
题目描述
给你这棵「无向树」,请你测算并返回它的「直径」:这棵树上最长简单路径的 边数。
我们用一个由所有「边」组成的数组 edges 来表示一棵无向树,其中 edges[i] = [u, v] 表示节点 u 和 v 之间的双向边。
树上的节点都已经用 {0, 1, ..., edges.length} 中的数做了标记,每个节点上的标记都是独一无二的。
示例 1:

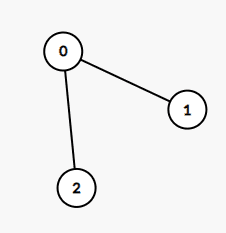
输入:edges = [[0,1],[0,2]]
输出:2
解释:
这棵树上最长的路径是 1 - 0 - 2,边数为 2。
示例 2:

输入:edges = [[0,1],[1,2],[2,3],[1,4],[4,5]]
输出:4
解释:
这棵树上最长的路径是 3 - 2 - 1 - 4 - 5,边数为 4。
提示:
0 <= edges.length < 10^4 edges[i][0] != edges[i][1] 0 <= edges[i][j] <= edges.length edges 会形成一棵无向树
解法
方法一:两次 DFS
我们首先任选一个节点,从该节点开始进行深度优先搜索,找到距离该节点最远的节点,记为节点 \(a\)。然后从节点 \(a\) 开始进行深度优先搜索,找到距离节点 \(a\) 最远的节点,记为节点 \(b\)。可以证明,节点 \(a\) 和节点 \(b\) 之间的路径即为树的直径。
时间复杂度 \(O(n)\),空间复杂度 \(O(n)\)。其中 \(n\) 为节点数。
相似题目:
1
2
3
4
5
6
7
8
9
10
11
12
13
14
15
16
17
18
19 | class Solution:
def treeDiameter(self, edges: List[List[int]]) -> int:
def dfs(i: int, fa: int, t: int):
for j in g[i]:
if j != fa:
dfs(j, i, t + 1)
nonlocal ans, a
if ans < t:
ans = t
a = i
g = defaultdict(list)
for a, b in edges:
g[a].append(b)
g[b].append(a)
ans = a = 0
dfs(0, -1, 0)
dfs(a, -1, 0)
return ans
|
1
2
3
4
5
6
7
8
9
10
11
12
13
14
15
16
17
18
19
20
21
22
23
24
25
26
27
28
29
30
31 | class Solution {
private List<Integer>[] g;
private int ans;
private int a;
public int treeDiameter(int[][] edges) {
int n = edges.length + 1;
g = new List[n];
Arrays.setAll(g, k -> new ArrayList<>());
for (var e : edges) {
int a = e[0], b = e[1];
g[a].add(b);
g[b].add(a);
}
dfs(0, -1, 0);
dfs(a, -1, 0);
return ans;
}
private void dfs(int i, int fa, int t) {
for (int j : g[i]) {
if (j != fa) {
dfs(j, i, t + 1);
}
}
if (ans < t) {
ans = t;
a = i;
}
}
}
|
1
2
3
4
5
6
7
8
9
10
11
12
13
14
15
16
17
18
19
20
21
22
23
24
25
26
27 | class Solution {
public:
int treeDiameter(vector<vector<int>>& edges) {
int n = edges.size() + 1;
vector<int> g[n];
for (auto& e : edges) {
int a = e[0], b = e[1];
g[a].push_back(b);
g[b].push_back(a);
}
int ans = 0, a = 0;
auto dfs = [&](this auto&& dfs, int i, int fa, int t) -> void {
for (int j : g[i]) {
if (j != fa) {
dfs(j, i, t + 1);
}
}
if (ans < t) {
ans = t;
a = i;
}
};
dfs(0, -1, 0);
dfs(a, -1, 0);
return ans;
}
};
|
1
2
3
4
5
6
7
8
9
10
11
12
13
14
15
16
17
18
19
20
21
22
23
24
25 | func treeDiameter(edges [][]int) (ans int) {
n := len(edges) + 1
g := make([][]int, n)
for _, e := range edges {
a, b := e[0], e[1]
g[a] = append(g[a], b)
g[b] = append(g[b], a)
}
a := 0
var dfs func(i, fa, t int)
dfs = func(i, fa, t int) {
for _, j := range g[i] {
if j != fa {
dfs(j, i, t+1)
}
}
if ans < t {
ans = t
a = i
}
}
dfs(0, -1, 0)
dfs(a, -1, 0)
return
}
|
1
2
3
4
5
6
7
8
9
10
11
12
13
14
15
16
17
18
19
20
21
22
23 | function treeDiameter(edges: number[][]): number {
const n = edges.length + 1;
const g: number[][] = Array.from({ length: n }, () => []);
for (const [a, b] of edges) {
g[a].push(b);
g[b].push(a);
}
let [ans, a] = [0, 0];
const dfs = (i: number, fa: number, t: number): void => {
for (const j of g[i]) {
if (j !== fa) {
dfs(j, i, t + 1);
}
}
if (ans < t) {
ans = t;
a = i;
}
};
dfs(0, -1, 0);
dfs(a, -1, 0);
return ans;
}
|