEMISTRY; METALLURGY
- C07—ORGANIC CHEMISTRY
- C07D—HETEROCYCLIC COMPOUNDS
- C07D231/00—Heterocyclic compounds containing 1,2-diazole or hydrogenated 1,2-diazole rings
- C07D231/54—Heterocyclic compounds containing 1,2-diazole or hydrogenated 1,2-diazole rings condensed with carbocyclic rings or ring systems
- C07D231/56—Benzopyrazoles; Hydrogenated benzopyrazoles
-
- C—CHEMISTRY; METALLURGY
- C07—ORGANIC CHEMISTRY
- C07D—HETEROCYCLIC COMPOUNDS
- C07D241/00—Heterocyclic compounds containing 1,4-diazine or hydrogenated 1,4-diazine rings
- C07D241/36—Heterocyclic compounds containing 1,4-diazine or hydrogenated 1,4-diazine rings condensed with carbocyclic rings or ring systems
- C07D241/38—Heterocyclic compounds containing 1,4-diazine or hydrogenated 1,4-diazine rings condensed with carbocyclic rings or ring systems with only hydrogen or carbon atoms directly attached to the ring nitrogen atoms
- C07D241/40—Benzopyrazines
- C07D241/44—Benzopyrazines with hetero atoms or with carbon atoms having three bonds to hetero atoms with at the most one bond to halogen, e.g. ester or nitrile radicals, directly attached to carbon atoms of the hetero ring
-
- C—CHEMISTRY; METALLURGY
- C07—ORGANIC CHEMISTRY
- C07D—HETEROCYCLIC COMPOUNDS
- C07D277/00—Heterocyclic compounds containing 1,3-thiazole or hydrogenated 1,3-thiazole rings
- C07D277/60—Heterocyclic compounds containing 1,3-thiazole or hydrogenated 1,3-thiazole rings condensed with carbocyclic rings or ring systems
- C07D277/62—Benzothiazoles
-
- C—CHEMISTRY; METALLURGY
- C07—ORGANIC CHEMISTRY
- C07D—HETEROCYCLIC COMPOUNDS
- C07D401/00—Heterocyclic compounds containing two or more hetero rings, having nitrogen atoms as the only ring hetero atoms, at least one ring being a six-membered ring with only one nitrogen atom
- C07D401/02—Heterocyclic compounds containing two or more hetero rings, having nitrogen atoms as the only ring hetero atoms, at least one ring being a six-membered ring with only one nitrogen atom containing two hetero rings
- C07D401/12—Heterocyclic compounds containing two or more hetero rings, having nitrogen atoms as the only ring hetero atoms, at least one ring being a six-membered ring with only one nitrogen atom containing two hetero rings linked by a chain containing hetero atoms as chain links
-
- C—CHEMISTRY; METALLURGY
- C07—ORGANIC CHEMISTRY
- C07D—HETEROCYCLIC COMPOUNDS
- C07D409/00—Heterocyclic compounds containing two or more hetero rings, at least one ring having sulfur atoms as the only ring hetero atoms
- C07D409/02—Heterocyclic compounds containing two or more hetero rings, at least one ring having sulfur atoms as the only ring hetero atoms containing two hetero rings
- C07D409/12—Heterocyclic compounds containing two or more hetero rings, at least one ring having sulfur atoms as the only ring hetero atoms containing two hetero rings linked by a chain containing hetero atoms as chain links
-
- C—CHEMISTRY; METALLURGY
- C07—ORGANIC CHEMISTRY
- C07D—HETEROCYCLIC COMPOUNDS
- C07D471/00—Heterocyclic compounds containing nitrogen atoms as the only ring hetero atoms in the condensed system, at least one ring being a six-membered ring with one nitrogen atom, not provided for by groups C07D451/00 - C07D463/00
- C07D471/02—Heterocyclic compounds containing nitrogen atoms as the only ring hetero atoms in the condensed system, at least one ring being a six-membered ring with one nitrogen atom, not provided for by groups C07D451/00 - C07D463/00 in which the condensed system contains two hetero rings
- C07D471/04—Ortho-condensed systems
-
- C—CHEMISTRY; METALLURGY
- C07—ORGANIC CHEMISTRY
- C07D—HETEROCYCLIC COMPOUNDS
- C07D513/00—Heterocyclic compounds containing in the condensed system at least one hetero ring having nitrogen and sulfur atoms as the only ring hetero atoms, not provided for in groups C07D463/00, C07D477/00 or C07D499/00 - C07D507/00
- C07D513/02—Heterocyclic compounds containing in the condensed system at least one hetero ring having nitrogen and sulfur atoms as the only ring hetero atoms, not provided for in groups C07D463/00, C07D477/00 or C07D499/00 - C07D507/00 in which the condensed system contains two hetero rings
- C07D513/04—Ortho-condensed systems
-
- Y—GENERAL TAGGING OF NEW TECHNOLOGICAL DEVELOPMENTS; GENERAL TAGGING OF CROSS-SECTIONAL TECHNOLOGIES SPANNING OVER SEVERAL SECTIONS OF THE IPC; TECHNICAL SUBJECTS COVERED BY FORMER USPC CROSS-REFERENCE ART COLLECTIONS [XRACs] AND DIGESTS
- Y02—TECHNOLOGIES OR APPLICATIONS FOR MITIGATION OR ADAPTATION AGAINST CLIMATE CHANGE
- Y02A—TECHNOLOGIES FOR ADAPTATION TO CLIMATE CHANGE
- Y02A50/00—TECHNOLOGIES FOR ADAPTATION TO CLIMATE CHANGE in human health protection, e.g. against extreme weather
- Y02A50/30—Against vector-borne diseases, e.g. mosquito-borne, fly-borne, tick-borne or waterborne diseases whose impact is exacerbated by climate change
Definitions
- the present invention relates to novel heteroaryl nitrile derivatives, their manufacture and use as medicaments.
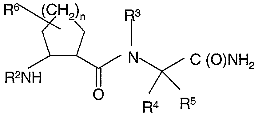
- the invention relates to novel nitriles of general formula (I)
- R 1 is heteroaryl, -(R'R") m CO-R a or S(O) p -R a wherein
- R' and R" are independently hydrogen or lower-alkyl
- R a is heteroaryl, heteroaryl-lower-alkyl,or heteroaryl-lower-alkoxy wherein the heteroaryl in each of the preceding is selected from the group consisting of indolyl, pyridyl, quinolinyl, isoquinolinyl, N-oxo-quinolinyl, N-oxo-isoquinolinyl,
- R 2 is hydrogen or lower-alkyl
- R 3 is hydrogen or lower-alkyl
- R 4 is hydrogen or lower-alkyl
- R 5 is hydrogen, lower-alkyl, heteroalkyl, cycloalkyl, cycloalkyl-lower-alkyl, lower-alkoxy- carbonyl-lower-alkyl, aryl, aralkyl, heteroaryl, or heteroaryl-lower-alkyl; R is hydrogen or lower-alkyl; n is an integer from one to three; and pharmaceutically acceptable salts and/or pharmaceutically acceptable esters thereof.
- Cysteine proteases have been viewed as lysosomal mediators of terminal protein degradation.
- Several newly discovered members of this enzyme class are regulated proteases with limited tissue expression, which implies specific roles in cellular physiology and thus would allow a specific targeting of these activities without interfering with the general lysosomal protein degragation.
- Development of inhibitors of specific cysteine proteases promises to provide new drugs for modifying immunity, osteoporosis, neurodegeneration, chronic inflammation, cancer and malaria (Bromme, Drug News Perspect 1999, 12(2), 73-82; Chapman et al, Annu. Rev. Phys. 1997, 59, 63-88).
- Cysteine proteases can be grouped into two superfamilies: the family of enzymes related to interleukin l ⁇ converting enzyme (ICE), and the papain superfamily of cysteine proteases.
- ICE interleukin l ⁇ converting enzyme
- papain superfamily of cysteine proteases Presently there are at least 12 human proteases of the papain family from which sequences have been obtained (cathepsin B, L, H, S, O, K, C, W, F, N(L2), Z(X) and bleomycin hydrolase).
- Cathepsin K was first discovered as a cD ⁇ A prominent in rabbit osteoclasts and referred to as OC-2 (Tezuka et al., /. Biol. Chem. 1994, 269, 1106-1109).
- cathepsin K is the most potent mammalian elastase yet described.
- Cathepsin K, as well as cathepsins S and L, are also potent collagenases and gelatinases. Macrophages appear capable of mobilizing the active proteases within endosomal and/or lysosomal compartments to the cell surface under special circumstances. In this case, the cell surface/substrate interface becomes a compartment from which endogenous inhibitors are excluded and can be viewed as a physiological extension of the lysosome.
- This type of physiology is an innate trait of osteoclasts, a bone macrophage, and may also be exploited by other macrophages or cells in the context of inflammation.
- cathepsin K plays an important role in bone resorption.
- a correlation between inhibition of cysteine protease activity and bone resorption has been reported (Lerner et al., /. Bone Min. Res. 1992, 7, 433; Everts et al., /. Cell. Physiol. 1992,
- Cathepsin K has been detected in synovial fibroblasts of RA patients, as well as in mouse hypertrophic chondrocytes (Hummel et al., /. Rheumatol. 1998, 25(10), 1887- 1894.). Both results indicate a direct role of cathepsin K in cartilage erosion.
- P. Libby (Libby et al., /. Clin. Invest. 1998, 102 (3), 576-583) reported that normal arteries contain little or no cathepsin K or S whereas macrophages in atheroma contained abundant immunoreactive cathepsins K and S. Most of the elastolytic activity of tissue extracts associated with human atheroma compared to non- atherosclerotic arteries could be inhibited with E64, a non-selective cysteine protease inhibitor.
- Tumor progression and metastasis are characterized by the invasion of tumors into adjacent tissues as well as by the dissociation of cancer cells from primary tumors and the infiltration of metastatic cells into organs. These processes are associated with the degragation of extracellular matrix proteins and thus require proteolytic activity.
- Cathepsin K has been identified in primary breast tumors, as well as in breast tumor-derived bone metastasis (Littlewood-Evans et al., Cancer Res. 1997, 57, 5386-5390).
- cysteine protease inhibitors Schirmeister et al., Chem. Rev. 1997, 97, 133-171; Neber et al., Proc. Natl. Acad. Sci. USA 1997, 94, 14249-14254.
- the shortcomings these compounds suffer from include lack of selectivity, poor solubility, rapid plasma clearance and cytotoxicity.
- the compounds of the present invention have an inhibitory activity on cysteine proteases, more paticulary on cysteine proteases of the papain superfamily, even more paticularly on cysteine proteases of the cathepsin family, most particularly on cathepsin K. It was surprisingly found, that this inhibiting effect on cathepsin K is selective with respect to other cathepsins. While compounds of general formula (I) very efficiently inhibit cathepsin K, the inhibition of other protease inhibitors such as cathepsin S, cathepsin L and cathepsin B is much weaker. Therefore the new compounds of general formula (I) are usefull for specifically inhibiting cathepsin K.
- cysteine proteases such as osteoporosis, osteoarthritis, rheumatoid arthritis, tumor metastasis, glomerulonephritis, atherosclerosis, myocardial infarction, angina pectoris, instable angina pectoris, stroke, plaque rupture, transient ischemic attacks, amaurosis fugax, peripheral arterial occlusive disease, restenosis after angioplasty and stent placement, abdominal aortic aneurysm formation, inflammation, autoimmune disease, malaria, ocular fundus tissue cytopathy and respiratory disease.
- cysteine proteases such as osteoporosis, osteoarthritis, rheumatoid arthritis, tumor metastasis, glomerulonephritis, atherosclerosis, myocardial infarction, angina pectoris, instable angina pectoris, stroke, plaque rupture, transient ischemic attacks, amaurosis fugax, peripheral arterial occlusive disease, restenosis
- the present invention relates to a method for the prophylactic and/or therapeutic treatment of diseases which are associated with cystein proteases such as osteoporosis, osteoarthritis, rheumatoid arthritis, tumor metastasis, glomerulonephritis, atherosclerosis, myocardial infarction, angina pectoris, instable angina pectoris, stroke, plaque rupture, transient ischemic attacks, amaurosis fugax, peripheral arterial occlusive disease, restenosis after angioplasty and stent placement, abdominal aortic aneurysm formation, inflammation, autoimmune disease, malaria, ocular fundus tissue cytopathy and respiratory disease, which method comprises administering a compound of formula (I) to a human being or an animal.
- cystein proteases such as osteoporosis, osteoarthritis, rheumatoid arthritis, tumor metastasis, glomerulonephritis, atherosclerosis, myocardial infarction, angina
- the present invention also relates to pharmaceutical compositions comprising a compound of formula (I) and a pharmaceutically acceptable carrier and/or adjuvant. Furthermore, the present invention relates to the use of such compounds for the preparation of medicaments for the treatment of disorders which are associated with cystein proteases. The present invention also relates to processes for the preparation of the compounds of formula (I).
- lower is used to mean a group consisting of one to seven, preferably of one to four carbon atom(s).
- alkyl refers to a branched or straight chain monovalent saturated aliphatic hydrocarbon radical of one to eight carbon atoms.
- lower-alkyl refers to a branched or straight chain monovalent alkyl radical of one to six carbon atoms, preferably one to four carbon atoms. This term is further exemplified by such radicals as methyl, ethyl, ⁇ -propyl, isopropyl, ⁇ -butyl, 5-butyl, t-butyl and the like.
- Lower-alkyl group are preferred alkyl groups.
- Alkylene means a linear saturated divalent hydrocarbon radical of one to six carbon atoms or a branched saturated divalent hydrocarbon radical of three to six carbon atoms, e.g., methylene, ethylene, 2,2-dimethylethylene, propylene, 2-methylpropylene, butylene, pentylene, and the like.
- cycloalkyl refers to a monovalent carbocyclic radical of 3 to 10 carbon atom(s), preferably 3 to 6 carbon atoms.
- Alkylamino or “Monoalkylamino” means a radical -NHR where R represents an alkyl, cycloalkyl or cycloalkyl-alkyl group as defined herein. Representative examples include, but are not limited to methylamino, ethylamino, isopropylamino, cyclohexylamino, and the like.
- Dialkylamino means a radical -NRR' where R and R' independently represent an alkyl, cycloalkyl, or cycloalkylalkyl group as defined herein. Representative examples include, but are not limited to dimethylamino, methylethylamino, di(l- methylethyl) amino, (cyclohexyl) (methyl) amino, (cyclohexyl) (ethyl)amino, (cyclohexyl)(propyl)amino, (cyclohexylmethyl)(methyl)amino, (cyclohexylmethyl)(ethyl)amino, and the like.
- halo refers to fluorine, chlorine, bromine and iodine, with fluorine, chlorine and bromine being preferred and chlorine and bromine being more preferred.
- Haloalkyl means alkyl substituted with one or more same or different halo atoms, e.g., -CH2C1, -CF3, -CH2CF3, -CH2CC13, and the like.
- Heteroalkyl means an alkyl radical as defined herein wherein one, two or three hydrogen atoms have been replaced with a substituent independently selected from the group consisting of -ORa, -NRbRc, and-S(O)nRd (where n is an integer from 0 to 2), with the understanding that the point of attachment of the heteroalkyl radical is through a carbon atom, wherein Ra is hydrogen, acyl, alkyl, cycloalkyl, or cycloalkylalkyl; Rb and Re are independently of each other hydrogen, acyl, alkyl, cycloalkyl, or cycloalkylalkyl; when n is 0, Rd is hydrogen, alkyl, cycloalkyl, or cycloalkylalkyl, and when n is 1 or 2, Rd is alkyl, cycloalkyl, cycloalkylalkyl, amino, acylamino, monoalkylamino, or dialkylamin
- Representative examples include, but are not limited to, 2-hydroxyethyl, 3-hydroxypropyl, 2-hydroxy-l-hydroxymethylethyl, 2,3-dihydroxypropyl, 1-hydroxymethylethyl, 3- hydroxybutyl, 2,3-dihydroxybutyl, 2-hydroxy-l-methylpropyl, 2-aminoethyl, 2- dimethylamino-propyl, 3-aminopropyl, 3-amino-2-methyl-propyl, 3-dimethylamino-2- methyl-propyl, 2-methylsulfonylethyl, aminosulfonylmethyl, aminosulfonylethyl, aminosulfonylpropyl, methylaminosulfonylmethyl, methylaminosulfonylethyl, methylaminosulfonylpropyl, and the like.
- Heteroaryl means a monocyclic or bicyclic radical of 5 to 12 ring atoms having at least one aromatic ring containing one, two, or three ring heteroatoms selected from N, O, or S, the remaining ring atoms being C, with the understanding that the attachment point of the heteroaryl radical will be on an aromatic ring.
- the heteroaryl ring is optionally substituted independently with one or more substituents, preferably one or two substituents, selected from alkyl, haloalkyl, hydroxyalkyl, heteroalkyl, acyl, alkylene-C(O)- XR (where X is a bond, O or NR' (where R' is hydrogen or lower-alkyl) and R is hydrogen, alkyl, alkenyl, hydroxy, alkoxy, amino, monoalkylamino or dialkylamino) acylamino, amino, monoalkylamino, dialkylamino, NR'C(O)OR" (where R' is hydrogen or alkyl and R" is alkyl or alkenyl), alkylthio, alkylsulfinyl, alkylsulfonyl, arylsulfonyl, alkylsulfonylalkyl, alkylsulfinylalkyl, -SO 2 NR'
- heteroaryl includes, but is not limited to, pyridyl, furanyl, thienyl, thiazolyl, isothiazolyl, triazolyl, imidazolyl, isoxazolyl, pyrrolyl, pyrazolyl, pyrimidinyl, napthyridinyl, benzofuranyl, tetrahydrobenzofuranyl, isobenzofuranyl, benzothiazolyl, benzoisothiazolyl, benzotriazolyl, indolyl, isoindolyl, indazolyl, benzoxazolyl, quinolyl, tetrahydroquinolinyl, isoquinolyl, benzimidazolyl, benzisoxazolyl or benzothienyl and derivatives thereof.
- Heteroaryl-alkoxy means a group -O-lower-alkyl-heteroaryl. Representative examples include, but are not limited to (pyridin-2-yl)-methoxy and 2-(pyridin-2-yl)- ethoxy.
- Heterocyclyl means a saturated or unsaturated non-aromatic cyclic radical of 3 to 8 ring atoms in which one or two ring atoms are heteroatoms selected from N, N(O), O, or S(O) ⁇ (where n is an integer from 0 to 2), the remaining ring atoms being C.
- the heterocyclyl ring may be optionally substituted independently with one, two, or three substituents selected from alkyl, haloalkyl, heteroalkyl, halo, nitro, cyanoalkyl, hydroxy, alkoxy, amino, monoalkylamino or dialkylamino.
- heterocyclyl includes, but is not limited to, tetrahydropyranyl, piperidino, N-methylpiperidin-3-yl, piperazino, 4-methyl-piperazino, N-methylpyrrolidin-3-yl, 3-pyrrolidino, morpholino, thiomorpholino, thiomorpholino-1 -oxide, thiomorpholino-l,l-dioxide, pyrrolinyl, imidazolinyl, and the derivatives thereof.
- Heterocyclylalkyl means a group -R x -R y where R x is an alkylene group and R y is a heterocyclyl group. Representative examples include, but are not limited to, 2-(morpholin- 4-yl)ethyl, 3-(morpholin-4-yl)-propyl, 2-(4-methyl-piperazin-l-yl)ethyl, 3-(4-methyl- piperazin-l-yl)-propyl, 3-(piperidin-l-yl)propyl and the like.
- Heterocyclyl-alkoxy means a group -OR -R y where R x is an alkylene group and R y is a heterocyclyl group. Representative examples include, but are not limited to 2- (morpholin-4-yl)ethoxy, 2-(4-methyl-piperazin-l-yl)ethoxy and the like.
- Heterocyclyloxy means a group O-R y where R y is a heterocyclyl group. Representative examples include but ar not limited to tetrahydropyranyloxy and the like.
- Hydrophilyl means an alkyl radical as defined herein, substituted with one or more, preferably one, two or three hydroxy groups, provided that the same carbon atom does not carry more than one hydroxy group.
- Representative examples include, but are not limited to, 2-hydroxyethyl, 2-hydroxypropyl, 3-hydroxypropyl, l-(hydroxymethyl)-2- methylpropyl, 2-hydroxybutyl, 3-hydroxybutyl, 4-hydroxybutyl, 2,3-dihydroxypropyl, 2- hydroxy- 1 -hydroxymethylethyl, 2,3-dihydroxybutyl, 3,4-dihydroxybutyl and 2-
- hydroxyalkyl is used to define a subset of heteroalkyl groups.
- alkoxy refers to the group R'-O-, wherein R' is an alkyl.
- lower-alkoxy refers to the group R'-O-, wherein R' is a lower-alkyl.
- alkenyl stands for alone or in combination with other groups, a straight- chain or branched hydrocarbon residue comprising an olefinic bond and up to 20, preferably up to 16 C-atoms.
- lower-alkenyl refers to a straight- chain or branched hydrocarbon residue comprising an olefinic bond and up to 7, preferably up to 4 C-atoms.
- Aryl means a monocyclic or bicyclic aromatic hydrocarbon radical which is optionally substituted with one or more substituents, preferably one, two or three, substituents preferably selected from the group consisting of alkyl, haloalkyl, hydroxyalkyl, heteroalkyl, acyl, acylamino, amino, alkylamino, dialkylamino, alkylthio, alkylsulfinyl, alkylsulfonyl, -SO 2 NR'R" (where R' and R" are independently hydrogen or alkyl), alkoxy, haloalkoxy, alkoxycarbonyl, carbamoyl, hydroxy, halo, nitro, cyano, mercapto, methylenedioxy or ethylenedioxy.
- aryl includes, but is not limited to, phenyl, chlorophenyl, fluorophenyl, methoxyphenyl, 1-naphthyl, 2-naphthyl, and the derivatives thereof.
- Preferred aryl groups are phenyl optionally substituted with halo, lower-alkyl, lower-alkoxy, hydroxy, NO 2 , CN, or CF 3 .
- Alkyl means a group aryl-lower-alkyl, wherein aryl and lower-alkyl are as defined above.
- salts embraces salts of the compounds of formula (I) with inorganic or organic acids such as hydrochloric acid, hydrobromic acid, nitric acid, sulphuric acid, phosphoric acid, citric acid, formic acid, maleic acid, acetic acid, succinic acid, tartaric acid, methanesulphonic acid, p-toluenesulphonic acid and the like, which are non toxic to living organisms.
- inorganic or organic acids such as hydrochloric acid, hydrobromic acid, nitric acid, sulphuric acid, phosphoric acid, citric acid, formic acid, maleic acid, acetic acid, succinic acid, tartaric acid, methanesulphonic acid, p-toluenesulphonic acid and the like, which are non toxic to living organisms.
- esters embraces esters of the compounds of formula (1), in which hydroxy groups have been converted to the corresponding esters with inorganic or organic acids such as hydrochloric acid, hydrobromic acid, nitric acid, sulphuric acid, phosphoric acid, citric acid, formic acid, maleic acid, acetic acid, succinic acid, tartaric acid, methanesulphonic acid, p-toluenesulphonic acid and the like, which are non toxic to living organisms.
- the present invention refers to compounds of formula (I)
- R 1 is heteroaryl, (CR'R") m -CO-R a or -S(O) p -R a ; wherein:
- R' and R" are independently hydrogen or lower-alkyl; m is zero or one; p is one or two;
- R a is heteroaryl, heteroaryl-lower-alkyl,or heteroaryl-lower- alkoxy wherein the heteroaryl in each of the preceding is selected from the group consisting of indolyl, pyridyl, quinolinyl, isoquinolinyl, N-oxo-quinolinyl, N-oxo-isoquinolinyl, naphthyridinyl, pyrazolyl, indazolyl, furo[2,3-b]pyridinyl, furo[2,3-c]pyridinyl, furo[3,2-c]pyridinyl, furo[3,2-b]pyridinyl, lH-pyrrolo[3,2-b]pyridinyl, 1H- pyrrolo[2,3-b]pyridinyl, lH-pyrrolo[3,2-c]pyridinyl,lH-pyrrolo[2,3-c]pyridinyl, 1H-
- R 2 is hydrogen or lower-alkyl
- R 3 is hydrogen or lower-alkyl
- R 4 is hydrogen or lower-alkyl
- R 5 is hydrogen, lower-alkyl, heteroalkyl, cycloalkyl, cycloalkyl-lower-alkyl, lower-alkoxy- carbonyl-lower- alkyl, aryl, aralkyl, heteroaryl, or heteroaryl-lower-alkyl;
- R 6 is hydrogen or alkyl; and n is an integer from one to three; and pharmaceutically acceptable salts and/ or pharmaceutically acceptable esters thereof.
- the present invention relates to compounds of formula (I)
- R 1 is heteroaryl, (CR'R") m -CO-R a or -S(O) p -R a ; wherein: R' and R" are independently hydrogen or lower alkyl; m is zero or one; p is one or two; R a is heteroaryl, heteroaryl-lower-alkyl,or heteroaryl-lower- alkoxy wherein the heteroaryl in each of the preceding is selected from the group consisting of indolyl, pyridyl, quinolinyl, isoquinolinyl, N-oxo-quinolinyl, N-oxo-isoquinolinyl, naphthyridinyl, pyrazolyl, indazolyl, furo[2,3-b]pyridinyl, furo[2,3-c]pyridinyl, furo[3,2-c]pyridinyl, furo[3,2-b]pyridinyl, lH-pyrrolo[
- R 2 is hydrogen or lower-alkyl
- R 3 is hydrogen or lower-alkyl
- R 4 is hydrogen or lower-alkyl
- R 5 is hydrogen, lower-alkyl, heteroalkyl, cycloalkyl, cycloalkyl-loweralkyl, aryl aralkyl, heteroaryl or heteroaryl-loweralkyl;
- R 6 is hydrogen or alkyl; and n is an integer from one to three; and pharmaceutically acceptable salts and/or pharmaceutically acceptable esters thereof.
- the heteroaryl groups of R a can optionally be substituted. 1 to 3 substituents selected from the group consisting of halo, hydroxy, lower-alkyl, hydroxy- lower-alkyl, lower-alkoxy, alkylthio, NH 2 , NH-COO-lower-alkyl, NH-COO-lower-alkenyl, NH-SO 2 -lower-alkyl, SO 2 NH 2 , aryl, heterocyclyloxy, heterocyclyl-alkoxy, and heteroaryl- alkoxy come into considaration.
- the compounds of formula (I) have at least 2 asymmetric carbon atoms and can exist in the form of optically pure enantiomers or as racemates.
- the invention embraces all of these forms.
- Preferred compounds of formula (I) are compounds of formula (la)
- R 1 , R 2 , R 3 , R 4 , R 5 and n have the significances given above and pharmaceutically acceptable salts and/or pharmaceutically acceptable esters thereof.
- the compounds of formula (la) encompass cis- as well as trans-compounds.
- Other preferred compounds of formula (I) are cis-compounds of formula (lb)
- R 1 , R 2 , R 3 , R 4 , R 5 and n have the significances given above and pharmaceutically acceptable salts and/or pharmaceutically acceptable esters thereof.
- Further preferred compounds of formula (I) are compounds of formula (Ic)
- R 1 , R 2 , R 3 , R 4 , R 5 and n have the significances given above and pharmaceutically acceptable salts and/or pharmaceutically acceptable esters thereof.
- the compounds of formula (Ic) encompasses cis- as well as trans-compounds.
- R 4 and R 5 are both hydrogen as well as compounds where R 4 is hydrogen and R 5 is cycloalkyl or alkyl, particularly cyclopropyl or isobutyl.
- R 1 is -(CH 2 ) m CO-R a
- R a is indolyl, pyridyl, quinolinyl, isoquinolinyl, N-oxo- quinolinyl, N-oxo-isoquinolinyl, pyrazolyl or indazoly, each optionally substituted; more particularly optionally substituted indolyl (particularly optionally substituted 2-indolyl and 5-indolyl) and indazolyl.
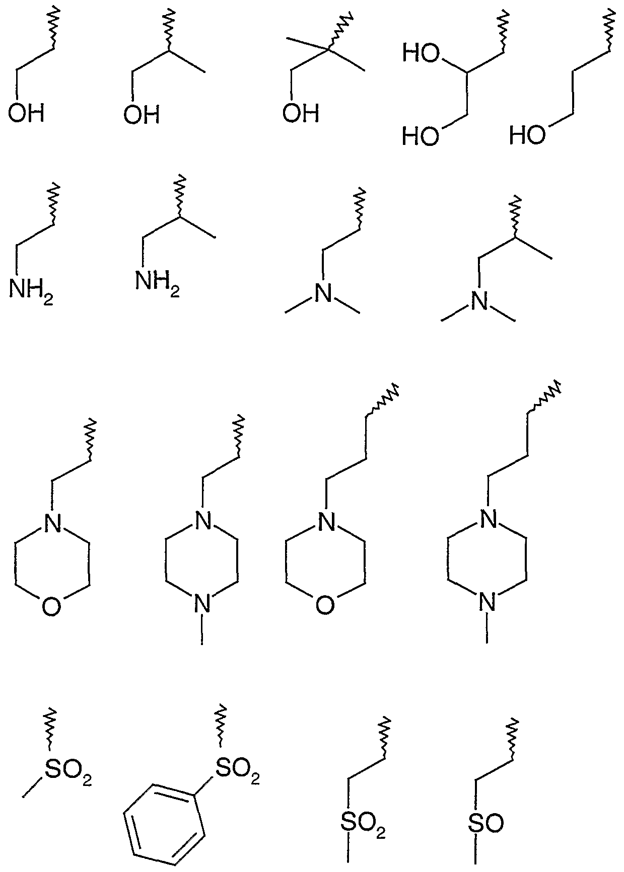
- Other contemplated optionally substituted 2-indolyl compounds are those where R is of the formula shown below.
- R is selected from the substituents shown below.
- R 1 is heteroaryl, particularly optionally substituted indolyl or indazolyl.
- the present invention relates to compounds as defined above, wherein R 1 is (CR'R") m -CO-R a , m is zero and R a is as defined above, particularly wherein R a is indolyl, pyridyl, quinolinyl, isoquinolinyl, N-oxo-quinolinyl, N-oxo- isoquinolinyl, pyrazolyl, indazolyl, quinoxalinyl, benzothiazolyl, pyrrolopyridinyl, benzoimidazothiazolyl, or indolizinyl, each optionally substituted with one or more, preferably one or two, substituents selected from the group consisting of halo, hydroxy, lower-alkyl, hydroxy-lower- alkyl, lower-alkoxy, alkylthio, NH 2 , NH-COO-lower-alkyl, NH-COO-lower-alkenyl
- R a is lH-indole-2-yl, 1- methyl-lH-indole-2-yl, lH-indole-5-yl, quinoline-2-yl, 6-[2-(4-methylpiperazin-l- yl)ethoxy]-lH-indole-2-yl, l-Methyl-6-(2-pyridin-2-yl-ethoxy)-lH-indole-2-yl, or l-(2- Hydroxy-ethyl)-lH-indole-2-yl are particularly prefeferred.
- R 1 is quinolin-8-yl are also preferred.
- R 5 is hydrogen, lower-alkyl, hydroxy-lower-alkyl, lower-alkoxy- carbonyl-lower-alkyl, lower-alkyl-thio-lower-alkyl, cycloalkyl, heteroaryl-lower-alkyl, or aryl-lower-alkyl, preferably hydrogen, lower-alkyl, or cycloalkyl, more preferably hydrogen, iso-butyl, or cyclopropyl.
- n is two.
- Preferred compounds of the present invention are those selected from the group consisting of
- Benzothiazole-6-carboxylic acid [(lS,2R)-2-(l-(S)-cyano-3-methyl-butylcarbamoyl)- cyclohexyl] -amide, l-Methyl-6-(pyridin-2-ylmethoxy)-lH-indole-2-carboxylic acid [(lS,2R)-2-(l-(S,R)- cyano-3-methyl-butylcarbamoyl)-cyclohexyl]-amide, l-Methyl-6-(2-pyridin-2-yl-ethoxy)-lH-indole-2-carboxylic acid [(lS,2R)-2-(l-(S)- cyano-3-methyl-butylcarbamoyl)-cyclohexyl] -amide, l-Methyl-6-(tetrahydro-pyran-4-yloxy)-lH-
- 6-Methyl-indolizine-2-carboxylic acid [(lS,2R)-2-(l-(S)-cyano-3-methyl- butylcarbamoyl)-cyclohexyl] -amide
- l-(2-Hydroxy-ethyl)-lH-indole-2-carboxylic acid [(lS,2R)-2-(l-(S)-cyano-3-methyl- butylcarbamoyl) -cyclohexyl] -amide.
- Particularly preferred compounds of the present invention are those selected from the group consisting of
- the invention also relates to the use of compounds of formula (I) as defined above for the treatment and/or prevention of diseases which are associated with cysteine proteases, particularly cathepsin K, such as osteoporosis, osteoarthritis, rheumatoid arthritis, tumor metastasis, glomerulonephritis, atherosclerosis, myocardial infarction, angina pectoris, instable angina pectoris, stroke, plaque rupture, transient ischemic attacks, amaurosis fugax, peripheral arterial occlusive disease, restenosis after angioplasty and stent placement, abdominal aortic aneurysm formation, inflammation, autoimmune disease, malaria, ocular fundus tissue cytopathy and respiratory disease.
- the invention relates to the use of compounds as defined above for the treatment and/or prevention of osteoporosis, tumor metastasis, instable angina pectoris or plaque rupture.
- the invention relates to compounds as defined above for use as therapeutic active substances, in particular for the treatment and/or prevention of diseases which are associated with cysteine proteases, particularly cathepsin K, such as osteoporosis, osteoarthritis, rheumatoid arthritis, tumor metastasis, glomerulonephritis, atherosclerosis, myocardial infarction, angina pectoris, instable angina pectoris, stroke, plaque rupture, transient ischemic attacks, amaurosis fugax, peripheral arterial occlusive disease, restenosis after angioplasty and stent placement, abdominal aortic aneurysm formation, inflammation, autoimmune disease, malaria, ocular fundus tissue cytopathy and respiratory disease.
- the invention relates to compounds as defined above for use as therapeutic active substances, in particular for the treatment and/or prevention of osteoporosis, tumor metastasis, instable angina pectoris or plaque rupture.
- the invention also relates to pharmaceutical compositions comprising a compound as defined above and a pharmaceutically acceptable carrier and/or adjuvant, in particular for the treatment and/ or prevention of diseases which are associated with cysteine proteases, particularly cathepsin K, such as osteoporosis, osteoarthritis, rheumatoid arthritis, tumor metastasis, glomerulonephritis, atherosclerosis, myocardial infarction, angina pectoris, instable angina pectoris, stroke, plaque rupture, transient ischemic attacks, amaurosis fugax, peripheral arterial occlusive disease, restenosis after angioplasty and stent placement, abdominal aortic aneurysm formation, inflammation, autoimmune disease, malaria, ocular fundus tissue cytopathy and respiratory disease.
- cysteine proteases particularly cathepsin K
- diseases which are associated with cysteine proteases particularly cathepsin K
- diseases which are associated with cysteine proteases particularly cathe
- the invention relates to pharmaceutical compositions comprising a compound as defined above and a pharmaceutically acceptable carrier and/ or adjuvant for the treatment and/or prevention of osteoporosis, tumor metastasis, instable angina pectoris or plaque rupture.
- a further embodiment of the present invention refers to the use of compounds as defined above for the preparation of medicaments for the treatment and/or prevention of diseases which are associated with cystein proteases, particularly cathepsin K, such as osteoporosis, osteoarthritis, rheumatoid arthritis, tumor metastasis, glomerulonephritis, atherosclerosis, myocardial infarction, angina pectoris, instable angina pectoris, stroke, plaque rupture, transient ischemic attacks, amaurosis fugax, peripheral arterial occlusive disease, restenosis after angioplasty and stent placement, abdominal aortic aneurysm formation, inflammation, autoimmune disease, malaria, ocular fundus tissue cytopathy and respiratory disease.
- cystein proteases particularly cathepsin K
- diseases which are associated with cystein proteases, particularly cathepsin K such as osteoporosis, osteoarthritis, rheumatoid arthritis, tumor metastasis
- the invention relates to the use of compounds as defined above for the preparation of medicaments for the treatment and/ or prevention of osteoporosis, tumor metastasis, instable angina pectoris or plaque rupture.
- medicaments comprise a compound as defined above.
- An additional embodiment of the invention relates to a method for the treatment and/or prevention of diseases which are associated with cystein proteases, particularly cathepsin K, such as osteoporosis, osteoarthritis, rheumatoid arthritis, tumor metastasis, glomerulonephritis, atherosclerosis, myocardial infarction, angina pectoris, instable angina pectoris, stroke, plaque rupture, transient ischemic attacks, amaurosis fugax, peripheral arterial occlusive disease, restenosis after angioplasty and stent placement, abdominal aortic aneurysm formation, inflammation, autoimmune disease, malaria, ocular fundus tissue cytopathy and respiratory disease, which method comprises administering a compound as defined above to a human being or an animal.
- cystein proteases particularly cathepsin K
- diseases which are associated with cystein proteases, particularly cathepsin K such as osteoporosis, osteoarthritis, rheumato
- a preferred embodiement of the invention relates to a method for the treatment and/or prevention of osteoporosis, tumor metastasis, instable angina pectoris or plaque rupture, which method comprises administering a compound as defined above to a human being or an animal.
- the invention further relates to a method of preparing compounds of general formula (I) comprising: a) reacting a compound of formula (II)
- R , R , R , R , R and n are as defined above,
- the invention further relates to a method of preparing compounds of general formula (I) comprising: reacting a ester of Formula (VII) (where R is for example an alkyl group) with a compound R 2 CO 2 H of Formula (VIII) to provide a compound of Formula IX which is hydrolysed and treated with a compound of Formula (X) to give the amide of Formula (XI) which is then converted to a compound of Formula (I) by treatment with a dehydrating agent.
- dehydrating agents include trifluoroacetic anhydride, Burgess reagent, TsCl, SOCl 2 , COCl 2 , P 2 Os and POCl 3 .
- R 1 , R 2 , R 3 , R 4 , R 5 , R 6 and n have the significances given above.
- the invention also relates to a process as described above, which process comprises the preparation of pharmaceutically acceptable salts and/or pharmaceutically acceptable esters.
- the formation of the esters and/or salts can be carried out at different stages of the process, e.g. with the compound of formula (I) or with the corresponding starting materials.
- reaction of a compound of formula (II) with a compound of formula (III) can be carried out by methods known to the person skilled in the art.
- the reaction can conveniently be carried out by dissolving compound (II), compound (III), TPTU (O-l,2- Dihydro-2-oxo-l-pyridyl)-N,N,N',N'-tetramethyluronium tetrafluoroborate) and H ⁇ nigs base (N-Ethyldiisopropylamine) in MeCN and stirring the mixture at room temperature for 6 to 16 hours.
- the reaction mixture can be concentrated and the product can be obtained by methods known to the person skilled in the art, e.g. by extraction and column chromatography.
- a compound of formula (II) can be dissolved in CH 2 C1 2 and reacted for 6 to 16 hours at room temperature with a compound of formula (III) in the presence of N-methylmorpholin, HOBT and EDCI.
- the product can be isolated by methods known per se, e.g. by extraction and HPLC.
- reaction of a compound of formula (IV) with a compound of formula (V) or (VI) is conveniently carried out by preparing a solution of compound (IV) in CH 2 C1 2 and adding a solution of compound (V) or (VI) in CH 2 C1 2 . To this mixture, triethylamine is added and after shaking 6 to 16 hours at room temperature formic acid is added.
- the product can be isolated and purified by methods known per se, e.g. by evaporation of the solvent and HPLC.
- esters and/or salts In order to prepare pharmaceutically acceptable salts and/or pharmaceutically acceptable esters of compounds of formula (I), it is possible to prepare the corresponding esters and/or salts starting from the compounds of formula (I). It is also possible, to form the esters and/or salts at an earlier stage, e.g. to form the corresponding salts an/or esters of the corresponding starting materials.
- the methods to prepare pharmaceutically acceptable salts and/or pharmaceutically acceptable esters as defined before are known in the art.
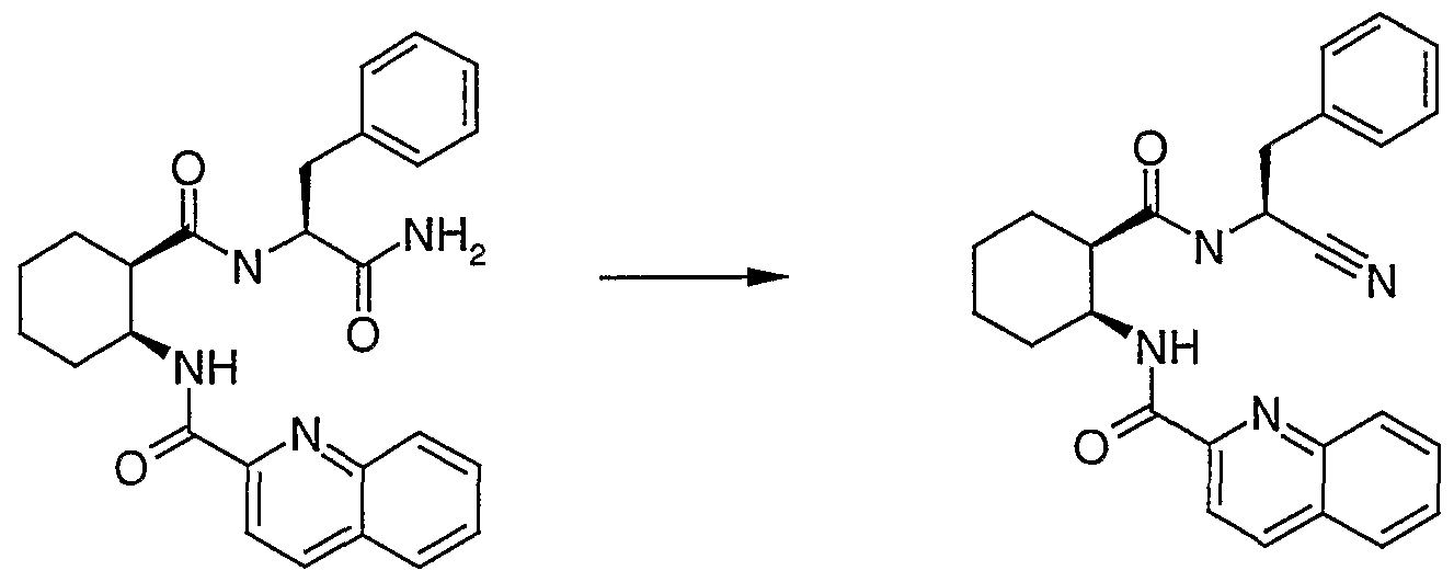
- Compounds of formula (III) can conveniently be obtained by adding a solution of the corresponding aldehyde in CH 2 C1 2 to a solution of NH C1 and NaCN in H 2 O and MeOH at 0°C. The mixture is stirred and allowed to warm to room temperature. After addition of NH 3 solution and completion of the reaction the resulting compound of formula (III) is isolated and purified by methods known to the person skilled in the art, e.g. by extraction. The corresponding hydrochlorid can be prepared by methods known per se.
- Chiral compounds of formula (III) can conveniently be obtained by adding ammonium bicarbonate to a mixed anhydride (prepared from a suitable t-BOC protected amino acid and di-tert-butyl dicarbonate) at 15°C. The reaction mixture is stirred at room temperature for 1-5 h. After completion of the reaction the resulting t-BOC protected amino acid amide is isolated and purified by methods known to the person skilled in the art, e.g. by extraction. The Boc protected amino acid amide and triethylamine are dissolved in THF and trifluoroacetic acid anhydride at 0°C. The mixture is stirred for 2 h at -10°C. After isolation and purification of the resulting intermediate product, e.g. by evaporation of the solvent and flash chromatography, the t-BOC protective group can be cleaved off with HCl in acetic acid to yield the desired compound of formula (III).
- a mixed anhydride prepared from a suitable t-BOC protected amino
- Compounds of formula (IV) can conveniently be obtained by reacting the corresponding t-BOC protected amino acid with a compound of formula (III) analogous to the method described above. After isolation and purification of the resulting intermediate product, e.g. by evaporation of the solvent and flash chromatography, the t-BOC protective group can be cleaved off with trifluoro-acetic acid to yield the desired compound of formula (IV) with trifluoro-acetic acid.
- the present invention relates to all compounds of formula (I), as prepared by one of the processes described above.
- the inhibitory activity of the compounds against cathepsin K, S, L and B was tested at room temperature in 96-wells opaque white polystyrene plates (Costar).
- the cathepsin K inhibitory activity was tested as follows:
- the initial velocity (RFU/min) was derived from the linear fit of the 11 reading points.
- the cathepsin B inhibitory activity was assayed under the same conditions as the cathepsin K inhibitory activity using human liver cathepsin B (Calbiochem) at a final concentration of 1 nM.
- the cathepsin L inhibitory activity was assayed under the same conditions as the cathepsin K inhibitory activity using human liver cathepsin L (Calbiochem) at a final concentration of 3 nM.
- Cathepsin S inhibitory activity was assayed analogeously to the cathepsin K inhibitory activity, except that the buffer was 100 mM potassium phosphate, 5mM EDTA, 5mM DTT (freshly added), 0.01% Triton X-100, pH 6.5 and the fluorogenic substrate was Z-Val-Val-Arg-MCA (Bachem) (final concentration: 20 ⁇ M).
- Human recombinant cathepsin S (Wiederanders et al., Eur. J. Biochem. 1997, 250, 745-750) was used at a final concentration of 0.5 nM.
- IC 50 values which denote the concentration of the inhibitor at which the enzymatic activity is inhibited by 50%.
- the IC 50 values are determined from a linear regression curve from a logit-log plot.
- medicaments containing a compound of formula (I) are also an object of the present invention, as is a process for the manufacture of such medicaments, which process comprises bringing one or more compounds of formula (I) and, if desired, one or more other therapeutically valuable substances into a galenical administration form.
- compositions may be administered orally, for example in the form of tablets, coated tablets, dragees, hard or soft gelatine capsules, solutions, emulsions or suspensions.
- Administration can also be carried out rectally, for example using suppositories; locally or percutaneously, for example using ointments, creams, gels or solutions; or parenterally, e.g. intravenously, intramuscularly, subcutaneously, intrathecally or transdermally, using for example injectable solutions.
- administration can be carried out sublingually or as opthalmological preparations or as an aerosol, for example in the form of a spray.
- the compounds of the present invention may be admixed with pharmaceutically inert, inorganic or organic excipients.
- suitable excipients for tablets, dragees or hard gelatine capsules include lactose, maize starch or derivatives thereof, talc or stearic acid or salts thereof.
- Suitable excipients for use with soft gelatine capsules include for example vegetable oils, waxes, fats, semi-solid or liquid polyols etc.; according to the nature of the active ingredients it may however be the case that no excipient is needed at all for soft gelatine capsules.
- excipients which may be used include for example water, polyols, saccharose, invert sugar and glucose.
- excipients which may be used include for example water, alcohols, polyols, glycerine, and vegetable oils.
- excipients which may be used include for example natural or hardened oils, waxes, fats and semi-solid or liquid polyols.
- compositions may also contain preserving agents, solubilising agents, stabilising agents, wetting agents, emulsifiers, sweeteners, colorants, odorants, salts for the variation of osmotic pressure, buffers, coating agents or antioxidants. As mentioned earlier, they may also contain other therapeutically valuable agents.
- Intravenous, intramuscular or oral administration is a preferred form of use.
- the dosages in which the compounds of formula (I) are administered in effective amounts depend on the nature of the specific active ingredient, the age and the requirements of the patient and the mode of application. In general, daily dosages of about 1 mg - 1000 mg, preferably 5 mg - 500 mg, per day come into consideration.
- the corresponding starting materials are either commercially available or can be obtained by methods known in the art (e.g. from: DE 26 24 290; WO 98/0354; Chem. Pharm. Bull., 38(2), 350-354 (1990), Chiral Synthon Obtained with Pig Liver Esterase: Introduction of Chiral Centers into Cyclohexene Skeleton; J. Chem. Soc. Perkin Trans., 1, 1411-1415 (1994), Asymmetric Synthesis of (-)-(lR,2S)-Cispentacin and Related cis- and trans-2- Amino Cyclopentane- and Cyclohexane-1 -carboxylic Acids) or can be obtained by methods analogous to the methods described before.
- reaction mixture was stirred at room temperature overnight, partitioned between ethyl acetate and water, dried over magnesium sulfate and concentrated to provide ethyl (1R,2S)- 2-[(lH-indol-2-ylcarbonyl)arnino]cyclohexane-carboxylate.
- reaction mixture was stirred at room temperature overnight, partitioned between ethyl acetate and water, dried over magnesium sulfate and concentrated to provide 290mg of ethyl (1R, 2S) -2-[(lH-quino-2-ylcarbonyl) amino]cyclohexanecarboxylate (crude).
- This example illustrates the preparation of N-[(lS,2R)-2-( ⁇ [(S)- cyano(cyclopropyl)methyl] amino ⁇ carbonyl)cyclohexyl]- 1 -methyl- lH-indole-2- carboxamide starting with ethyl cw-2-amino-l-cyclohexanecarboxylate and (S)- cyclopropylglycinamide or alternatively with ethyl cw-2-amino-l-cyclohexanecarboxylate and (S)-cyclopropylglycine nitrile.
- the imine was directly hydrolyzed to give cyclopropylglycine nitrile by dissolving in ether and treating with IM HCl in an ice bath.
- the aqueous layer was separated, washed with ether, then carefully concentrated on the rotary evaporator (30-42 °C water bath) and concentrated in vacuo to give the product as a hygroscopic white solid.
- the resin was then treated with 10%TFA/CH 2 C1 2 (2.5 ml) for 30 min, filtered and washed twice with 2.5 mL of CH 2 C1 2 .
- the filtrate was evaporated on a Speed- Vac and dissolved in CH 2 C1 2 (2.5 mL).
- Burgess reagent (2 eq, 57 mg) was added and the reaction stirred overnight.
- the reaction was then evaporated on a Speed-Vac and purified by reverse phase high pressure liquid chromatography to yield 1.8 mg of a 95% pure sample.
- the reaction mixture was then heated to 90 °C and stirred at that temperature for 17 hours.
- the mixture was allowed to cool to room temperature, taken up in diethyl ether (35 mL), washed three times with saturated brine (30 mL), dried over magnesium sulfate, and concentrated to provide the crude reaction mixture.
- the crude mixture was re-dissolved in ethyl acetate, partitioned between ethyl acetate and IN HCl, dried over magnesium sulfate and concentrated to provide 125 mg (15 %) of 2-(quinolin-8- ylamino)cyclohexanecarboxylic acid with both cis and trans isomers in 1:1 ratio. Confirmed by 1H NMR.
- This example illustrates the synthesis of N-[(lS,2R)-2-( ⁇ [(lS)-l-cyano-3- methylbutyl]amino ⁇ carbonyl)cyclohexyl]-l,3-benzothiazole-6-carboxamide starting from ethyl cw-2-amino-l-cyclohexanecarboxylate.
- the ester (26.45 g, 86.62 mmol) was dissolved in 250 mL of tetrahydrofuran and treated with a solution of lithium hydroxide monohydrate (10.65 g, 256 mmol) in 250 mL of water and stirred at ambient temperature for 24 h.
- the reaction mixture was cooled to 0 °C and neutralized with 300 mL of a IN HCl solution.
- Ethyl acetate (400 mL) was added and the organic layer was separated, dried over sodium sulfate, filtered and concentrated to give a crude solid.
- This example illustrates the synthesis of N-[(lS,2R)-2-( ⁇ [(lS)-l-cyano-3- methylbutyl]amino ⁇ carbonyl)cyclohexyl]-l-(2-hydroxyethyl)-lH-indole-2-carboxamide starting from ethyl indole-2-carboxylate.
- This compound was prepared by a modification of method B-2.
- This carboxylic acid was used to prepare compounds 2-4, 2-6, 2-14, 2-18, 2-19, 4-2, 4-3 and 4-4.
- Step 2 Cleavage of 6-Methoxy group and methyl ester.
- the inhibitory activity of the compounds against cathepsin K, S, L and B was tested at room temperature in 96-wells opaque white polystyrene plates (Costar).
- the cathepsin K inhibitory activity was tested as follows:
- the cathepsin B inhibitory activity was assayed under the same conditions as the cathepsin K inhibitory activity using human liver cathepsin B (Calbiochem) at a final concentration of 1 nM.
- the cathepsin L inhibitory activity was assayed under the same conditions as the cathepsin K inhibitory activity using human liver cathepsin L (Calbiochem) at a final concentration of 3 nM.
- Cathepsin S inhibitory activity was assayed analogeously to the cathepsin K inhibitory activity, except that the buffer was 100 mM potassium phosphate, 5mM EDTA, 5mM DTT (freshly added), 0.01% Triton X-100, pH 6.5 and the fluorogenic substrate was Z-Val-Val-Arg-MCA (Bachem) (final concentration: 20 ⁇ M).
- Human recombinant cathepsin S (Wiederanders et al., Eur. J. Biochem. 1997, 250, 745-750) was used at a final concentration of 0.5 nM.
- Tablets containing the following ingredients can be manufactured in a conventional manner:
- Capsules containing the following ingredients can be manufactured in a conventional manner:
- Injection solutions can have the following composition:
Landscapes
- Chemical & Material Sciences (AREA)
- Organic Chemistry (AREA)
- Health & Medical Sciences (AREA)
- Veterinary Medicine (AREA)
- Life Sciences & Earth Sciences (AREA)
- General Chemical & Material Sciences (AREA)
- Chemical Kinetics & Catalysis (AREA)
- Medicinal Chemistry (AREA)
- Nuclear Medicine, Radiotherapy & Molecular Imaging (AREA)
- Pharmacology & Pharmacy (AREA)
- Public Health (AREA)
- Animal Behavior & Ethology (AREA)
- General Health & Medical Sciences (AREA)
- Bioinformatics & Cheminformatics (AREA)
- Engineering & Computer Science (AREA)
- Cardiology (AREA)
- Physical Education & Sports Medicine (AREA)
- Immunology (AREA)
- Tropical Medicine & Parasitology (AREA)
- Rheumatology (AREA)
- Heart & Thoracic Surgery (AREA)
- Orthopedic Medicine & Surgery (AREA)
- Virology (AREA)
- Oncology (AREA)
- Urology & Nephrology (AREA)
- Molecular Biology (AREA)
- Communicable Diseases (AREA)
- Pain & Pain Management (AREA)
- AIDS & HIV (AREA)
- Ophthalmology & Optometry (AREA)
- Hospice & Palliative Care (AREA)
- Vascular Medicine (AREA)
- Pulmonology (AREA)
- Pharmaceuticals Containing Other Organic And Inorganic Compounds (AREA)
- Plural Heterocyclic Compounds (AREA)
- Acyclic And Carbocyclic Compounds In Medicinal Compositions (AREA)
- Indole Compounds (AREA)
- Quinoline Compounds (AREA)
- Other In-Based Heterocyclic Compounds (AREA)
- Pyridine Compounds (AREA)
Abstract
Description
Claims
Priority Applications (10)
| Application Number | Priority Date | Filing Date | Title |
|---|---|---|---|
| EP02787799A EP1453801B1 (en) | 2001-12-04 | 2002-11-25 | Substituted 2-amino-cycloalkanecarboxamides and their use as cysteine protease inhibitors |
| AU2002352126A AU2002352126A1 (en) | 2001-12-04 | 2002-11-25 | Substituted 2-amino-cycloalkanecarboxamides and their use as cysteine protease inhibitors |
| HU0402344A HUP0402344A2 (en) | 2001-12-04 | 2002-11-25 | Substituted 2-aminocycloalkane carboxamides, their use as cysteine protease inhibitors, process for their production and pharmaceutical preparations containing them |
| IL16199202A IL161992A0 (en) | 2001-12-04 | 2002-11-25 | Substituted 2-amino-cycloalkanecarboxamides and t heir use as cysteine protease inhibitors |
| JP2003549315A JP2005517640A (en) | 2001-12-04 | 2002-11-25 | Substituted 2-amino-cycloalkanecarboxamides and their use as cysteine protease inhibitors |
| BR0214642-8A BR0214642A (en) | 2001-12-04 | 2002-11-25 | Compounds, methods for preparing a compound, pharmaceutical compositions comprising the same and a method for treating and / or preventing diseases that are associated with cysteine proteas and use of such compounds. |
| DE60219068T DE60219068T2 (en) | 2001-12-04 | 2002-11-25 | SUBSTITUTED 2-AMINO CYKLOAL KANKARBOXAMIDES AND THEIR USE AS CYSTEIN PROTEASE INHIBITORS |
| CA002467435A CA2467435A1 (en) | 2001-12-04 | 2002-11-25 | Substituted 2-amino-cycloalkanecarboxamides and their use as cysteine protease inhibitors |
| MXPA04005263A MXPA04005263A (en) | 2001-12-04 | 2002-11-25 | Substituted 2-amino-cycloalkanecarboxamides and their use as cysteine protease inhibitors. |
| NO20042719A NO20042719L (en) | 2001-12-04 | 2004-06-28 | Substituted 2-amino-cycloalkanecarboxamides and their use as protease inhibitors |
Applications Claiming Priority (2)
| Application Number | Priority Date | Filing Date | Title |
|---|---|---|---|
| US33675001P | 2001-12-04 | 2001-12-04 | |
| US60/336,750 | 2001-12-04 |
Publications (1)
| Publication Number | Publication Date |
|---|---|
| WO2003048123A1 true WO2003048123A1 (en) | 2003-06-12 |
Family
ID=23317485
Family Applications (1)
| Application Number | Title | Priority Date | Filing Date |
|---|---|---|---|
| PCT/EP2002/013221 Ceased WO2003048123A1 (en) | 2001-12-04 | 2002-11-25 | Substituted 2-amino-cycloalkanecarboxamides and their use as cysteine protease inhibitors |
Country Status (25)
| Country | Link |
|---|---|
| US (1) | US6747053B2 (en) |
| EP (1) | EP1453801B1 (en) |
| JP (1) | JP2005517640A (en) |
| KR (1) | KR20050044660A (en) |
| CN (1) | CN1315806C (en) |
| AR (1) | AR037683A1 (en) |
| AT (1) | ATE357432T1 (en) |
| AU (1) | AU2002352126A1 (en) |
| BR (1) | BR0214642A (en) |
| CA (1) | CA2467435A1 (en) |
| DE (1) | DE60219068T2 (en) |
| ES (1) | ES2282497T3 (en) |
| GT (1) | GT200200253A (en) |
| HU (1) | HUP0402344A2 (en) |
| IL (1) | IL161992A0 (en) |
| MX (1) | MXPA04005263A (en) |
| NO (1) | NO20042719L (en) |
| PA (1) | PA8559701A1 (en) |
| PE (1) | PE20030723A1 (en) |
| PL (1) | PL370766A1 (en) |
| RU (1) | RU2004120784A (en) |
| TW (1) | TW200303861A (en) |
| UY (1) | UY27561A1 (en) |
| WO (1) | WO2003048123A1 (en) |
| ZA (1) | ZA200404343B (en) |
Cited By (18)
| Publication number | Priority date | Publication date | Assignee | Title |
|---|---|---|---|---|
| EP1749822A1 (en) * | 2005-08-05 | 2007-02-07 | Hybrigenics S.A. | Novel cysteine protease inhibitors and their therapeutic applications |
| WO2007041775A1 (en) * | 2005-10-10 | 2007-04-19 | The University Of Queensland | Cysteine protease inhibitors incorporating azide groups |
| WO2007017758A3 (en) * | 2005-08-05 | 2007-04-19 | Hybrigenics Sa | Novel cysteine protease inhibitors and their therapeutic applications |
| JP2007522170A (en) * | 2004-02-11 | 2007-08-09 | ノバルティス アクチエンゲゼルシャフト | Chemokine receptor antagonist |
| WO2007002481A3 (en) * | 2005-06-28 | 2007-11-15 | Merck & Co Inc | Non-nucleoside reverse transcriptase inhibitors |
| WO2009001129A1 (en) * | 2007-06-26 | 2008-12-31 | Astrazeneca Ab | 1-cyanocyclopropyl-derivatives as cathepsin k inhibitors |
| US7605159B2 (en) | 2002-12-13 | 2009-10-20 | Astrazeneca Ab | Cathepsin cysteine protease inhibitors and their use |
| US8536229B2 (en) | 2001-12-04 | 2013-09-17 | Novartis Ag | Acetylene derivatives having MGluR 5 antagonistic activity |
| US9447039B2 (en) | 2012-09-07 | 2016-09-20 | Novartis Ag | Indole carboxamide derivatives and uses thereof |
| US9522894B2 (en) | 2014-01-24 | 2016-12-20 | Astrazeneca Ab | Certain (2S)-N-[(1S)-1-cyano-2-phenylethyl]-1,4-oxazepane-2-carboxamides as dipeptidyl peptidase 1 inhibitors |
| WO2022042591A1 (en) | 2020-08-26 | 2022-03-03 | 四川海思科制药有限公司 | Nitrile derivative that acts as inhibitor of dipeptidyl peptidase 1 and use thereof |
| WO2022117059A1 (en) | 2020-12-04 | 2022-06-09 | 瑞石生物医药有限公司 | Small molecule inhibitor of cathepsin c and medicinal use thereof |
| WO2023236879A1 (en) | 2022-06-07 | 2023-12-14 | 瑞石生物医药有限公司 | Polymorph of benzo[c]chroman compound, preparation method therefor and use thereof |
| WO2023236877A1 (en) | 2022-06-07 | 2023-12-14 | 瑞石生物医药有限公司 | Pharmaceutically acceptable salt of benzo[c]chroman compound and polymorphic form and use of pharmaceutically acceptable salt |
| US11878001B2 (en) | 2017-07-31 | 2024-01-23 | Novartis Ag | Use of mavoglurant in the reduction of cocaine use or in preventing relapse into cocaine use |
| US11998553B2 (en) | 2018-07-17 | 2024-06-04 | Insmed Incorporated | Certain (2S)-N-[(1S)-1-cyano-2-phenylethyl]-1,4-oxazepane-2-carboxamides for treating lupus nephritis |
| US12059424B2 (en) | 2018-03-01 | 2024-08-13 | Astrazeneca Ab | Pharmaceutical compositions comprising (2S)-N-{(1S)-1-cyano-2-[4-(3-methyl-2-oxo-2,3-dihydro-1,3-benzoxazol-5-yl)phenyl]ethyl}-1,4-oxazepane-2-carboxamide |
| US12479837B2 (en) | 2023-01-06 | 2025-11-25 | Insmed Incorporated | Reversible DPP1 inhibitors and uses thereof |
Families Citing this family (10)
| Publication number | Priority date | Publication date | Assignee | Title |
|---|---|---|---|---|
| WO2000042213A1 (en) * | 1999-01-13 | 2000-07-20 | The Research Foundation Of State University Of New York | A novel method for designing protein kinase inhibitors |
| US7005445B2 (en) * | 2001-10-22 | 2006-02-28 | The Research Foundation Of State University Of New York | Protein kinase and phosphatase inhibitors and methods for designing them |
| AU2003235741B8 (en) * | 2002-01-07 | 2009-01-15 | Eisai R&D Management Co., Ltd. | Deazapurines and uses thereof |
| WO2006007664A1 (en) * | 2004-07-22 | 2006-01-26 | Genomics Research Partners Pty Ltd | Agents and methods for diagnosing osteoarthritis |
| WO2007081530A2 (en) * | 2006-01-03 | 2007-07-19 | Med Institute, Inc. | Endoluminal medical device for local delivery of cathepsin inhibitors |
| JP4012239B2 (en) | 2006-01-11 | 2007-11-21 | 生化学工業株式会社 | Oxazolone derivatives |
| US7838542B2 (en) * | 2006-06-29 | 2010-11-23 | Kinex Pharmaceuticals, Llc | Bicyclic compositions and methods for modulating a kinase cascade |
| CN101591327B (en) * | 2008-05-26 | 2012-07-25 | 华东理工大学 | Benzene alkyl amides compound and usage thereof |
| DK2736888T3 (en) * | 2011-07-26 | 2016-02-01 | Sanofi Sa | 3-HETEROAROYLAMINOPROPIONIC ACID DERIVATIVES AND THEIR USE AS PHARMACEUTICALS |
| JP6501074B2 (en) * | 2014-02-14 | 2019-04-17 | トーアエイヨー株式会社 | Cyclic hydrocarbon compound |
Citations (2)
| Publication number | Priority date | Publication date | Assignee | Title |
|---|---|---|---|---|
| WO2001047886A1 (en) * | 1999-12-24 | 2001-07-05 | F. Hoffmann-La Roche Ag | Nitrile derivatives as cathepsin k inhibitors |
| WO2001096285A1 (en) * | 2000-06-14 | 2001-12-20 | F. Hoffmann-La Roche Ag | Beta-amino acid nitrile derivatives |
Family Cites Families (6)
| Publication number | Priority date | Publication date | Assignee | Title |
|---|---|---|---|---|
| HU177576B (en) | 1975-06-02 | 1981-11-28 | Chinoin Gyogyszer Es Vegyeszet | Process for preparing 2-amino-cyclohexane carboxylic acid,its amides and similar compounds |
| DE4417163A1 (en) | 1994-05-17 | 1995-11-23 | Hoechst Schering Agrevo Gmbh | Heterocyclylamino and heterocyclyloxy-cycloalkyl derivatives, their preparation and their use as pesticides and fungicides |
| IT1283467B1 (en) | 1996-07-19 | 1998-04-21 | Menarini Farma Ind | DERIVATIVES OF 1,2 SUBSTITUTED CYCLOALKANES AS THROMBIN INHIBITORS, PROCEDURE FOR THEIR PREPARATION AND THEIR USE IN FORMULATIONS |
| SK6572000A3 (en) | 1997-11-05 | 2000-10-09 | Novartis Ag | Dipeptide nitriles, process for the preparation thereof, their use as medicaments and pharmaceutical composition comprising them |
| JP2003525874A (en) | 2000-01-06 | 2003-09-02 | メルク フロスト カナダ アンド カンパニー | Novel compounds and compositions as protease inhibitors |
| JP4343690B2 (en) | 2001-11-13 | 2009-10-14 | メルク フロスト カナダ リミテツド | Cyanoalkylamino derivatives as protease inhibitors |
-
2002
- 2002-11-25 EP EP02787799A patent/EP1453801B1/en not_active Expired - Lifetime
- 2002-11-25 BR BR0214642-8A patent/BR0214642A/en not_active IP Right Cessation
- 2002-11-25 IL IL16199202A patent/IL161992A0/en unknown
- 2002-11-25 MX MXPA04005263A patent/MXPA04005263A/en unknown
- 2002-11-25 PL PL02370766A patent/PL370766A1/en not_active Application Discontinuation
- 2002-11-25 HU HU0402344A patent/HUP0402344A2/en unknown
- 2002-11-25 AT AT02787799T patent/ATE357432T1/en not_active IP Right Cessation
- 2002-11-25 JP JP2003549315A patent/JP2005517640A/en active Pending
- 2002-11-25 DE DE60219068T patent/DE60219068T2/en not_active Expired - Fee Related
- 2002-11-25 RU RU2004120784/04A patent/RU2004120784A/en not_active Application Discontinuation
- 2002-11-25 WO PCT/EP2002/013221 patent/WO2003048123A1/en not_active Ceased
- 2002-11-25 KR KR1020047008481A patent/KR20050044660A/en not_active Ceased
- 2002-11-25 AU AU2002352126A patent/AU2002352126A1/en not_active Abandoned
- 2002-11-25 CN CNB02824060XA patent/CN1315806C/en not_active Expired - Fee Related
- 2002-11-25 ES ES02787799T patent/ES2282497T3/en not_active Expired - Lifetime
- 2002-11-25 CA CA002467435A patent/CA2467435A1/en not_active Abandoned
- 2002-11-29 PA PA20028559701A patent/PA8559701A1/en unknown
- 2002-11-29 PE PE2002001152A patent/PE20030723A1/en not_active Application Discontinuation
- 2002-11-29 TW TW091134784A patent/TW200303861A/en unknown
- 2002-12-02 AR ARP020104642A patent/AR037683A1/en unknown
- 2002-12-03 GT GT200200253A patent/GT200200253A/en unknown
- 2002-12-03 UY UY27561A patent/UY27561A1/en not_active Application Discontinuation
- 2002-12-03 US US10/308,963 patent/US6747053B2/en not_active Expired - Fee Related
-
2004
- 2004-06-02 ZA ZA200404343A patent/ZA200404343B/en unknown
- 2004-06-28 NO NO20042719A patent/NO20042719L/en not_active Application Discontinuation
Patent Citations (2)
| Publication number | Priority date | Publication date | Assignee | Title |
|---|---|---|---|---|
| WO2001047886A1 (en) * | 1999-12-24 | 2001-07-05 | F. Hoffmann-La Roche Ag | Nitrile derivatives as cathepsin k inhibitors |
| WO2001096285A1 (en) * | 2000-06-14 | 2001-12-20 | F. Hoffmann-La Roche Ag | Beta-amino acid nitrile derivatives |
Cited By (44)
| Publication number | Priority date | Publication date | Assignee | Title |
|---|---|---|---|---|
| US8536229B2 (en) | 2001-12-04 | 2013-09-17 | Novartis Ag | Acetylene derivatives having MGluR 5 antagonistic activity |
| US7605159B2 (en) | 2002-12-13 | 2009-10-20 | Astrazeneca Ab | Cathepsin cysteine protease inhibitors and their use |
| JP2007522170A (en) * | 2004-02-11 | 2007-08-09 | ノバルティス アクチエンゲゼルシャフト | Chemokine receptor antagonist |
| US7858781B2 (en) | 2004-02-11 | 2010-12-28 | Novartis Ag | Chemokine receptor antagonists |
| US8183366B2 (en) | 2004-02-11 | 2012-05-22 | Novartis Ag | Chemokine receptor antagonists |
| WO2007002481A3 (en) * | 2005-06-28 | 2007-11-15 | Merck & Co Inc | Non-nucleoside reverse transcriptase inhibitors |
| EP1749822A1 (en) * | 2005-08-05 | 2007-02-07 | Hybrigenics S.A. | Novel cysteine protease inhibitors and their therapeutic applications |
| WO2007017758A3 (en) * | 2005-08-05 | 2007-04-19 | Hybrigenics Sa | Novel cysteine protease inhibitors and their therapeutic applications |
| US8648076B2 (en) | 2005-08-05 | 2014-02-11 | Hybrigenics Sa | Cysteine protease inhibitors and their therapeutic applications |
| WO2007041775A1 (en) * | 2005-10-10 | 2007-04-19 | The University Of Queensland | Cysteine protease inhibitors incorporating azide groups |
| WO2009001129A1 (en) * | 2007-06-26 | 2008-12-31 | Astrazeneca Ab | 1-cyanocyclopropyl-derivatives as cathepsin k inhibitors |
| AU2008269513B2 (en) * | 2007-06-26 | 2011-06-16 | Astrazeneca Ab | 1-cyanocyclopropyl-derivatives as cathepsin K inhibitors |
| US8008279B2 (en) | 2007-06-26 | 2011-08-30 | Astrazeneca Ab | Compound—827 |
| RU2470023C2 (en) * | 2007-06-26 | 2012-12-20 | Астразенека Аб | 1-cyanocyclopropyl derivatives as cathepsin k inhibitors |
| US9447039B2 (en) | 2012-09-07 | 2016-09-20 | Novartis Ag | Indole carboxamide derivatives and uses thereof |
| US11814359B2 (en) | 2014-01-24 | 2023-11-14 | Astrazeneca Ab | Certain (2s)-n-[(1s)-1-cyano-2-phenylethyl]-1,4-oxazepane-2-carboxamides as dipeptidyl peptidase 1 inhibitors |
| US11655223B2 (en) | 2014-01-24 | 2023-05-23 | Astrazeneca Ab | Certain (2S)-N-[(1 s)-1-cyano-2-phenylethyl]-1,4-oxazepane-2-carboxamides as dipeptidyl peptidase 1 inhibitors |
| EP3323814A1 (en) | 2014-01-24 | 2018-05-23 | AstraZeneca AB | (2s)-n-[(1s)-1-cyano-2-phenylethyl]-1,4-oxazepane-2-carboxamides as dipeptidyl peptidase i inhibitors |
| US10287258B2 (en) | 2014-01-24 | 2019-05-14 | Astrazeneca Ab | Certain (2S)-N-[(1S)-1-cyano-2-phenylethyl]-1,4-oxazepane-2-carboxamides as dipeptidyl peptidase 1 inhibitors |
| US10669245B2 (en) | 2014-01-24 | 2020-06-02 | Astrazeneca Ab | Certain (2S)-N-[(1S)-1-cyano-2-phenylethyl]-1,4-oxazepane-2-carboxamides dipeptidyl peptidase 1 inhibitors |
| EP3744714A1 (en) | 2014-01-24 | 2020-12-02 | Astrazeneca AB | (2s)-n-[(1s)-1-cyano-2-phenylethyl]-1,4-oxazepane-2-carboxamides as dipeptidyl peptidase i inhibitors |
| US11117874B2 (en) | 2014-01-24 | 2021-09-14 | Astrazeneca Ab | Certain (2S)-N-[(1S)-1-cyano-2-phenylethyl]-1,4-oxazepane-2-carboxamides as dipeptidyl peptidase 1 inhibitors |
| EP4548972A2 (en) | 2014-01-24 | 2025-05-07 | AstraZeneca AB | (2s)-n-[(1s)-1-cyano-2-phenylethyl]-1,4-oxazepane-2-carboxamides as dipeptidyl peptidase i inhibitors |
| US12054465B2 (en) | 2014-01-24 | 2024-08-06 | Astrazeneca Ab | Certain (2S)-N-[(1S)-1-cyano-2-phenylethyl]-1,4-oxazepane-2-carboxamides as dipeptidyl peptidase 1 inhibitors |
| US11655224B2 (en) | 2014-01-24 | 2023-05-23 | Astrazeneca Ab | Certain (2S)-N-[(1S)-1-cyano-2-phenylethyl]-1,4-oxazepane-2-carboxamides as dipeptidyl peptidase 1 inhibitors |
| US11655222B2 (en) | 2014-01-24 | 2023-05-23 | Astrazeneca Ab | Certain (2S)-N-[(1S)-1-cyano-2-phenylethyl]-1,4-oxazepane-2-carboxamides as dipeptidyl peptidase 1 inhibitors |
| US9815805B2 (en) | 2014-01-24 | 2017-11-14 | Astrazeneca Ab | Certain (25)-N-[(1S)-1-cyano-2-phenylethyl]-1,4-oxazepane-2-carboxamides as dipeptidyl peptidase 1 inhibitors |
| US11655221B2 (en) | 2014-01-24 | 2023-05-23 | Astrazeneca Ab | Certain (2S)-N-[(1S)-1-cyano-2-phenylethyl]-1,4-oxazepane-2-carboxamides as dipeptidyl peptidase 1 inhibitors |
| US11667615B2 (en) | 2014-01-24 | 2023-06-06 | Astrazeneca Ab | Certain (2S)-N-[(1S)-1-cyano-2-phenylethyl]-1,4-oxazepane-2-carboxamides as dipeptidyl peptidase 1 inhibitors |
| US11673871B2 (en) | 2014-01-24 | 2023-06-13 | Astrazeneca Ab | Certain (2S)-N-[(1S)-1-cyano-2-phenylethyl]-1,4-oxazepane-2-carboxamides as dipeptidyl peptidase 1 inhibitors |
| US11673872B2 (en) | 2014-01-24 | 2023-06-13 | Astrazeneca Ab | Certain (2S)-N-[(1S)-1-cyano-2-phenylethyl]-1,4-oxazepane-2-carboxamides as dipeptidyl peptidase 1 inhibitors |
| US11680049B2 (en) | 2014-01-24 | 2023-06-20 | Astrazeneca Ab | Certain (2S)-N-[(1S)-1-cyano-2-phenylethyl]-1,4-oxazepane-2-carboxamides as dipeptidyl peptidase 1 inhibitors |
| US11773069B2 (en) | 2014-01-24 | 2023-10-03 | Astrazeneca Ab | Certain (2s)-n-[(1s)-1-cyano-2-phenylethyl]-1,4-oxazepane-2-carboxamides as dipeptidyl peptidase 1 inhibitors |
| US9522894B2 (en) | 2014-01-24 | 2016-12-20 | Astrazeneca Ab | Certain (2S)-N-[(1S)-1-cyano-2-phenylethyl]-1,4-oxazepane-2-carboxamides as dipeptidyl peptidase 1 inhibitors |
| US11878001B2 (en) | 2017-07-31 | 2024-01-23 | Novartis Ag | Use of mavoglurant in the reduction of cocaine use or in preventing relapse into cocaine use |
| US12059424B2 (en) | 2018-03-01 | 2024-08-13 | Astrazeneca Ab | Pharmaceutical compositions comprising (2S)-N-{(1S)-1-cyano-2-[4-(3-methyl-2-oxo-2,3-dihydro-1,3-benzoxazol-5-yl)phenyl]ethyl}-1,4-oxazepane-2-carboxamide |
| US12201638B2 (en) | 2018-03-01 | 2025-01-21 | Astrazeneca Ab | Pharmaceutical compositions comprising (2S)-n-{(1S)-1-cyano-2-[4-(3-methyl-2-oxo-2,3-dihydro-1,3-benzoxazol-5-yl)phenyl]ethyl}-1,4-oxazepane-2-carboxamide |
| US11998553B2 (en) | 2018-07-17 | 2024-06-04 | Insmed Incorporated | Certain (2S)-N-[(1S)-1-cyano-2-phenylethyl]-1,4-oxazepane-2-carboxamides for treating lupus nephritis |
| EP4497473A2 (en) | 2020-08-26 | 2025-01-29 | Haisco Pharmaceuticals Pte. Ltd. | Nitrile derivative that acts as inhibitor of dipeptidyl peptidase 1 and use thereof |
| WO2022042591A1 (en) | 2020-08-26 | 2022-03-03 | 四川海思科制药有限公司 | Nitrile derivative that acts as inhibitor of dipeptidyl peptidase 1 and use thereof |
| WO2022117059A1 (en) | 2020-12-04 | 2022-06-09 | 瑞石生物医药有限公司 | Small molecule inhibitor of cathepsin c and medicinal use thereof |
| WO2023236877A1 (en) | 2022-06-07 | 2023-12-14 | 瑞石生物医药有限公司 | Pharmaceutically acceptable salt of benzo[c]chroman compound and polymorphic form and use of pharmaceutically acceptable salt |
| WO2023236879A1 (en) | 2022-06-07 | 2023-12-14 | 瑞石生物医药有限公司 | Polymorph of benzo[c]chroman compound, preparation method therefor and use thereof |
| US12479837B2 (en) | 2023-01-06 | 2025-11-25 | Insmed Incorporated | Reversible DPP1 inhibitors and uses thereof |
Also Published As
| Publication number | Publication date |
|---|---|
| ZA200404343B (en) | 2006-07-26 |
| JP2005517640A (en) | 2005-06-16 |
| NO20042719L (en) | 2004-06-28 |
| DE60219068T2 (en) | 2007-12-13 |
| CN1315806C (en) | 2007-05-16 |
| GT200200253A (en) | 2003-07-03 |
| ES2282497T3 (en) | 2007-10-16 |
| HUP0402344A2 (en) | 2005-02-28 |
| RU2004120784A (en) | 2005-08-10 |
| DE60219068D1 (en) | 2007-05-03 |
| AU2002352126A1 (en) | 2003-06-17 |
| KR20050044660A (en) | 2005-05-12 |
| PA8559701A1 (en) | 2003-07-28 |
| US20030212097A1 (en) | 2003-11-13 |
| US6747053B2 (en) | 2004-06-08 |
| UY27561A1 (en) | 2003-06-30 |
| IL161992A0 (en) | 2005-11-20 |
| AR037683A1 (en) | 2004-12-01 |
| BR0214642A (en) | 2004-11-03 |
| TW200303861A (en) | 2003-09-16 |
| PL370766A1 (en) | 2005-05-30 |
| EP1453801A1 (en) | 2004-09-08 |
| EP1453801B1 (en) | 2007-03-21 |
| CN1639119A (en) | 2005-07-13 |
| ATE357432T1 (en) | 2007-04-15 |
| MXPA04005263A (en) | 2004-10-11 |
| PE20030723A1 (en) | 2003-08-29 |
| CA2467435A1 (en) | 2003-06-12 |
Similar Documents
| Publication | Publication Date | Title |
|---|---|---|
| US6747053B2 (en) | Heteroaryl nitriles | |
| AU686115B2 (en) | Imidazo (I,2-a) pyridine derivatives as bradykinin antagonists, pharmaceuticals and processes for their preparation | |
| JP4616643B2 (en) | Caspase inhibitors and their uses | |
| AU725403B2 (en) | Thrombin inhibitors | |
| US20080176870A1 (en) | Heterobicyclic metalloprotease inhibitors | |
| AU2007246869B2 (en) | p38 MAP kinase inhibitors | |
| AU2006243068A1 (en) | Quinoline and quinoxaline derivatives as inhibitors of kinase enzymatic activity | |
| NZ251804A (en) | Aromatic quinazoline derivatives and medicaments | |
| KR19990022132A (en) | Isothiazolone | |
| JP2013530237A (en) | Rho kinase inhibitor | |
| CA2304204C (en) | Quinoline-containing .alpha.-ketoamide cysteine and serine protease inhibitors | |
| AU3010601A (en) | Nitrile derivatives as cathepsin k inhibitors | |
| IE83508B1 (en) | Quinoxalines, processes for their preparation, and their use | |
| SI9111318A (en) | Acetamide derivatives | |
| US6759428B2 (en) | Indole nitriles | |
| CA2712701A1 (en) | Cyclic azaindole-3-carboxamides, their preparation and their use as pharmaceuticals | |
| US6387911B1 (en) | Pyrazinone thrombin inhibitors | |
| US20030158218A1 (en) | Thrombin inhibitors | |
| US7009053B2 (en) | Quinoline derivatives as caspase-3 inhibitor, preparation for producing the same and pharmaceutical composition comprising the same | |
| JP2790926B2 (en) | Sulfonamide derivative | |
| US20050165034A1 (en) | Thrombin inhibitors | |
| KR20060023544A (en) | Benzamide Nitrile Derivatives | |
| US4965266A (en) | Heteroarylcarboxamide derivatives, process for preparing the same and pharmaceutical composition containing the same | |
| CN1938269A (en) | Prolinyl derivatives for treating thrombosis | |
| US6017934A (en) | Thrombin inhibitors |
Legal Events
| Date | Code | Title | Description |
|---|---|---|---|
| AK | Designated states |
Kind code of ref document: A1 Designated state(s): AE AG AL AM AT AU AZ BA BB BG BR BY BZ CA CH CN CO CR CU CZ DE DK DM DZ EC EE ES FI GB GD GE GH GM HR HU ID IL IN IS JP KE KG KP KR KZ LC LK LR LS LT LU LV MA MD MG MK MN MW MX MZ NO NZ OM PH PL PT RO RU SD SE SG SI SK SL TJ TM TN TR TT TZ UA UG UZ VN YU ZA ZM ZW |
|
| AL | Designated countries for regional patents |
Kind code of ref document: A1 Designated state(s): GH GM KE LS MW MZ SD SL SZ TZ UG ZM ZW AM AZ BY KG KZ MD RU TJ TM AT BE BG CH CY CZ DE DK EE ES FI FR GB GR IE IT LU MC NL PT SE SK TR BF BJ CF CG CI CM GA GN GQ GW ML MR NE SN TD TG |
|
| DFPE | Request for preliminary examination filed prior to expiration of 19th month from priority date (pct application filed before 20040101) | ||
| 121 | Ep: the epo has been informed by wipo that ep was designated in this application | ||
| WWE | Wipo information: entry into national phase |
Ref document number: 161992 Country of ref document: IL |
|
| WWE | Wipo information: entry into national phase |
Ref document number: 2467435 Country of ref document: CA |
|
| WWE | Wipo information: entry into national phase |
Ref document number: P20040449A Country of ref document: HR Ref document number: 533052 Country of ref document: NZ |
|
| WWE | Wipo information: entry into national phase |
Ref document number: 2002352126 Country of ref document: AU |
|
| WWE | Wipo information: entry into national phase |
Ref document number: 2002787799 Country of ref document: EP |
|
| WWE | Wipo information: entry into national phase |
Ref document number: PA/a/2004/005263 Country of ref document: MX |
|
| WWE | Wipo information: entry into national phase |
Ref document number: 2004/04343 Country of ref document: ZA Ref document number: 200404343 Country of ref document: ZA |
|
| WWE | Wipo information: entry into national phase |
Ref document number: 2002824060X Country of ref document: CN Ref document number: 1020047008481 Country of ref document: KR |
|
| WWE | Wipo information: entry into national phase |
Ref document number: 2003549315 Country of ref document: JP |
|
| WWE | Wipo information: entry into national phase |
Ref document number: 1215/CHENP/2004 Country of ref document: IN |
|
| WWE | Wipo information: entry into national phase |
Ref document number: 2004120784 Country of ref document: RU |
|
| WWP | Wipo information: published in national office |
Ref document number: 2002787799 Country of ref document: EP |
|
| WWW | Wipo information: withdrawn in national office |
Ref document number: 1-2004-500773 Country of ref document: PH |
|
| WWG | Wipo information: grant in national office |
Ref document number: 2002787799 Country of ref document: EP |



















































































